logo
Digital Notes

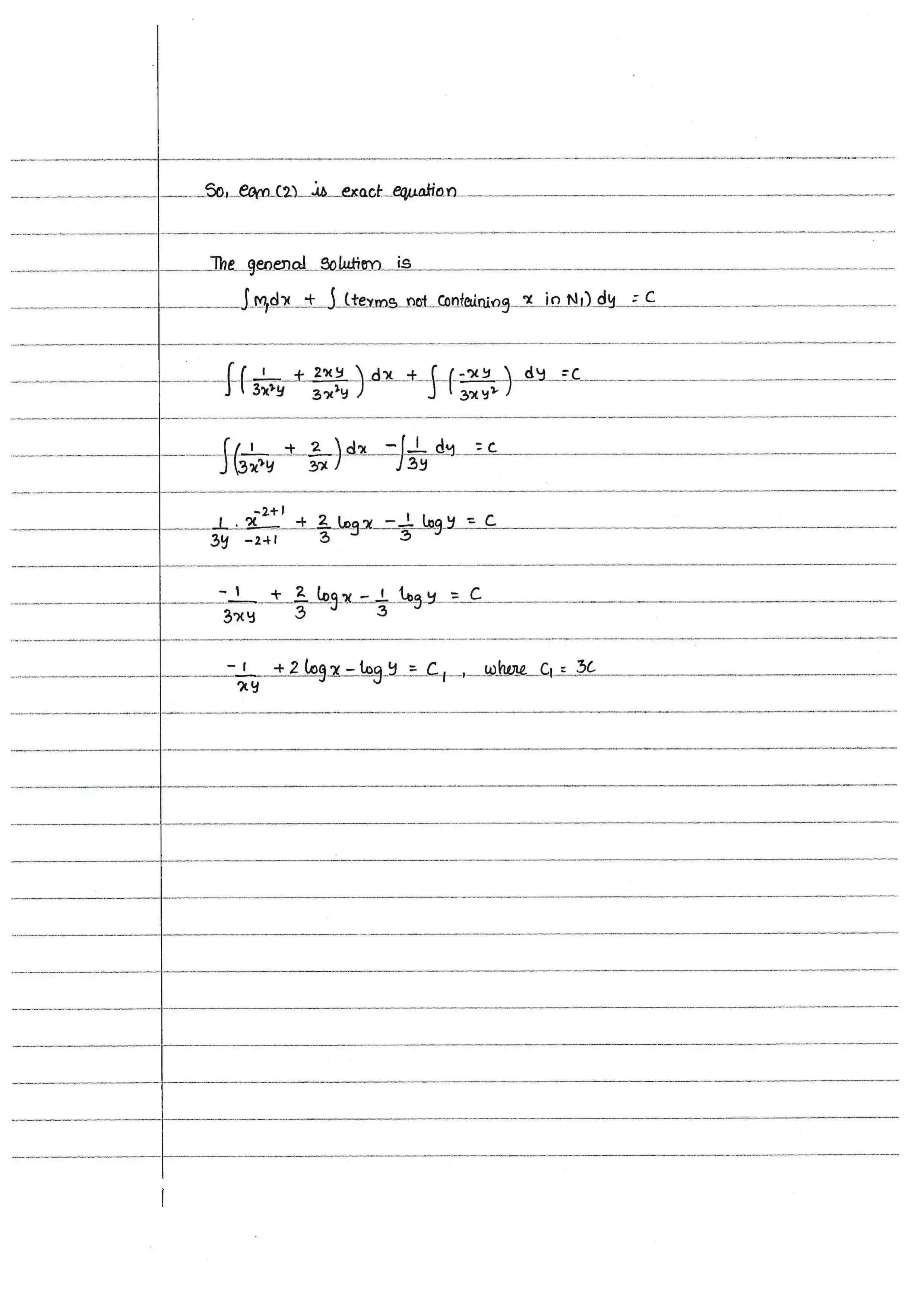
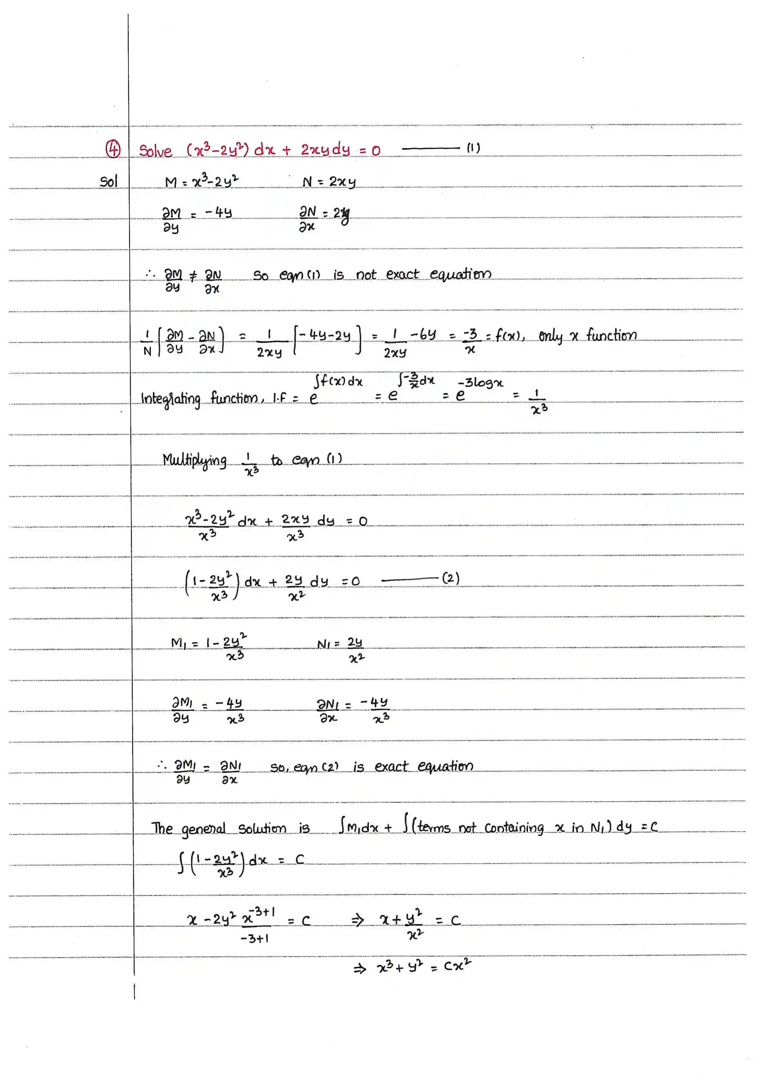
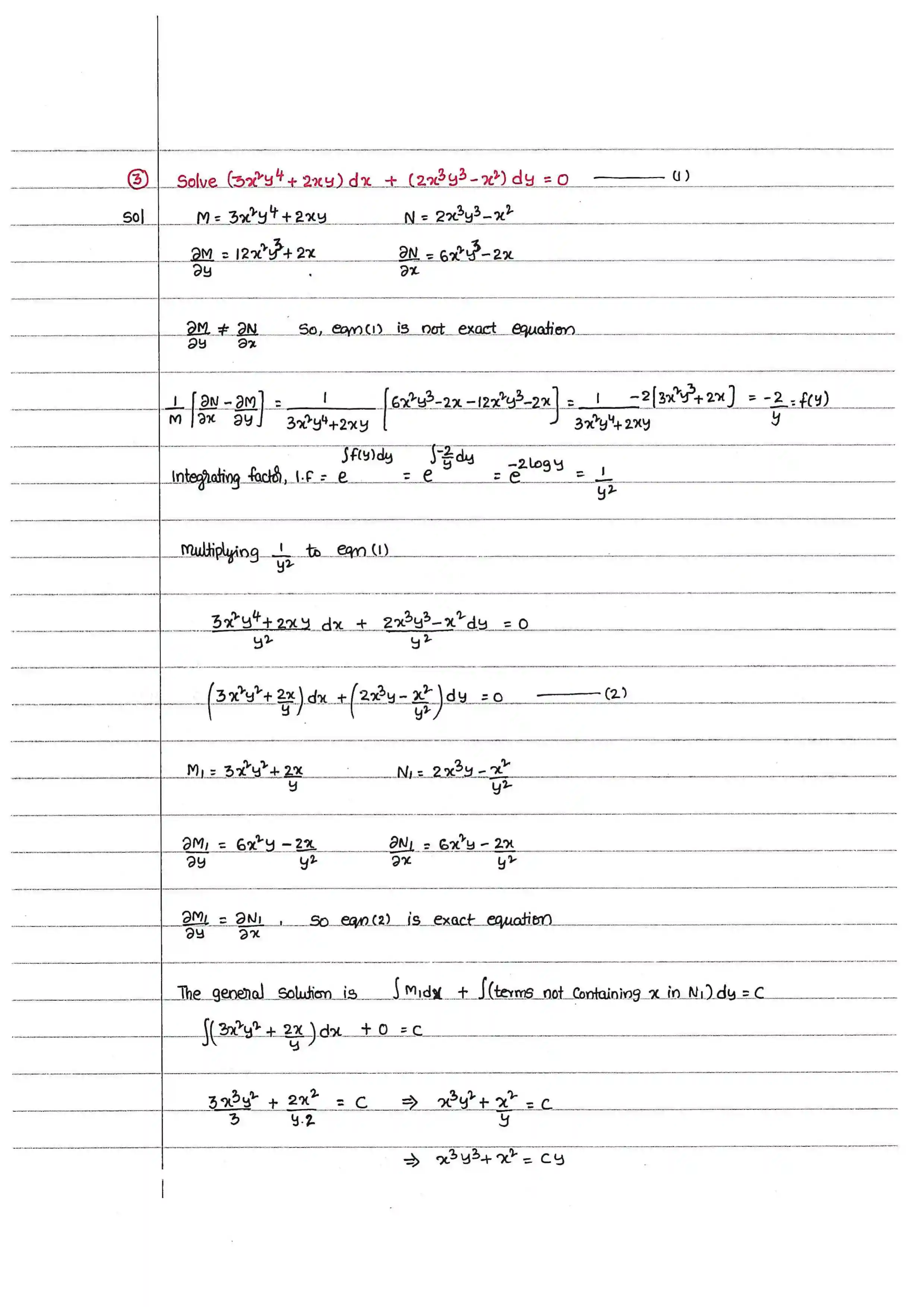
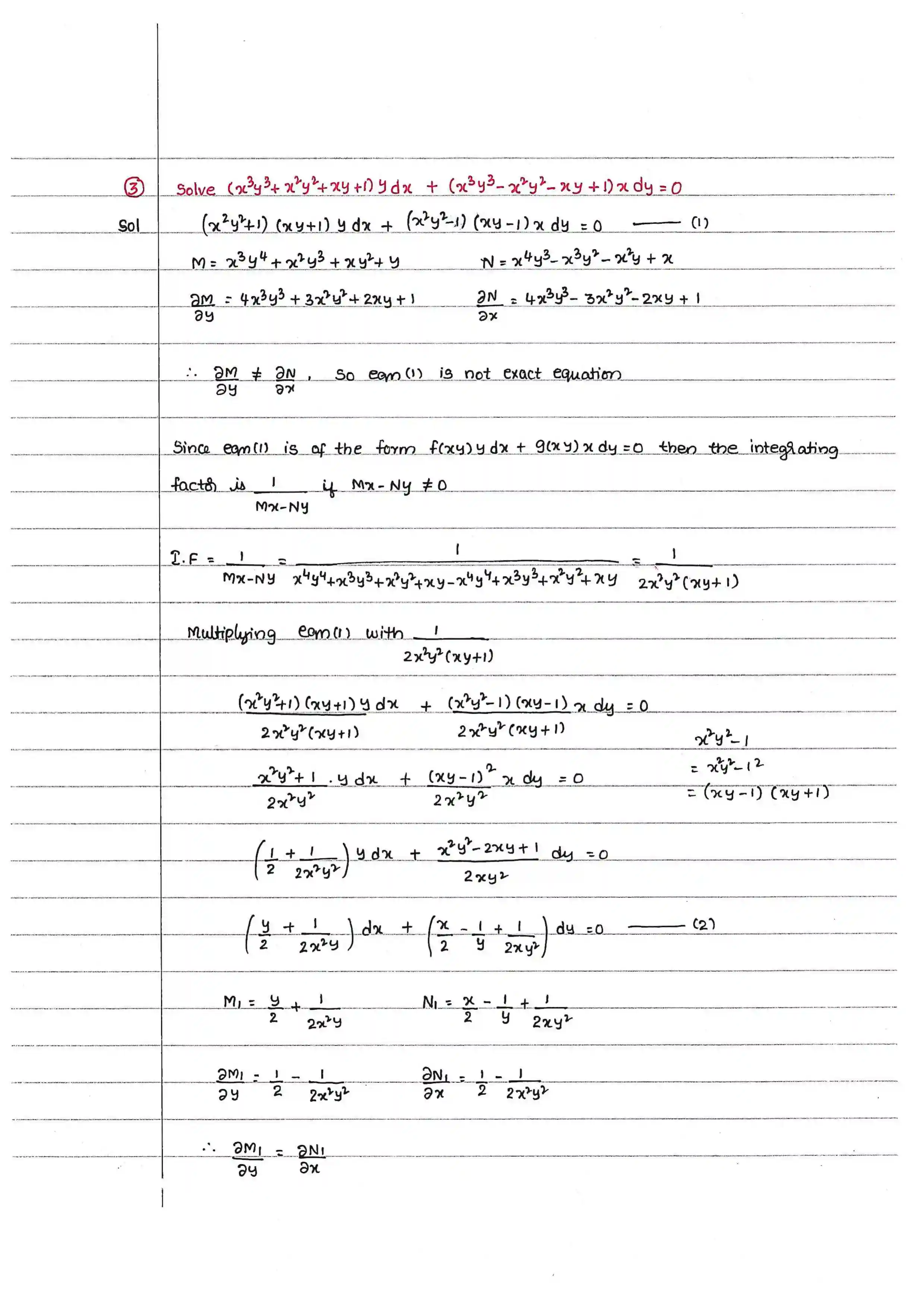
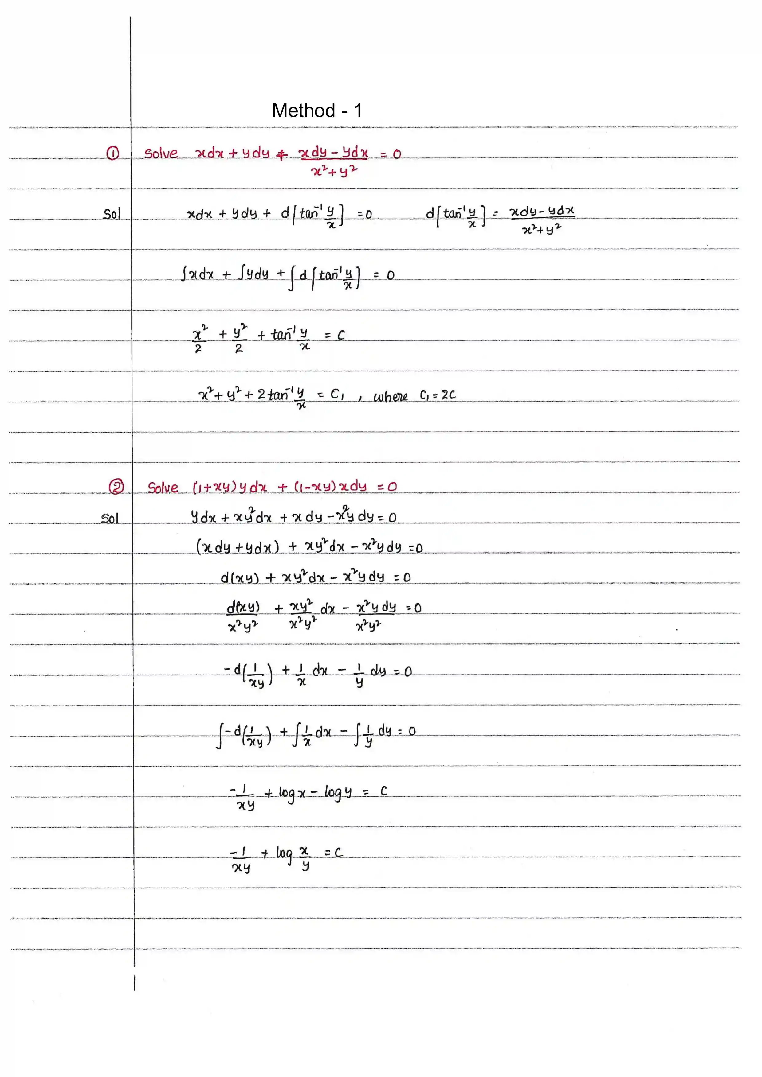
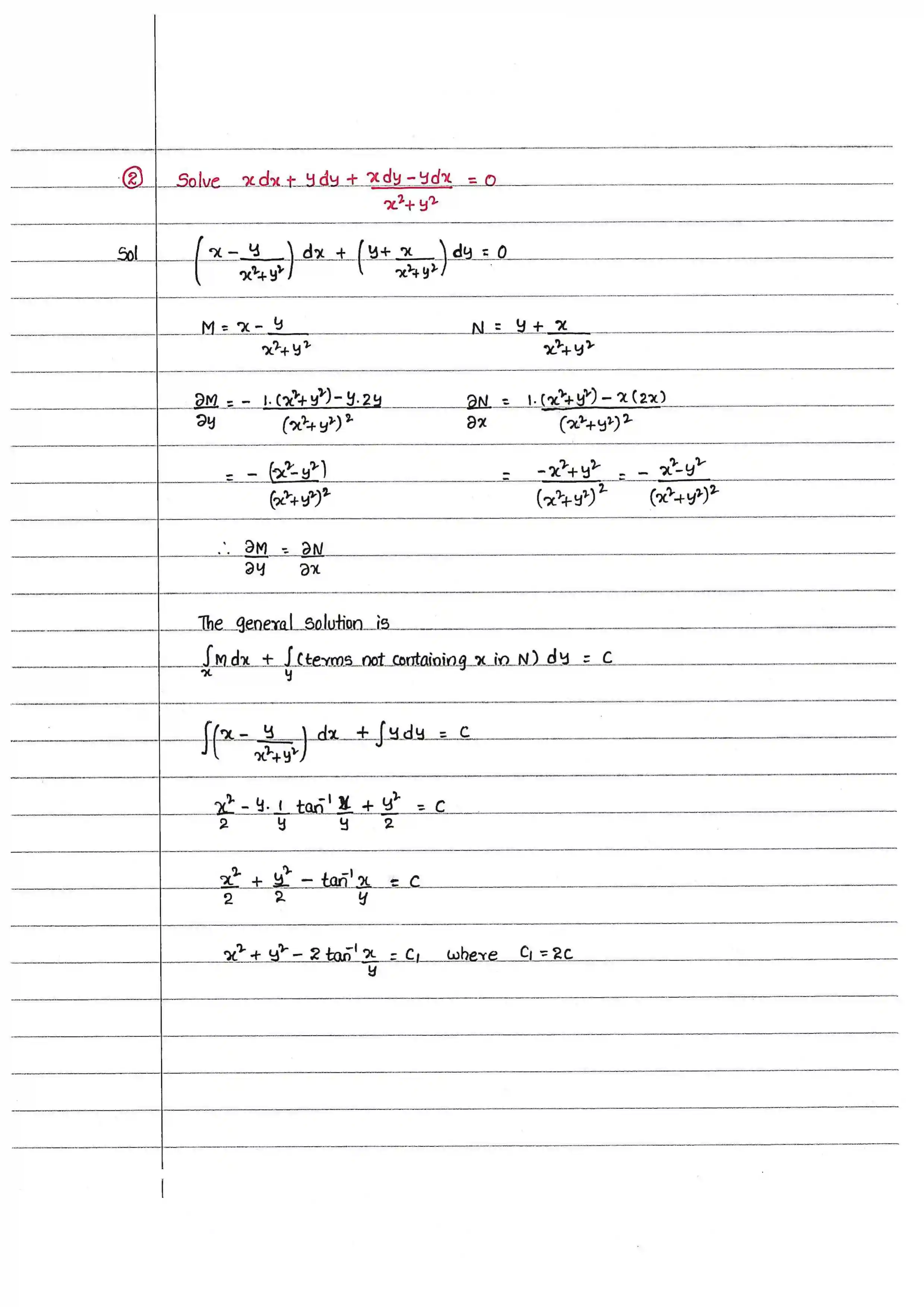
Exact Differential Equations

ENGINEERING → Computers Science And Engineering → Engineering Mathematics → Notes-1

Read handwritten PDF notes for Exact Differential Equations. This chapter contains 35 pages of handwritten study materials.

35 Total Pages
PDF Format
100% Free Access
logo