logo
Digital Notes

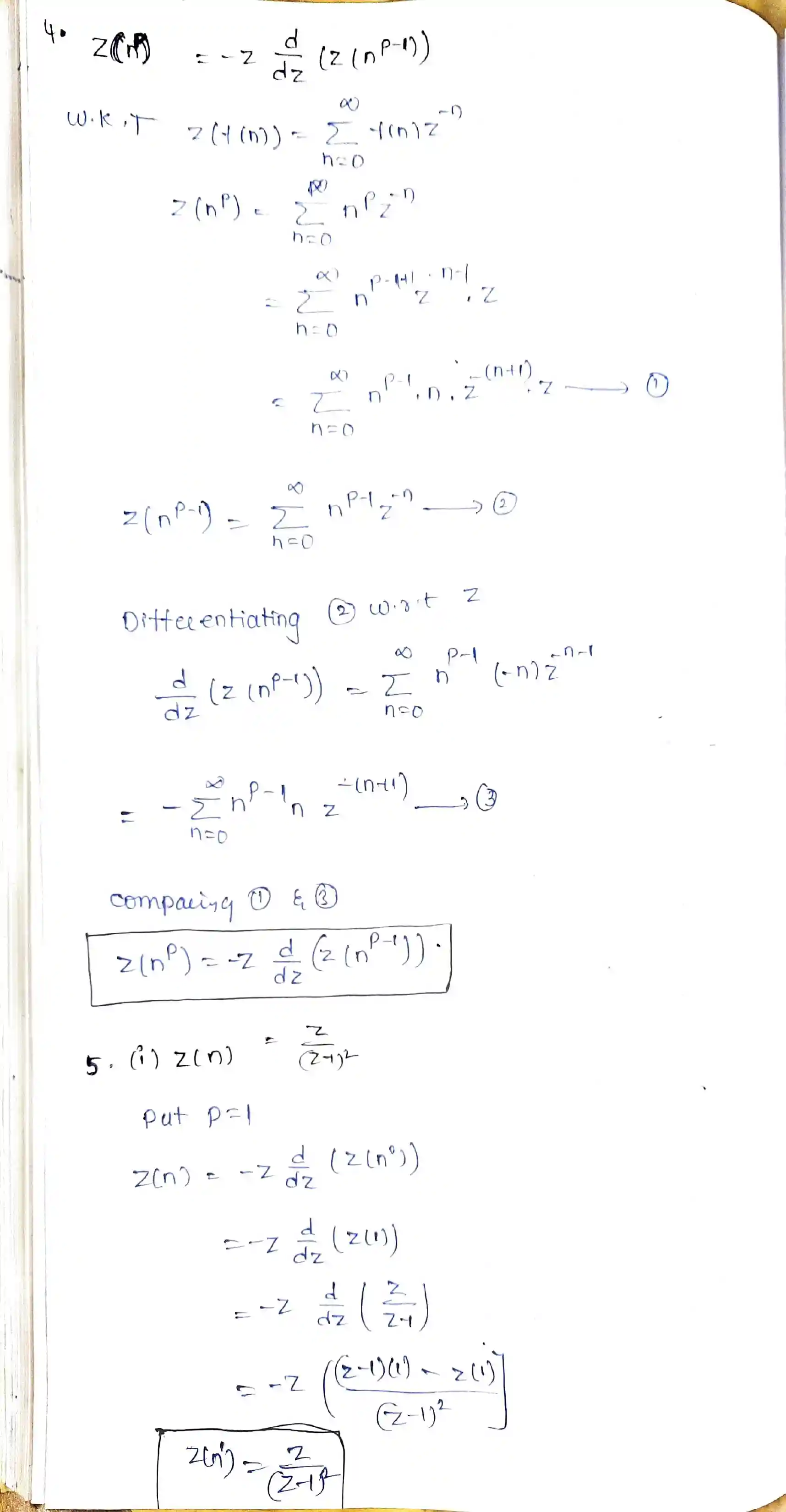
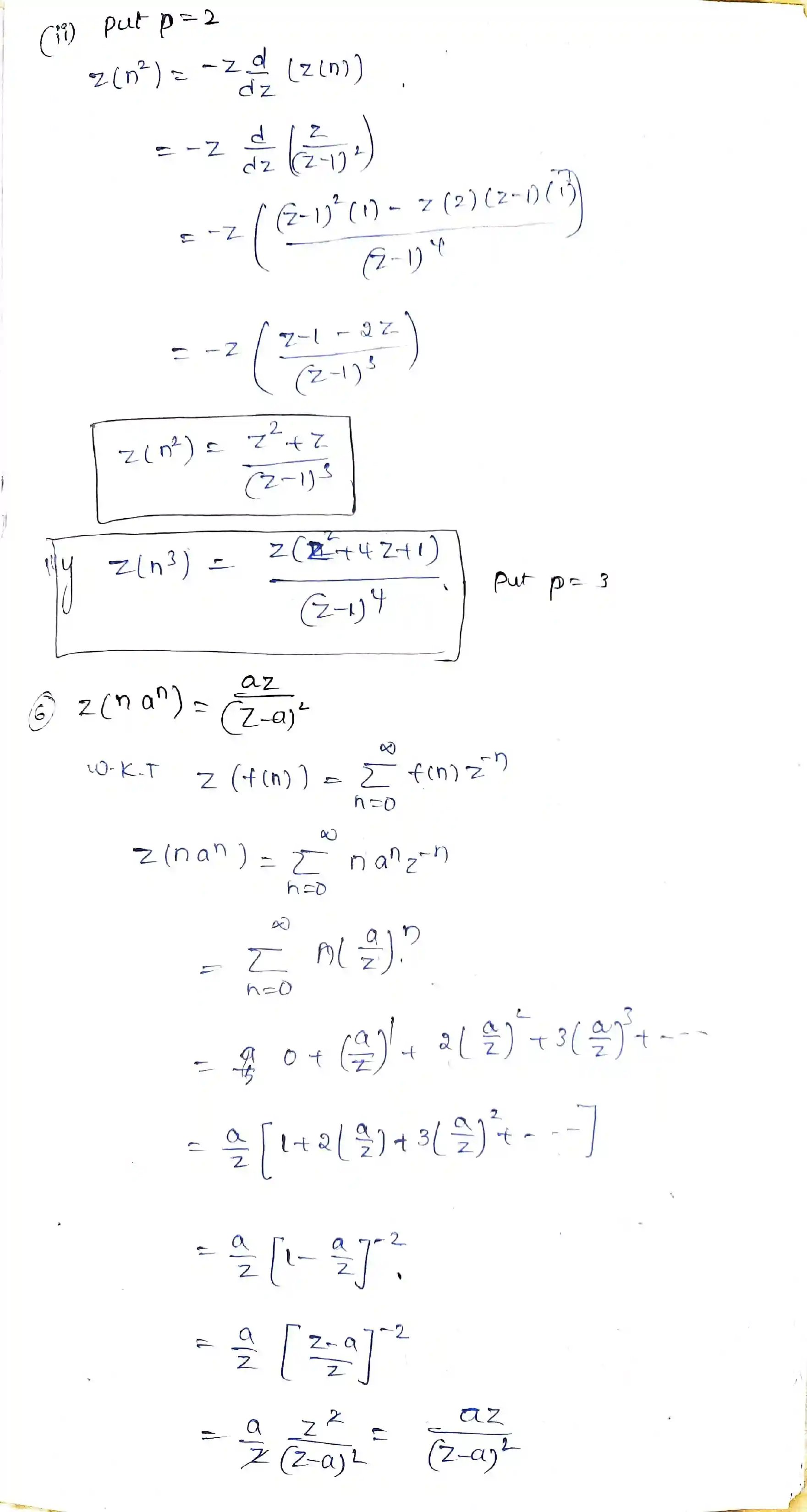
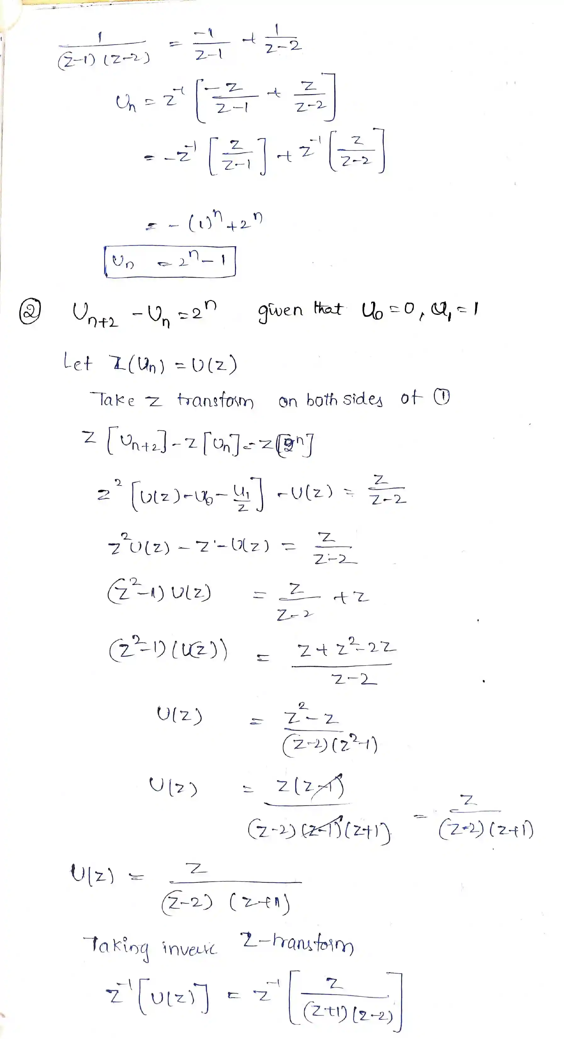
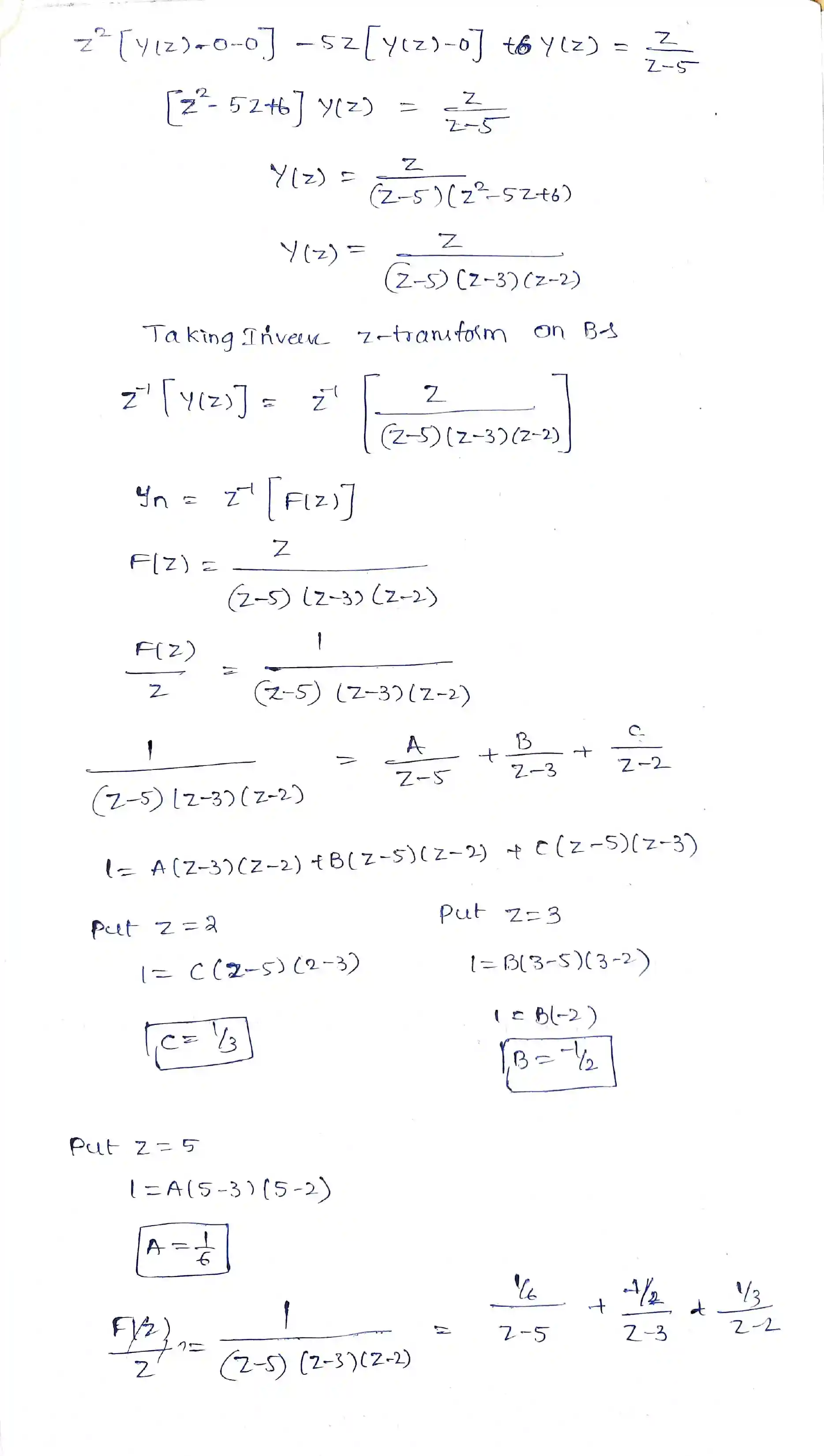
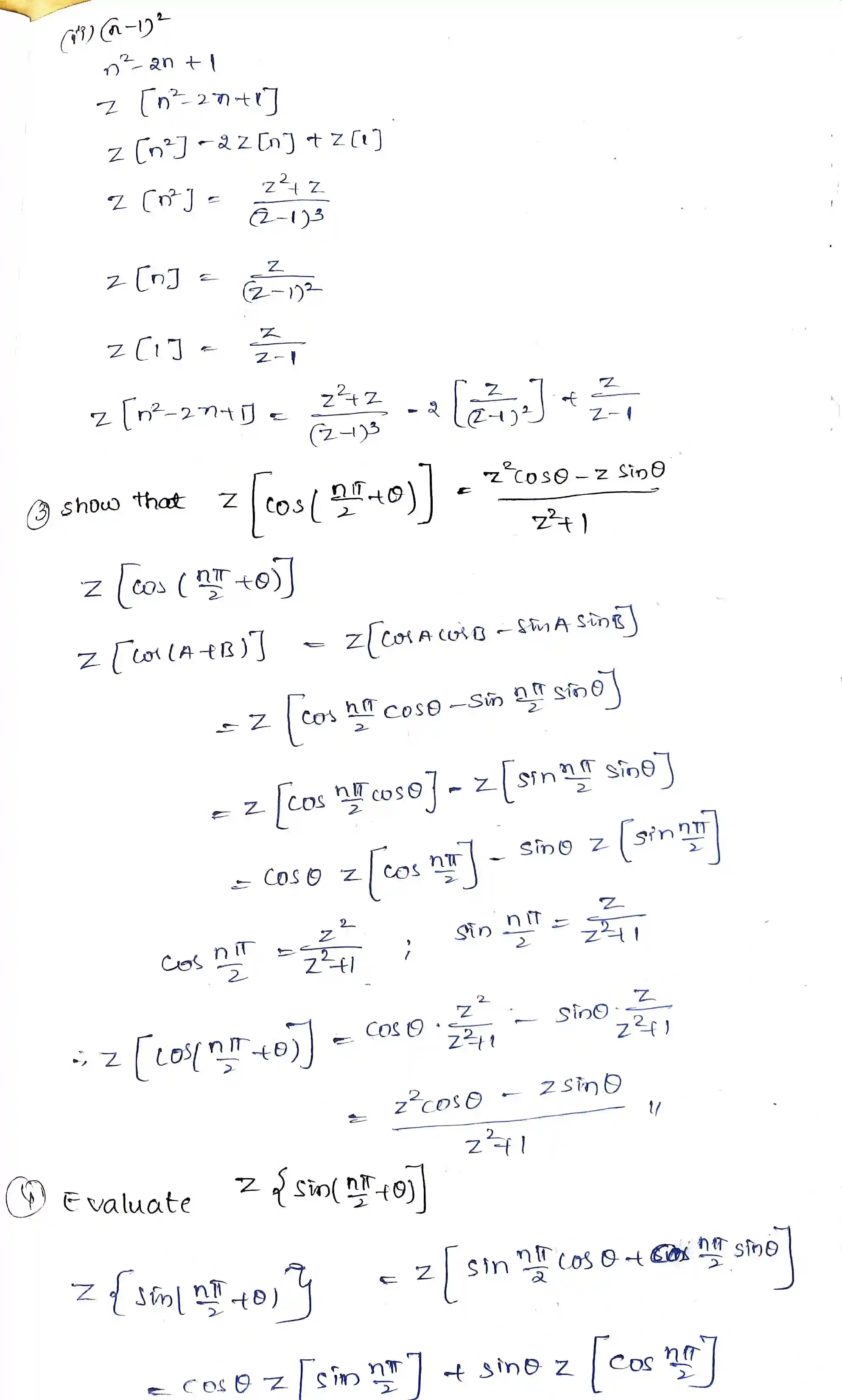
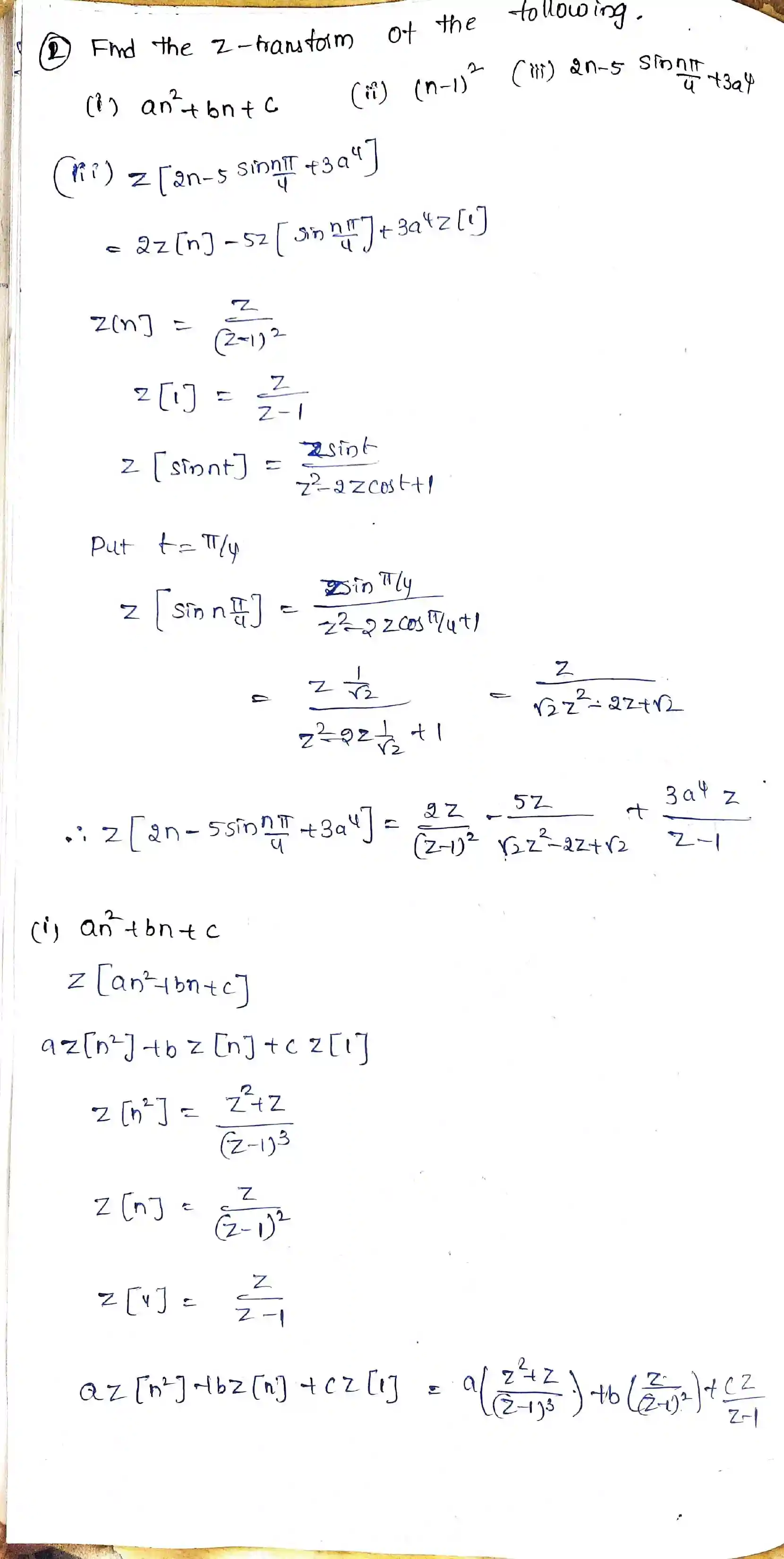
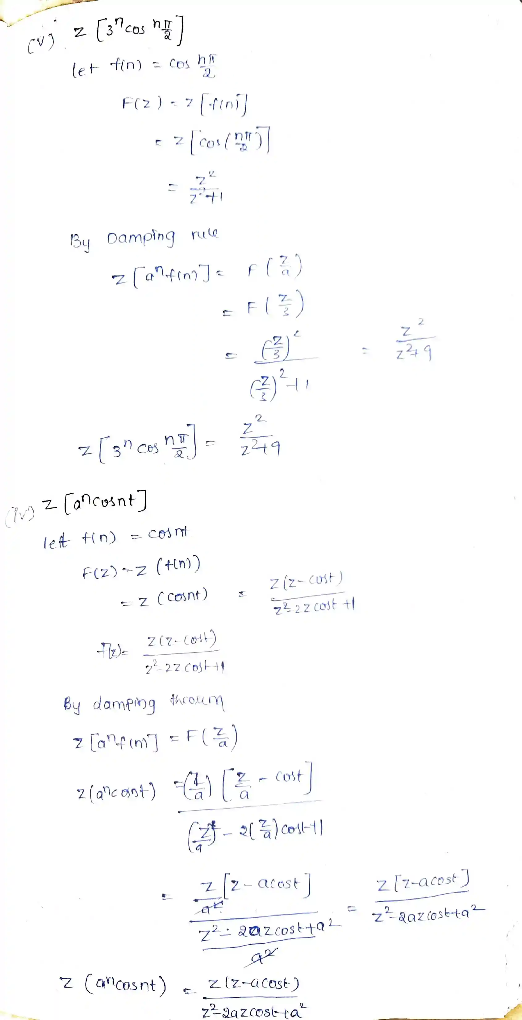
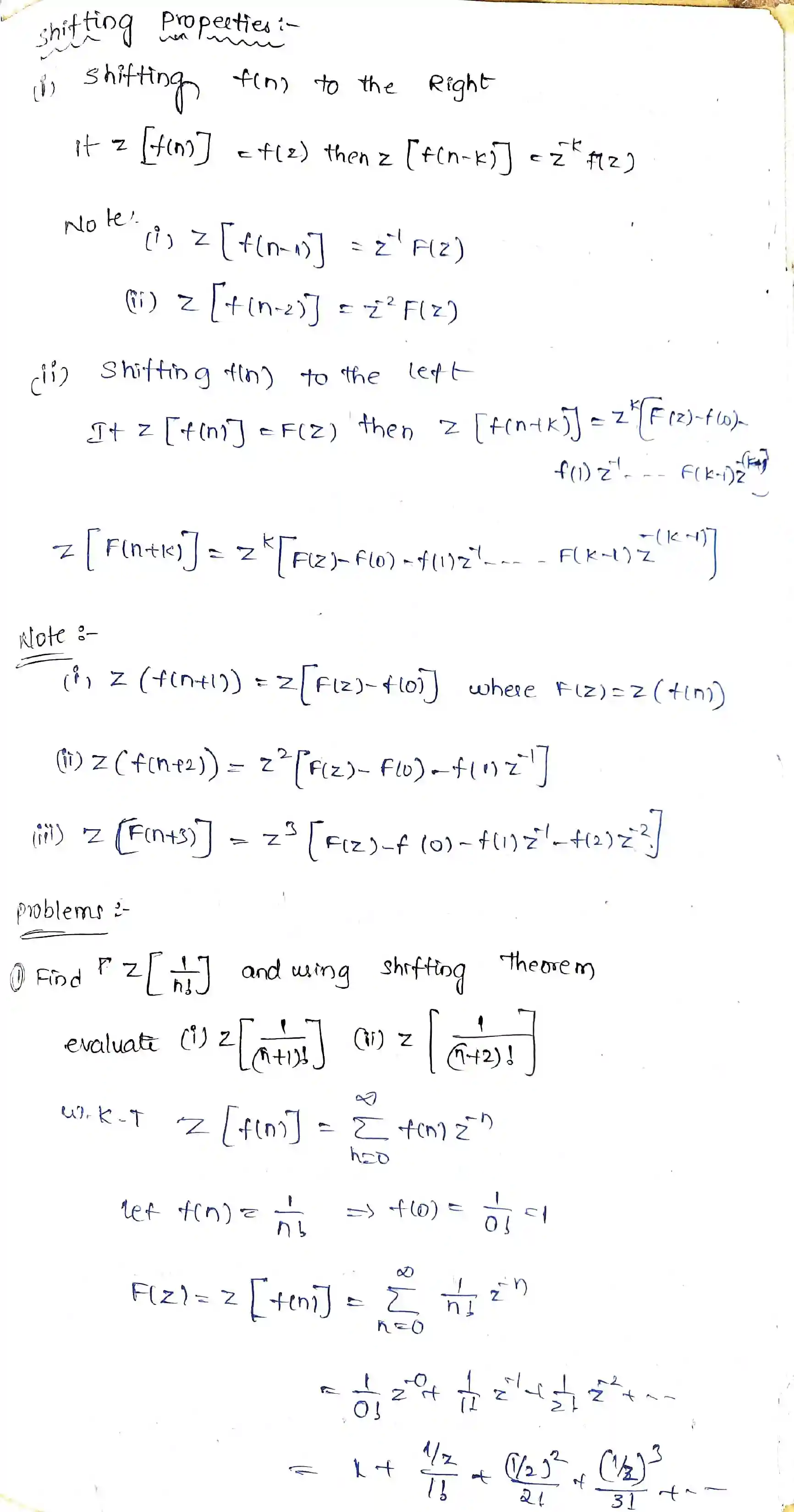
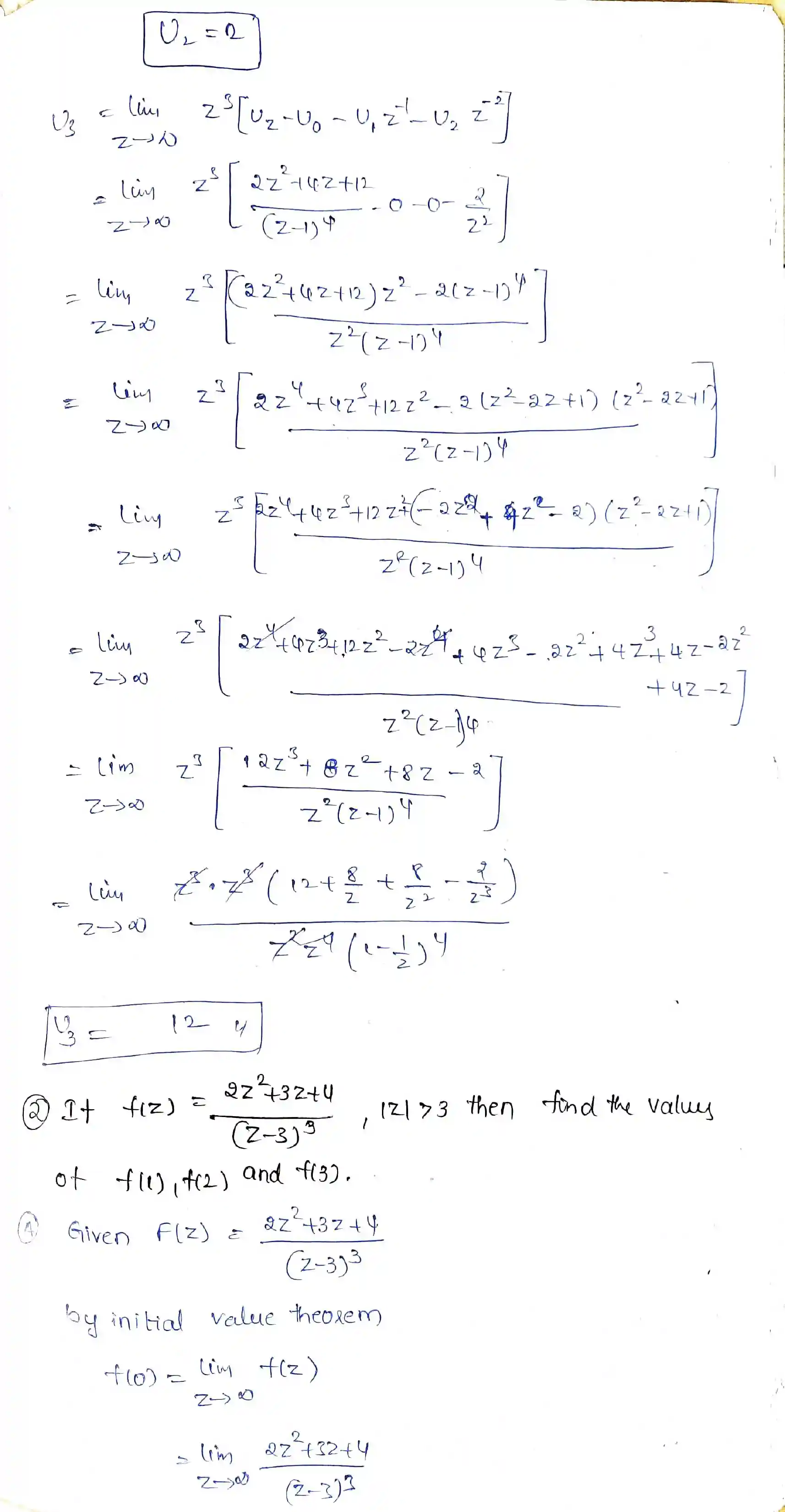
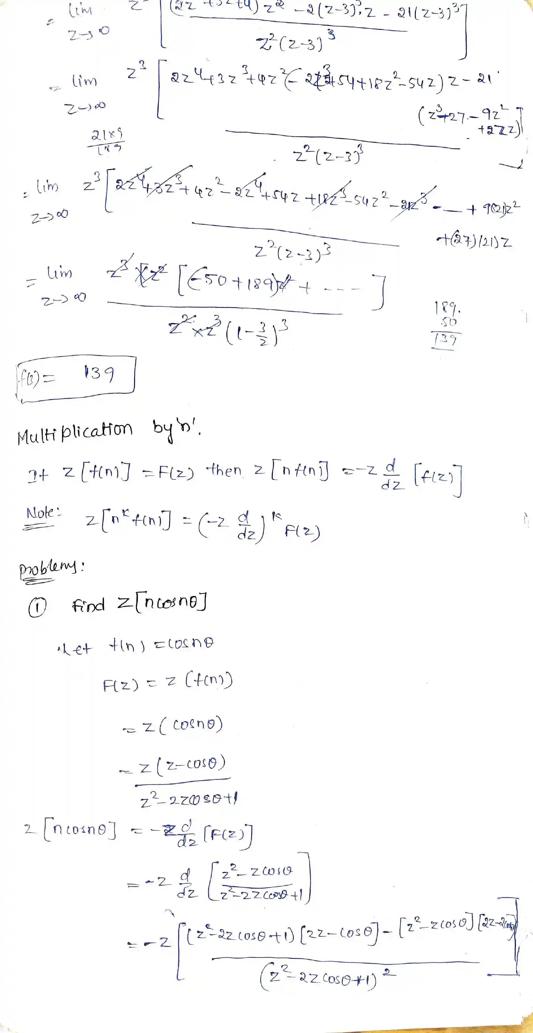
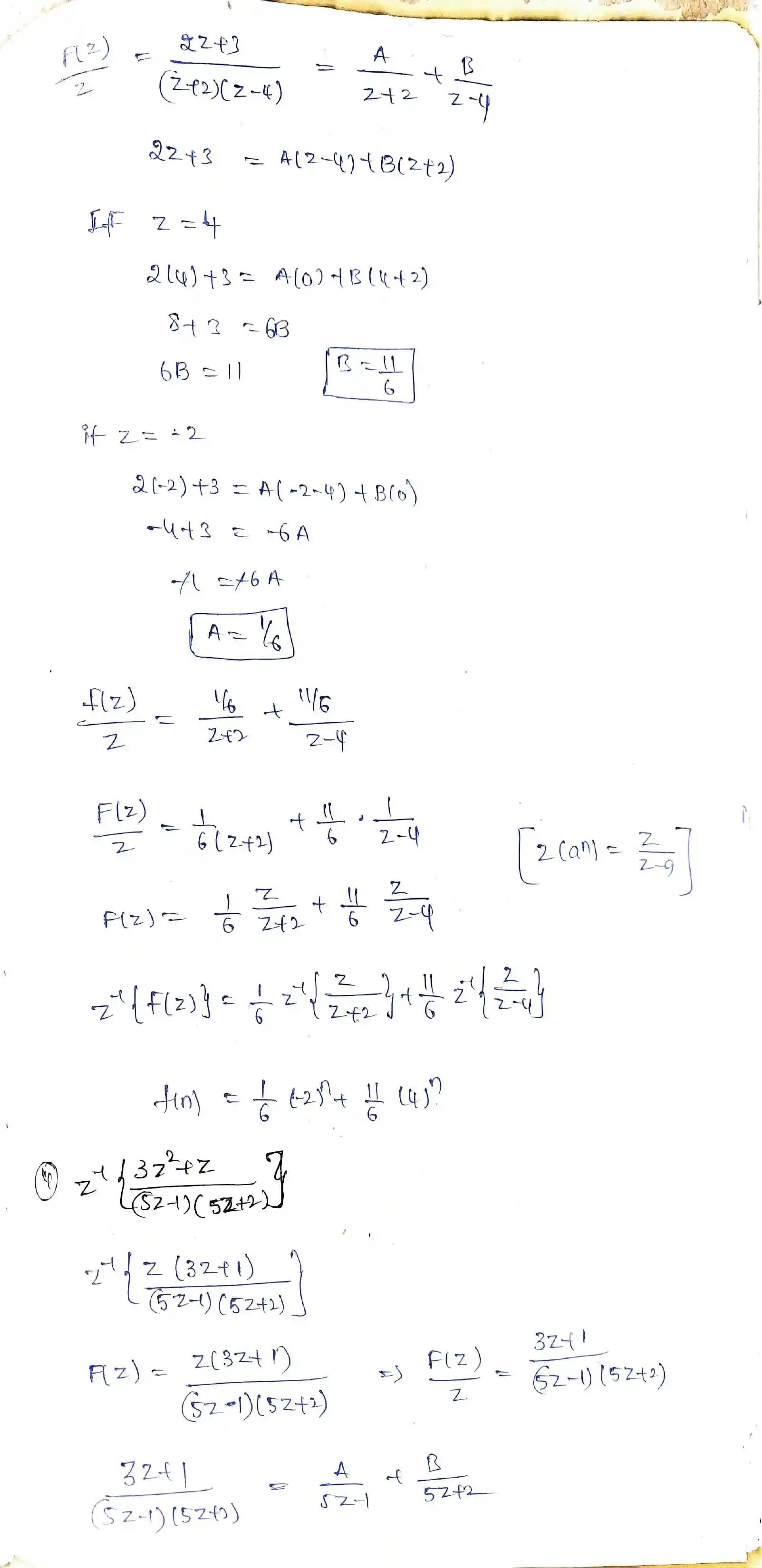
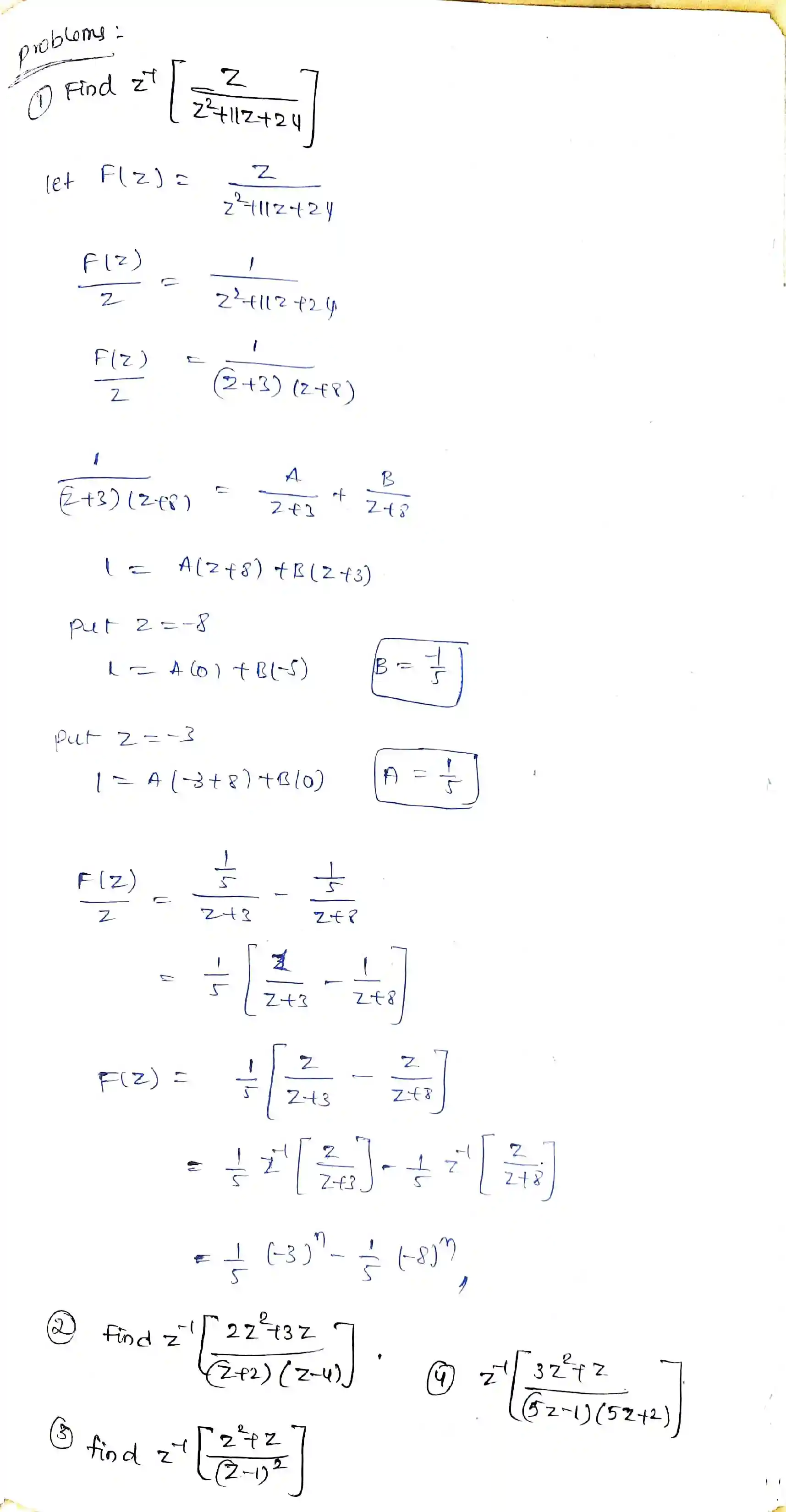
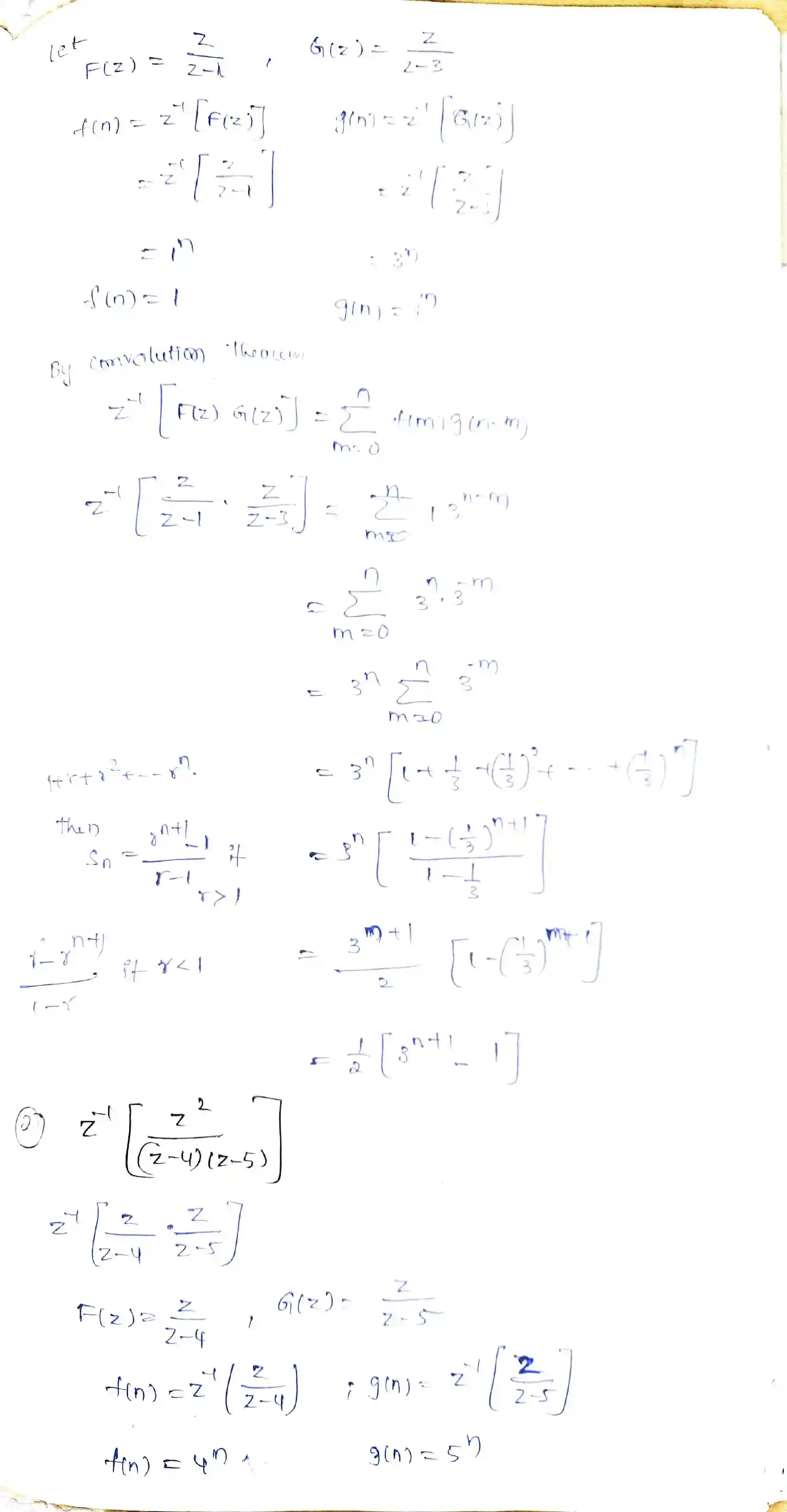
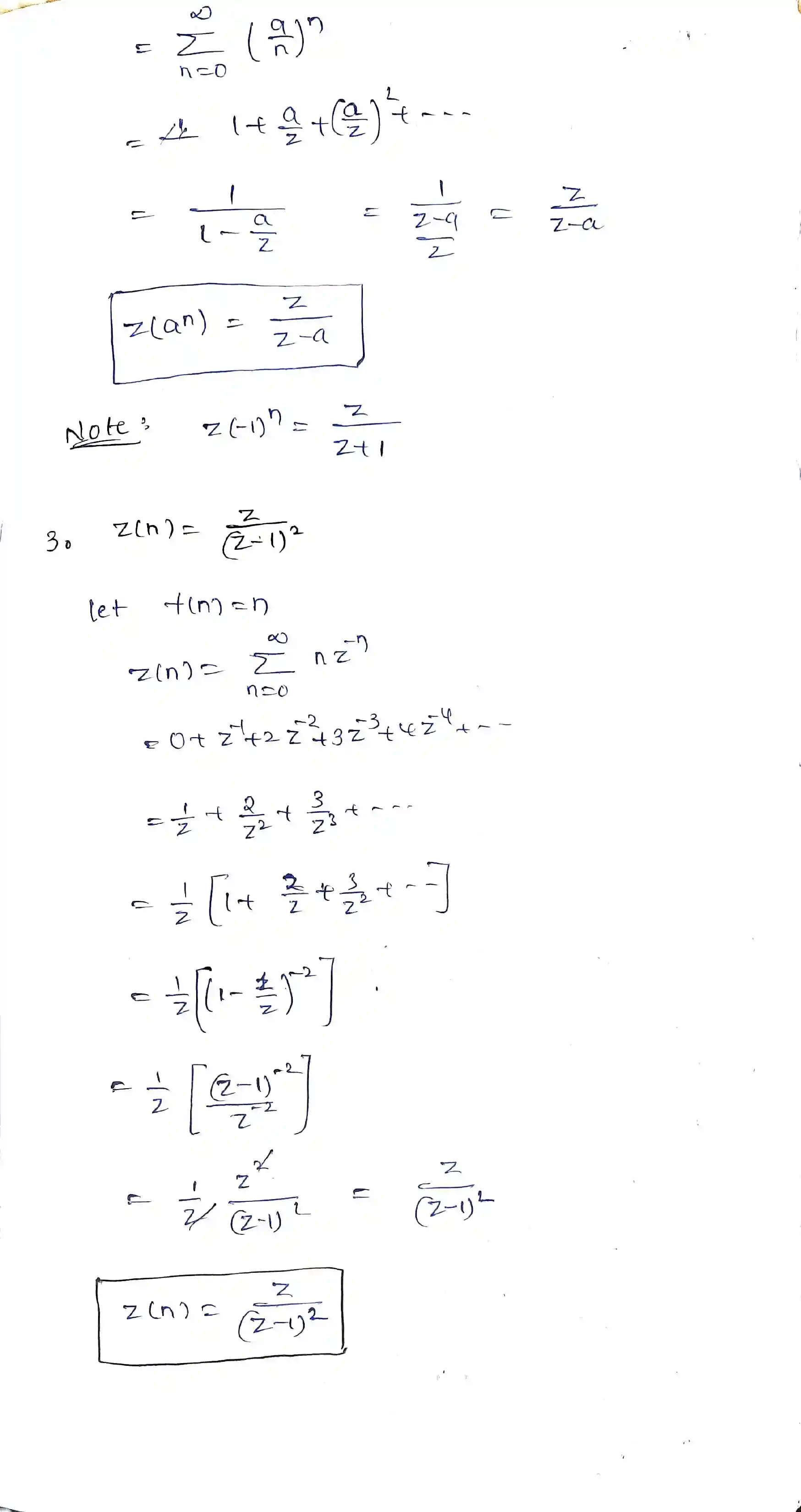
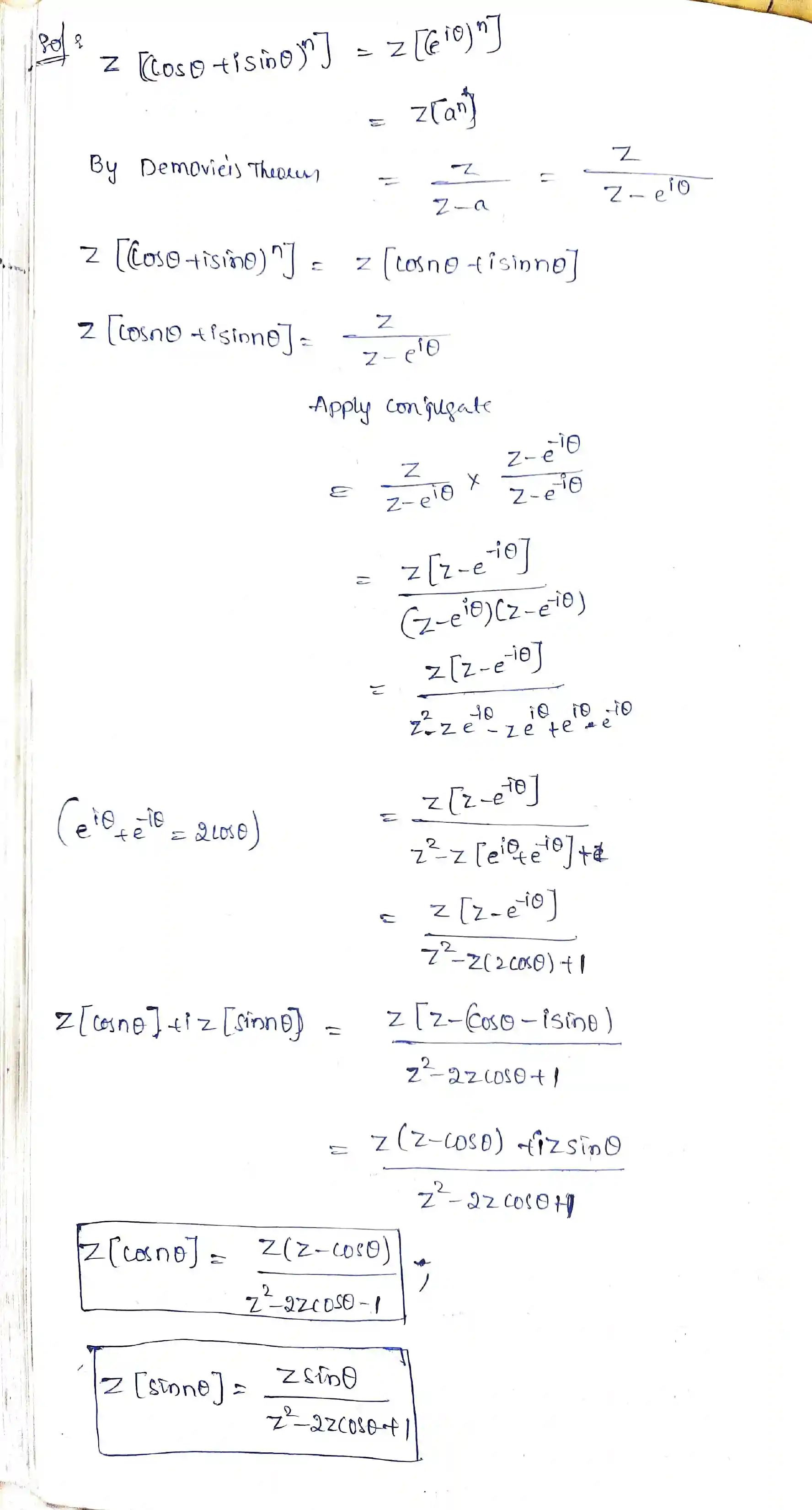
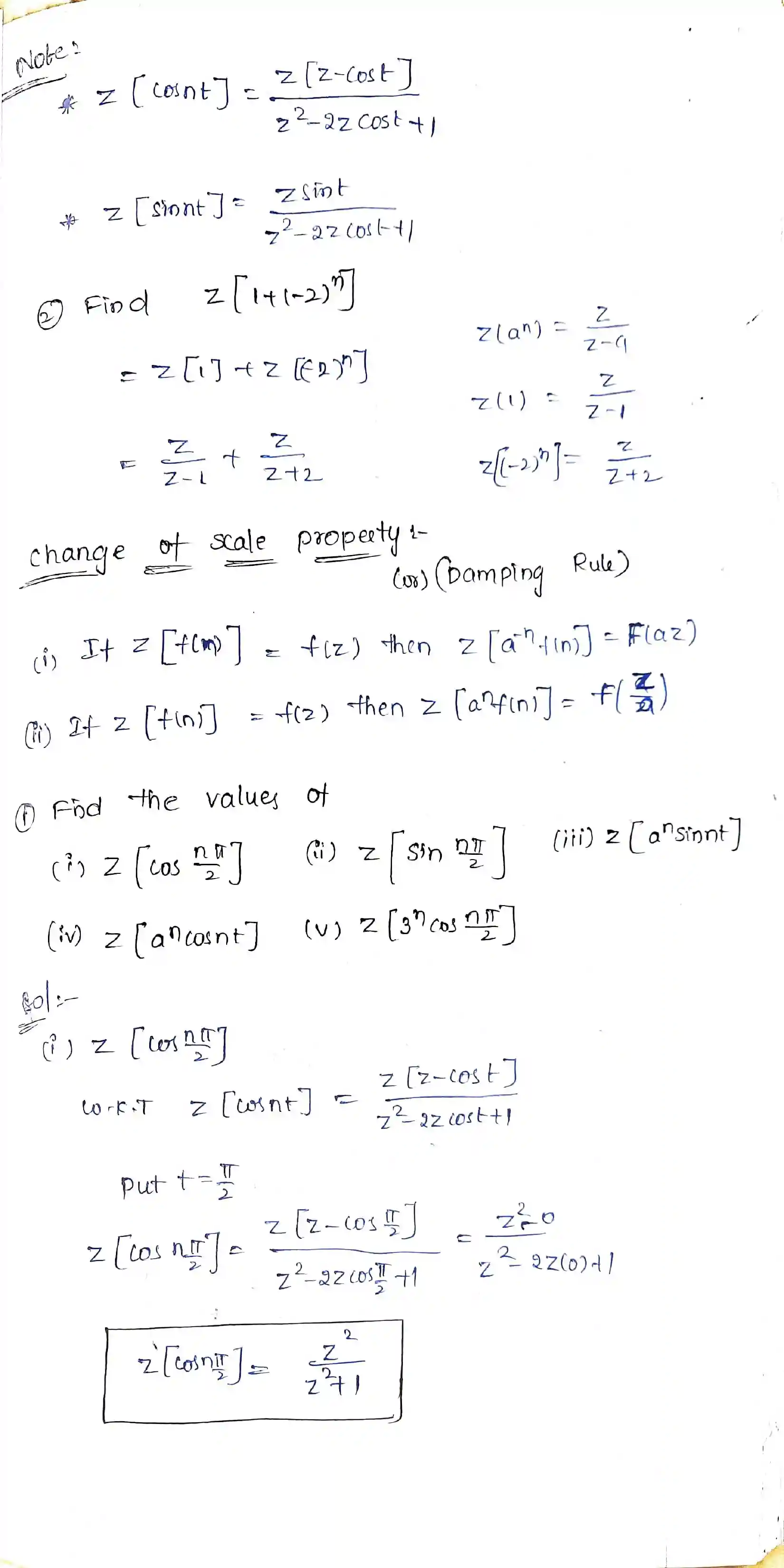
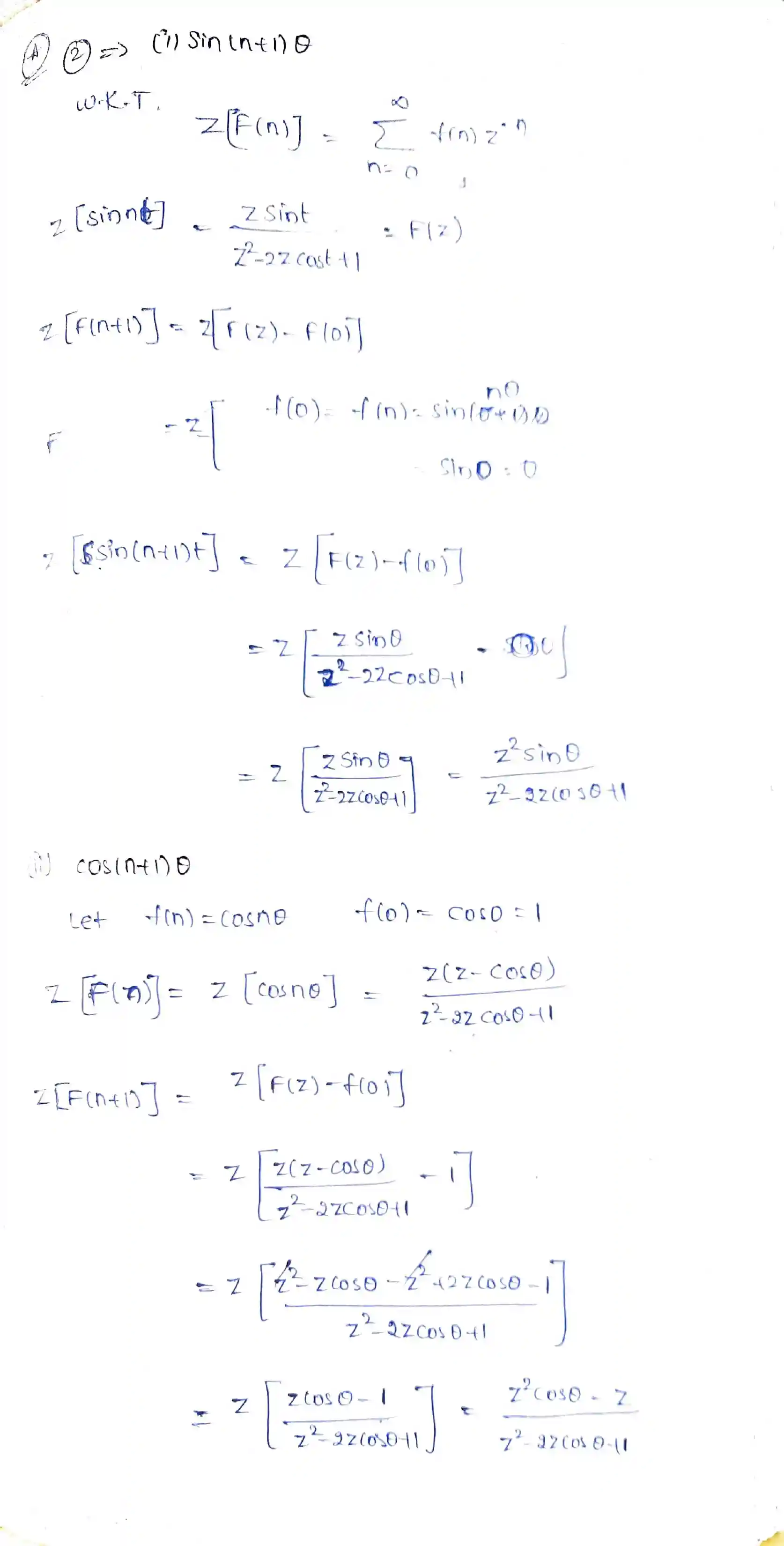
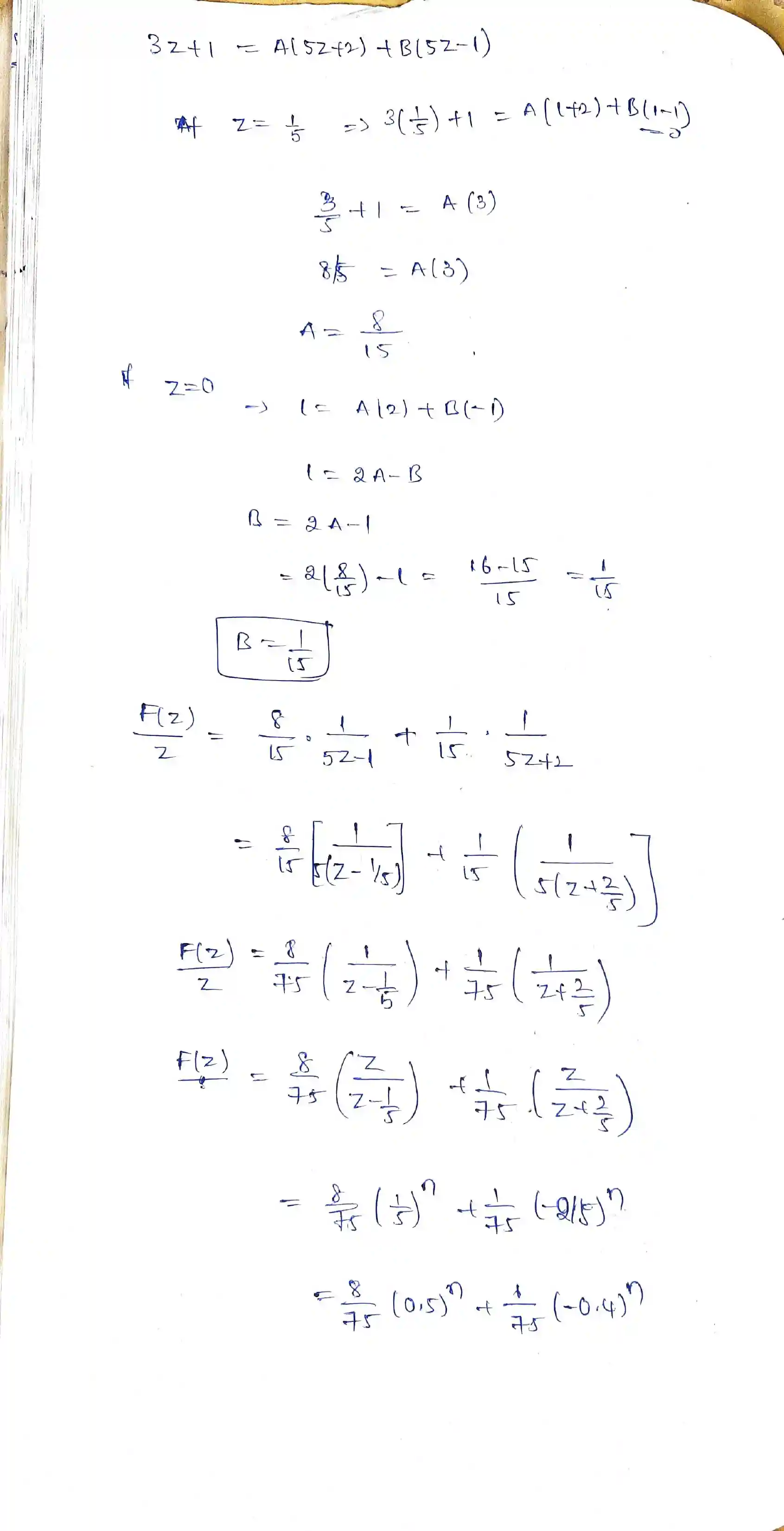
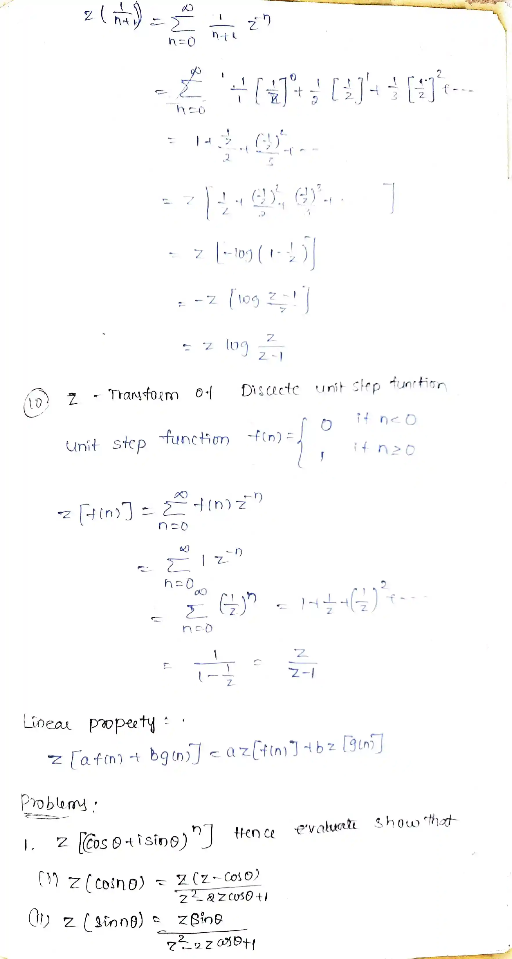
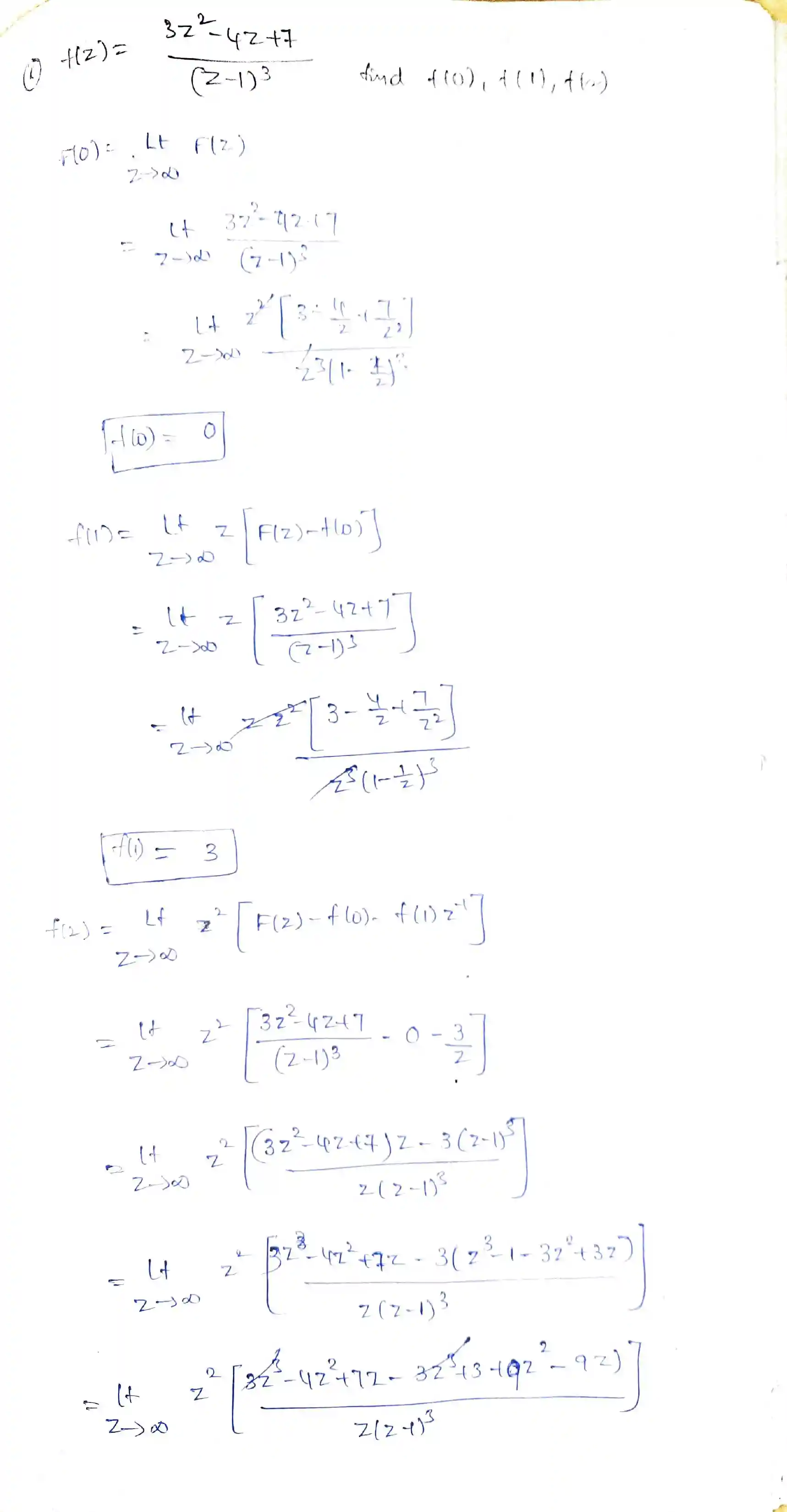
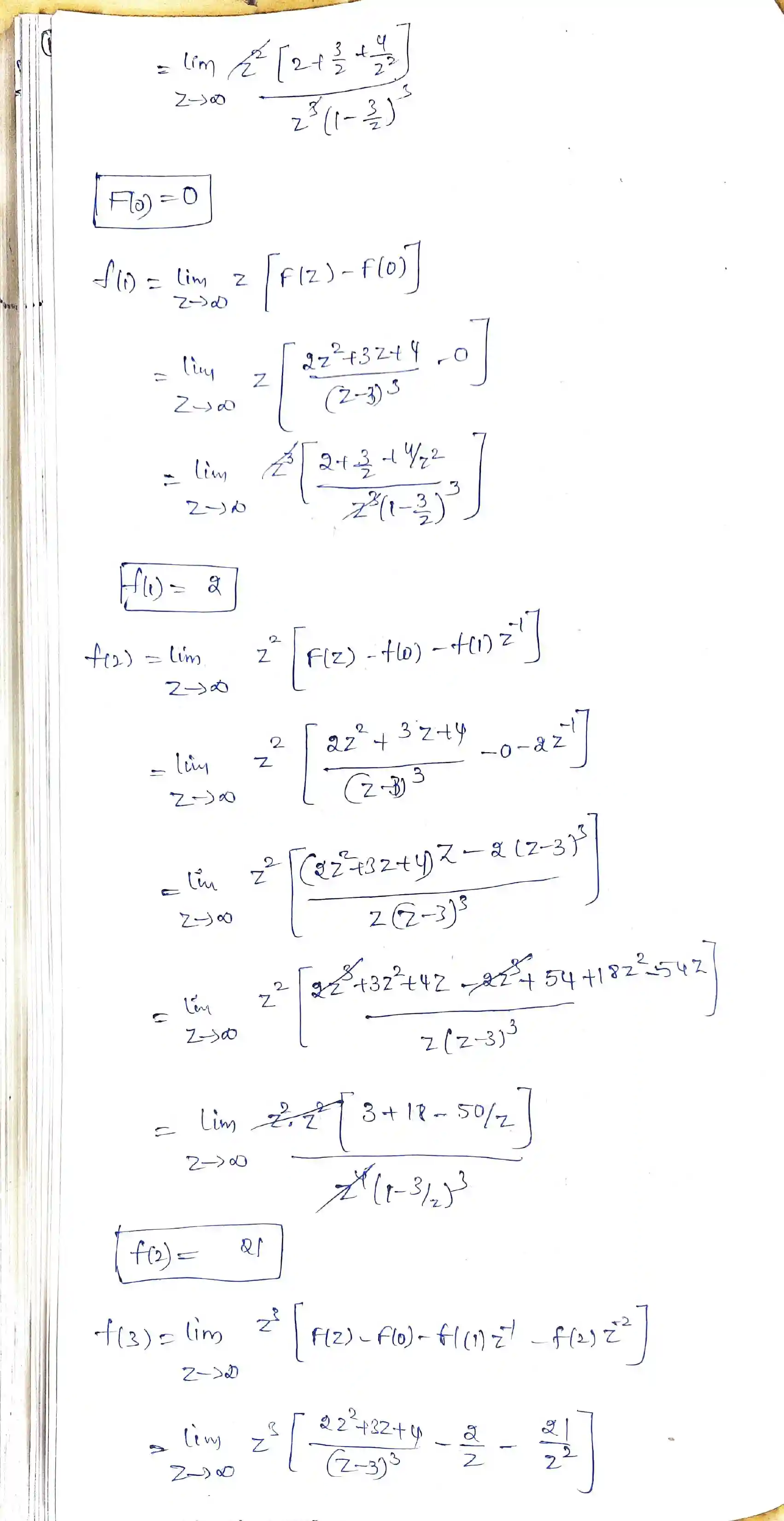
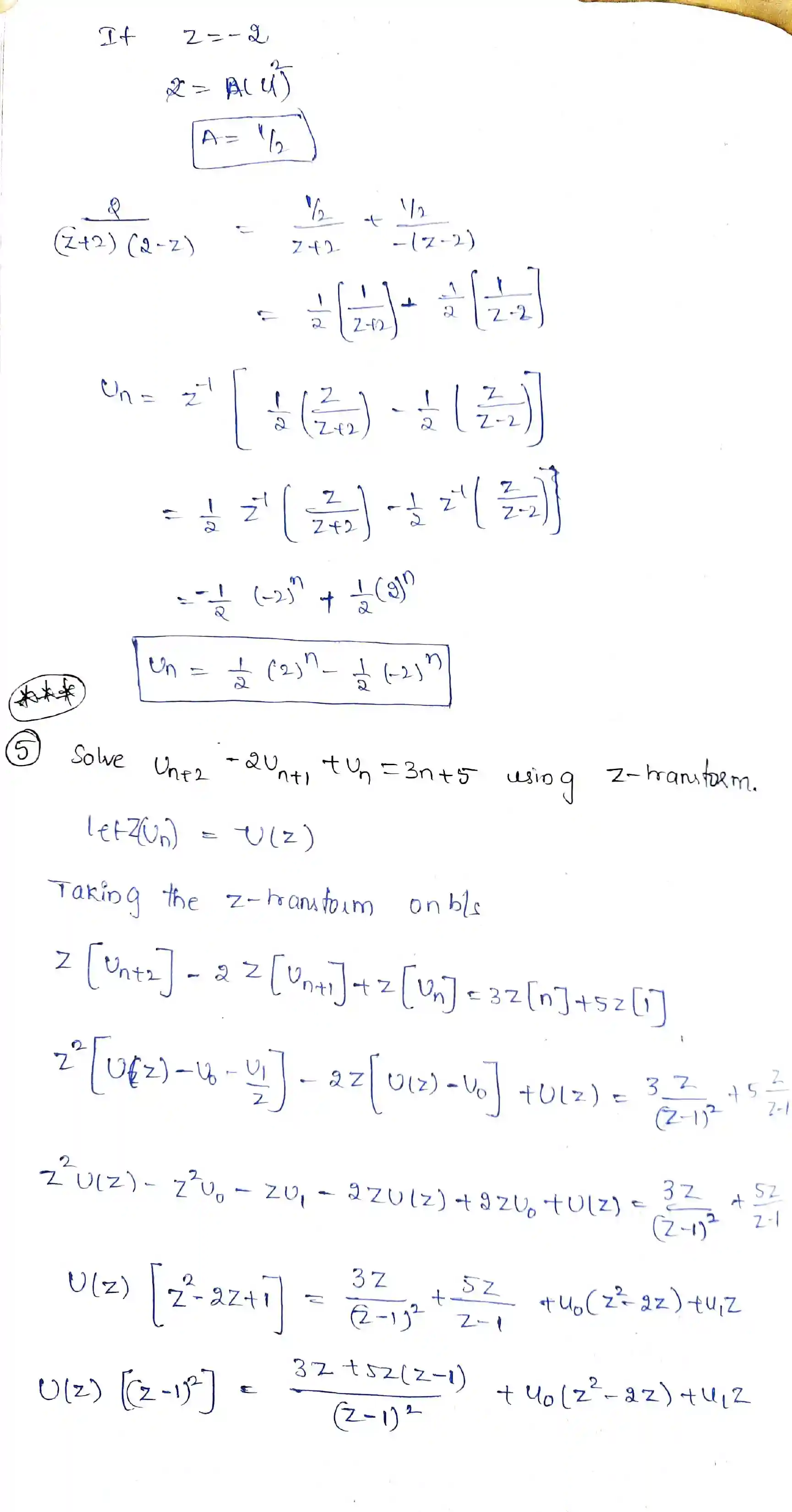
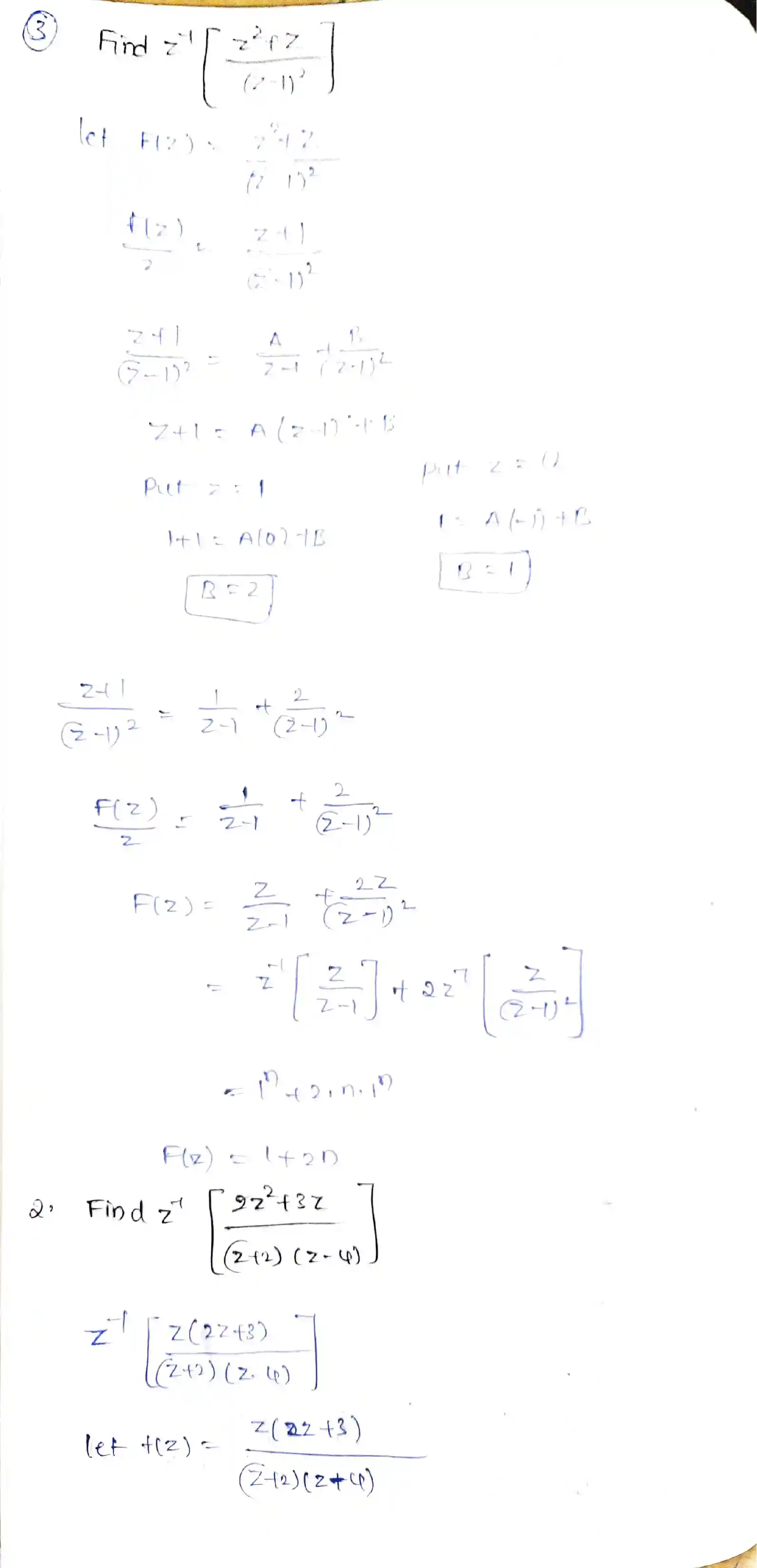
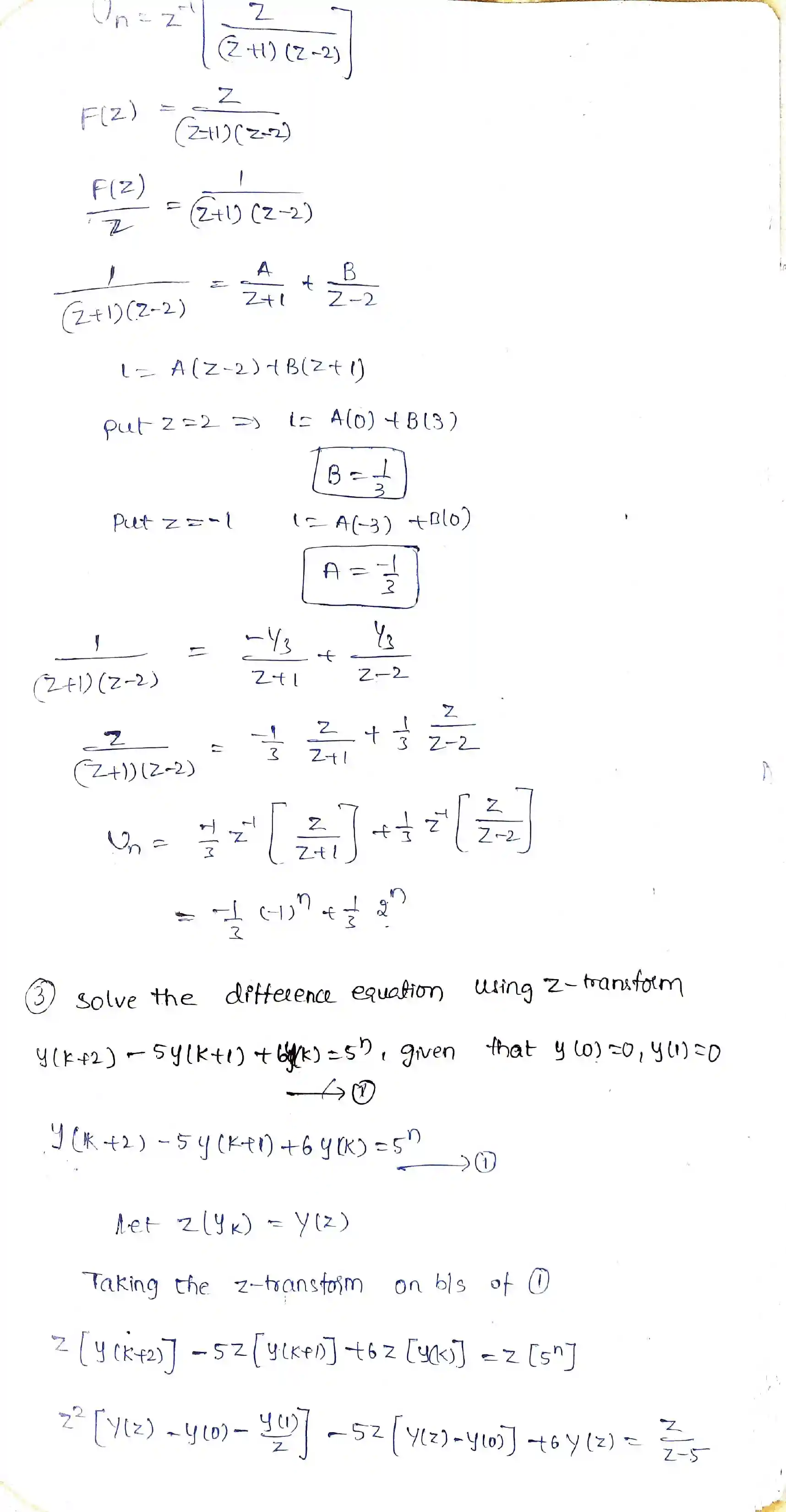
Z Transform

ENGINEERING → Computers Science And Engineering → Engineering Mathematics → Notes-1

Read handwritten PDF notes for Z Transform. This chapter contains 39 pages of handwritten study materials.

39 Total Pages
PDF Format
100% Free Access
logo