logo
Digital Notes

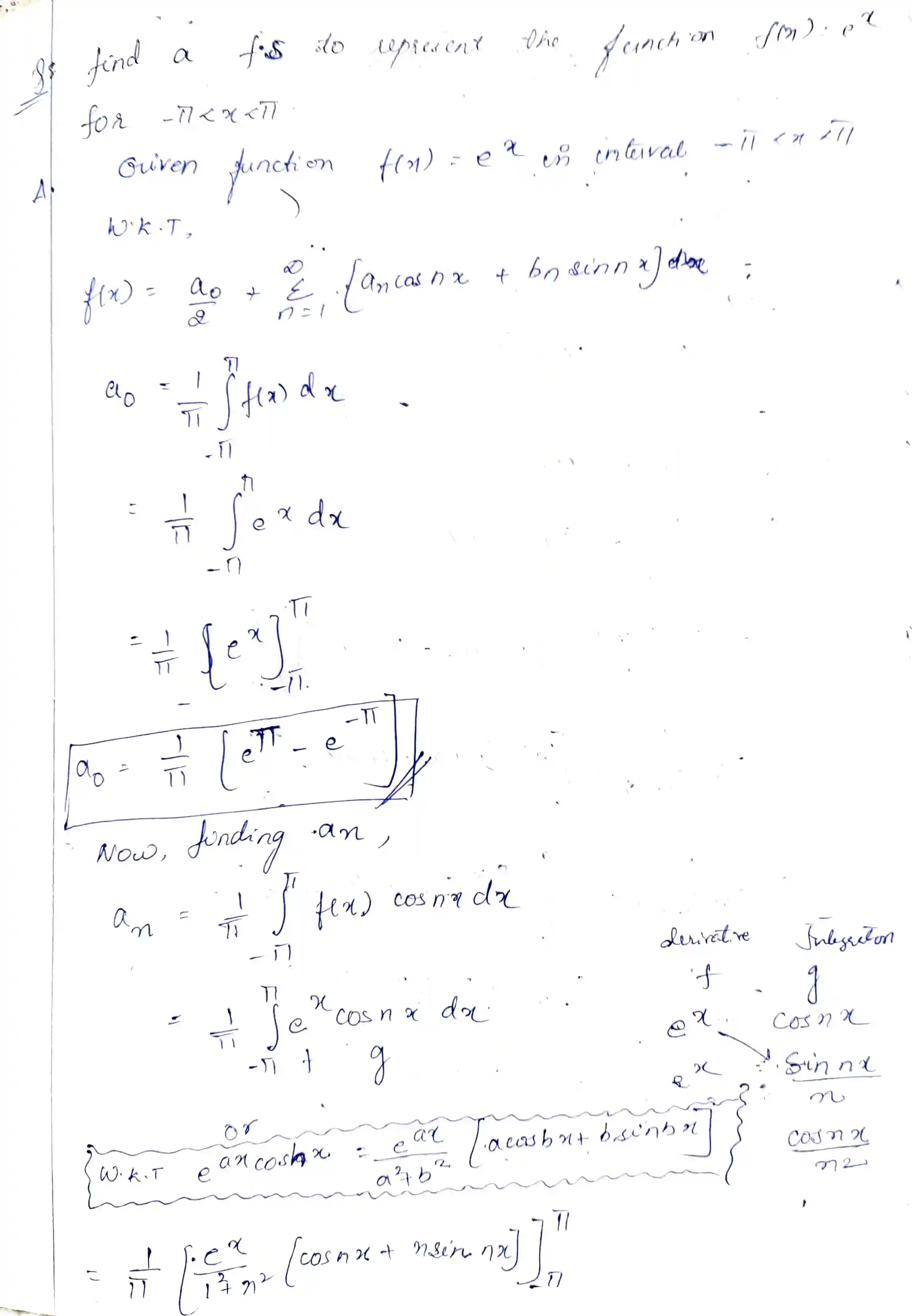
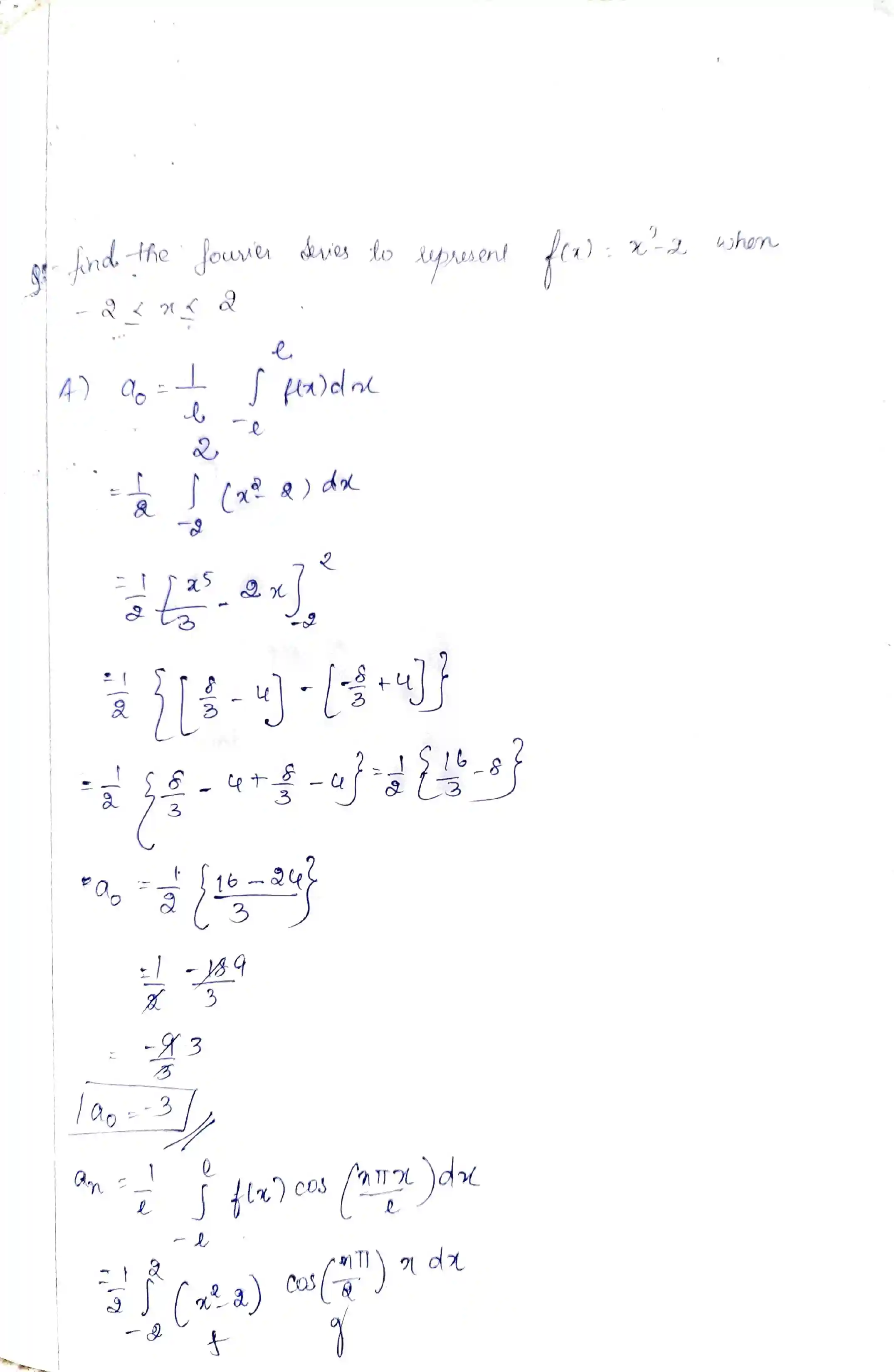
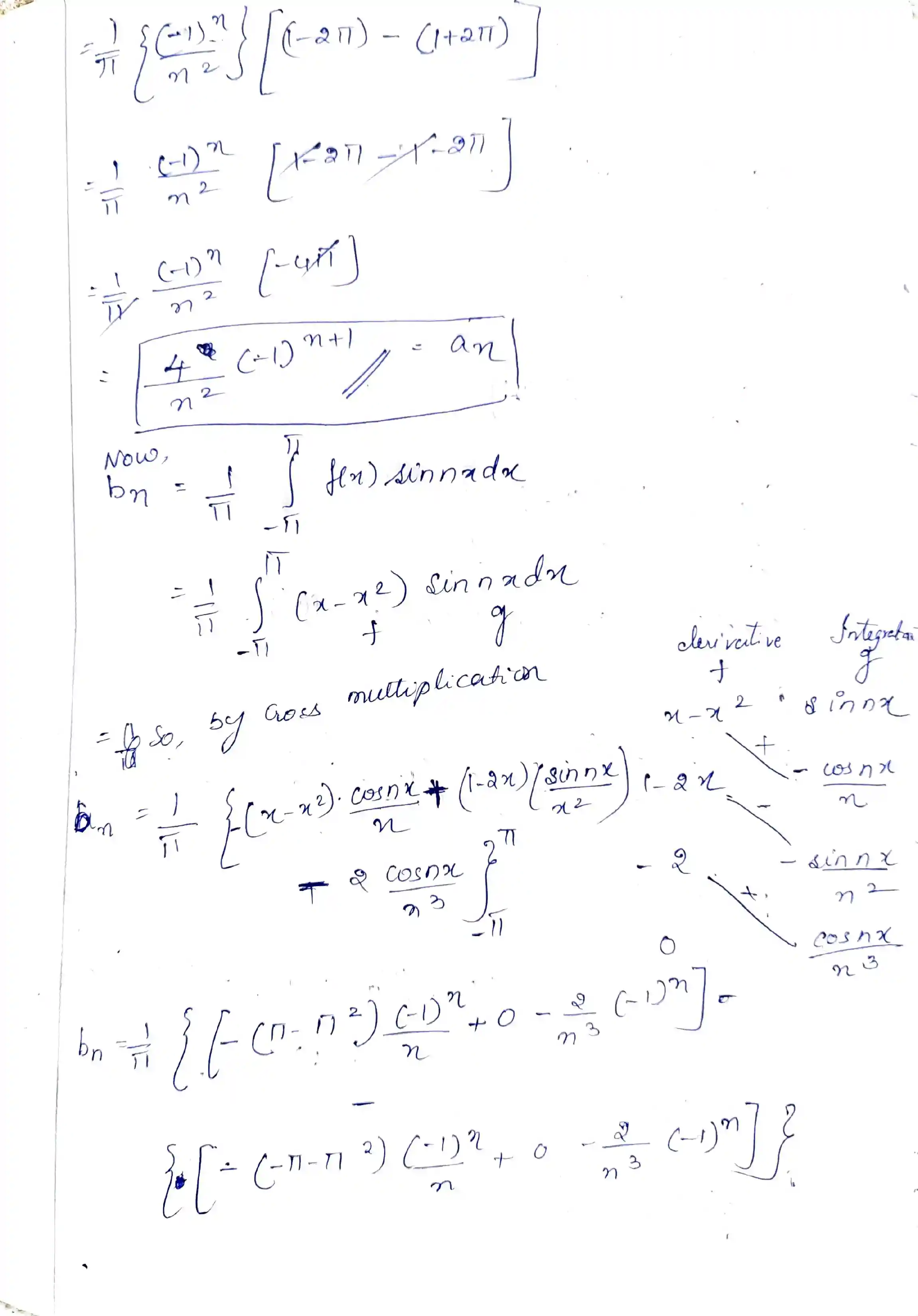
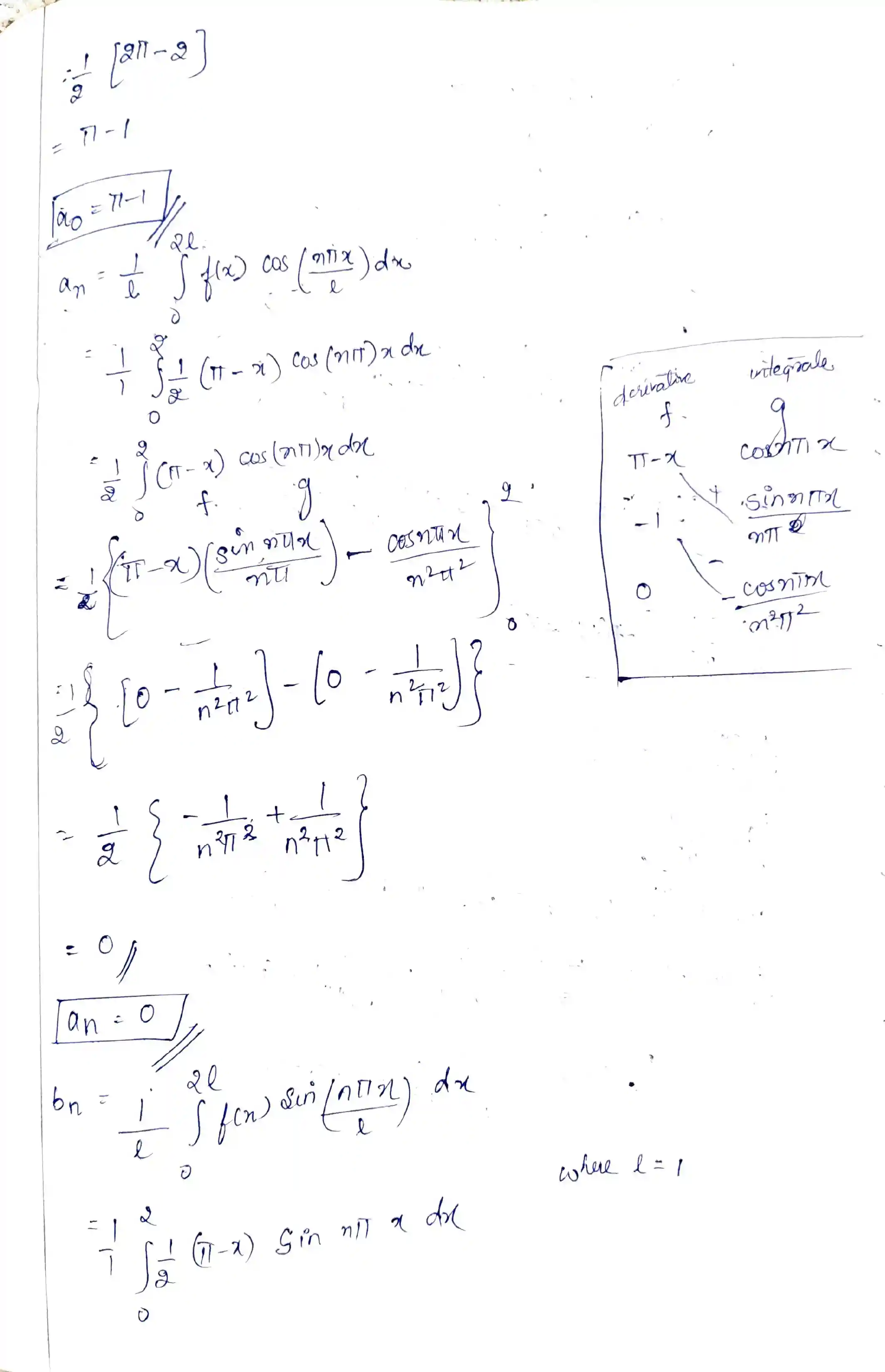
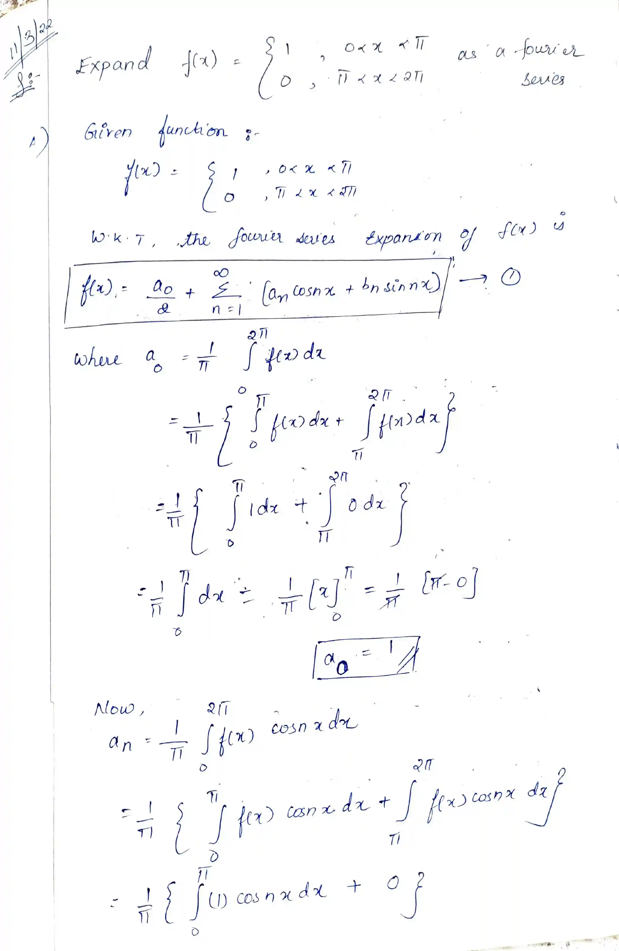
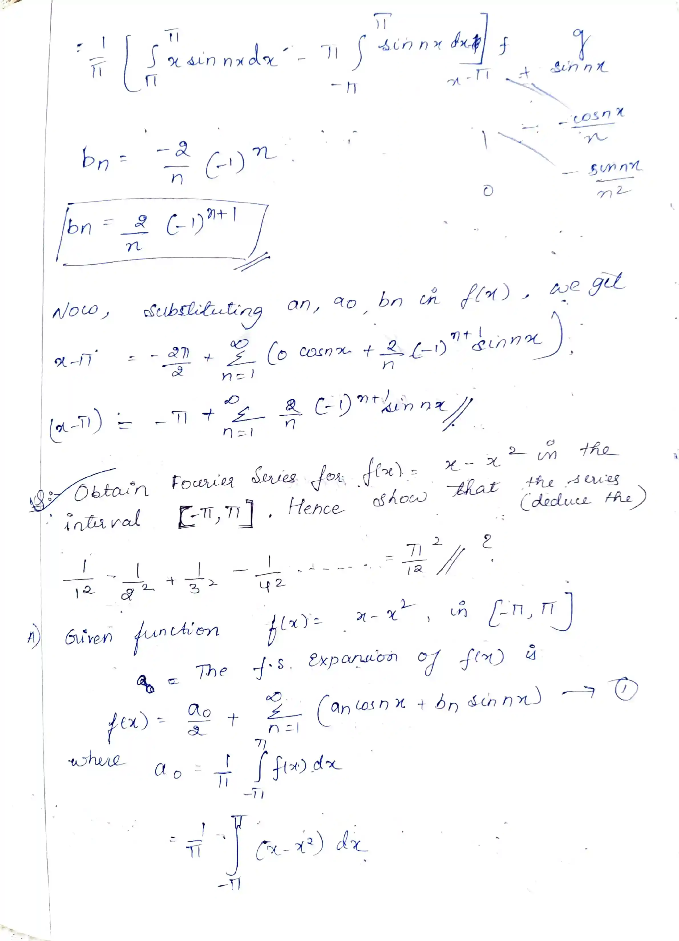
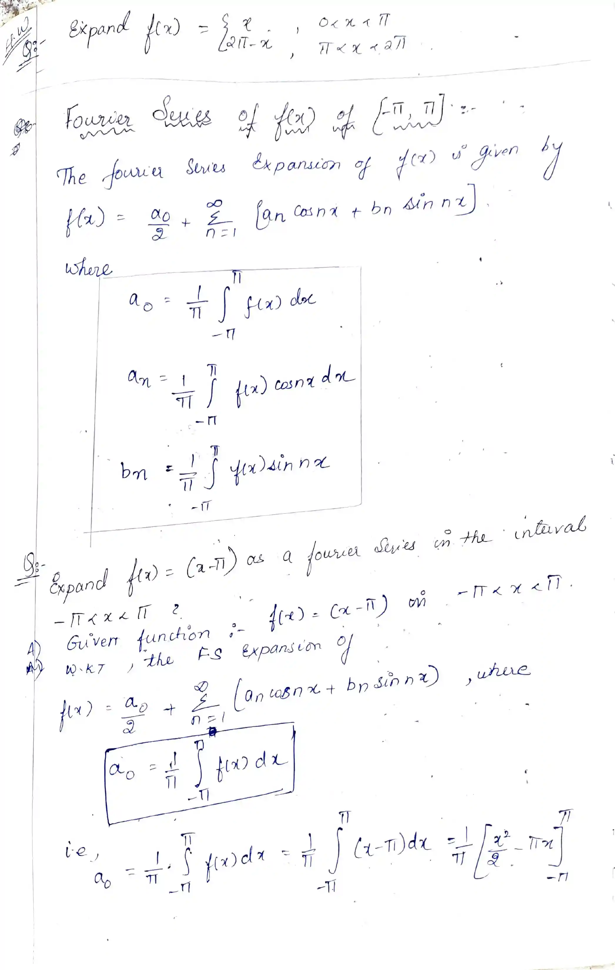
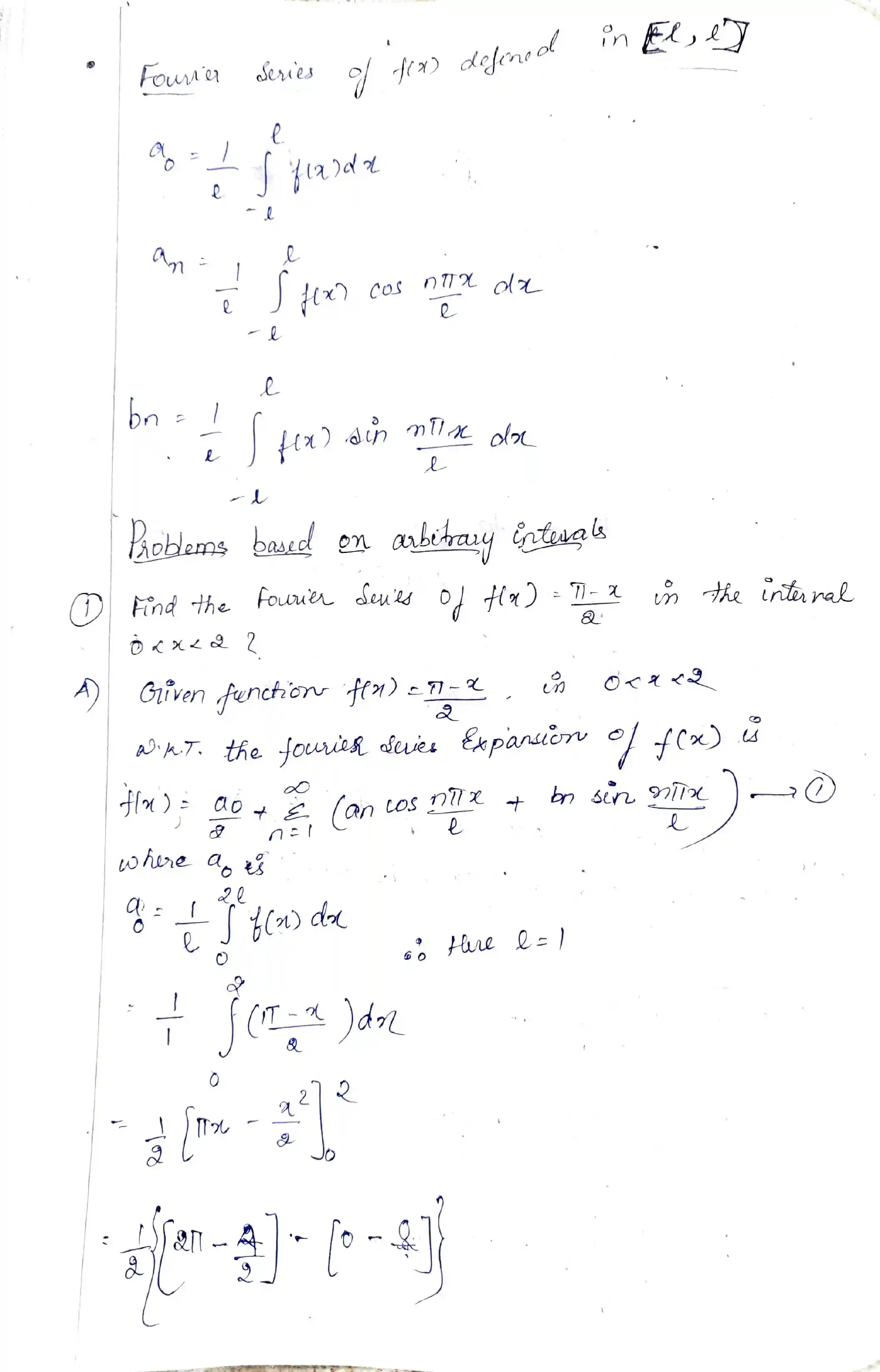
Fouruer Series

ENGINEERING → Computers Science And Engineering → Engineering Mathematics → Notes-1

Read handwritten PDF notes for Fouruer Series. This chapter contains 32 pages of handwritten study materials.

32 Total Pages
PDF Format
100% Free Access
logo