logo
Digital Notes

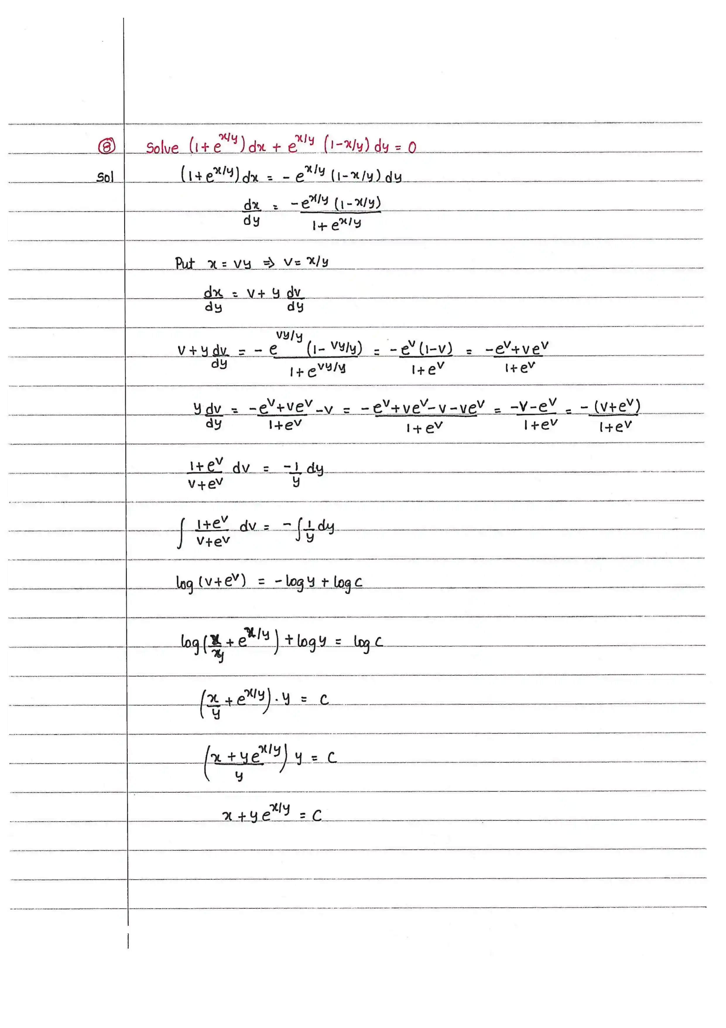
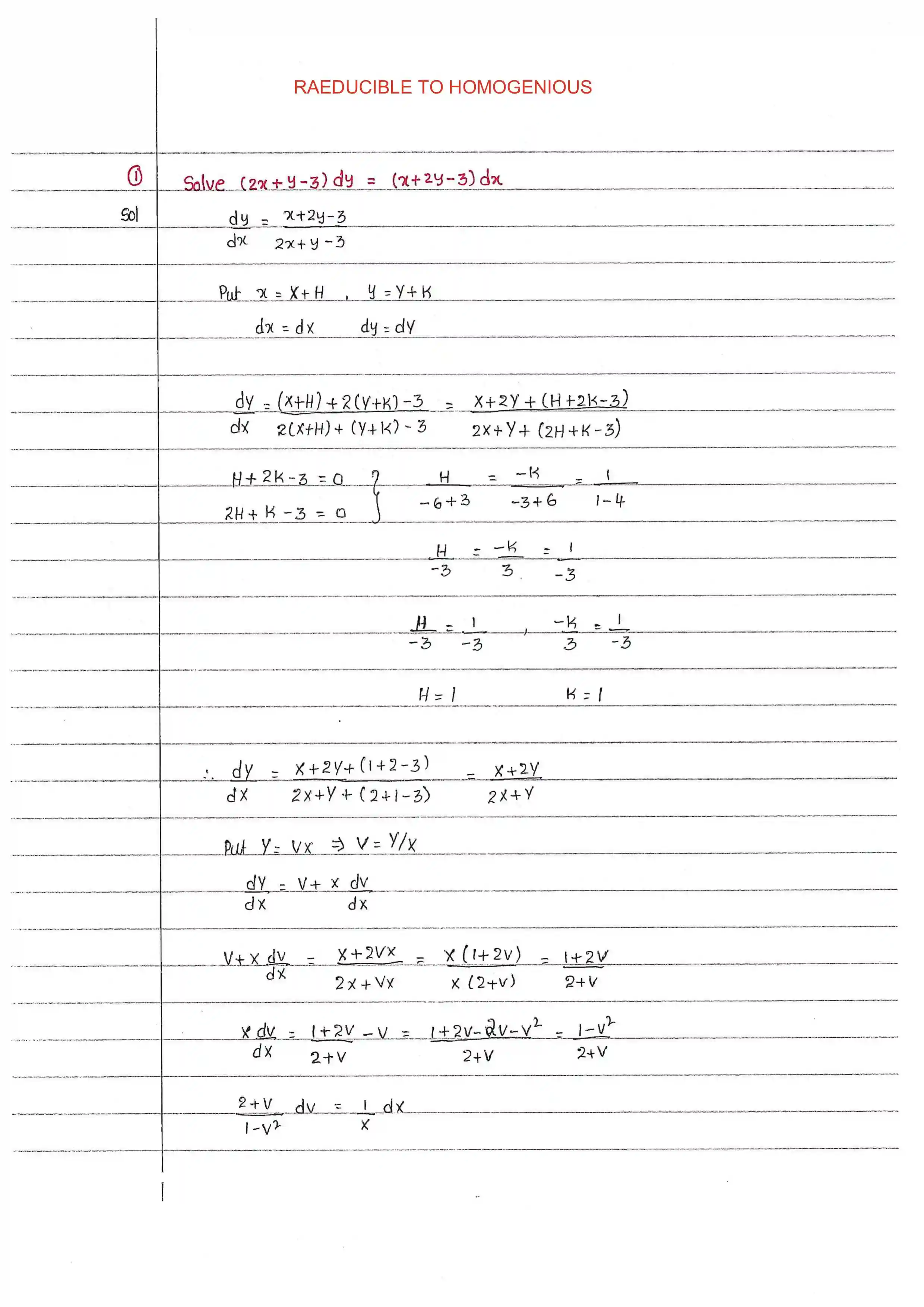
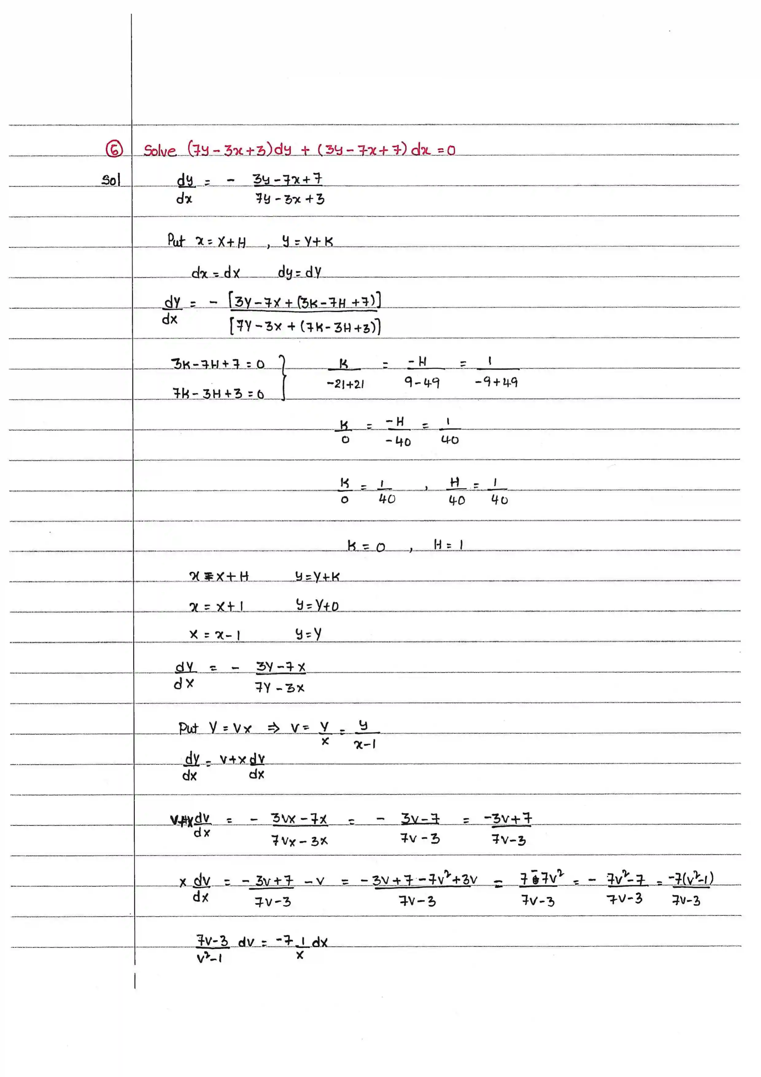
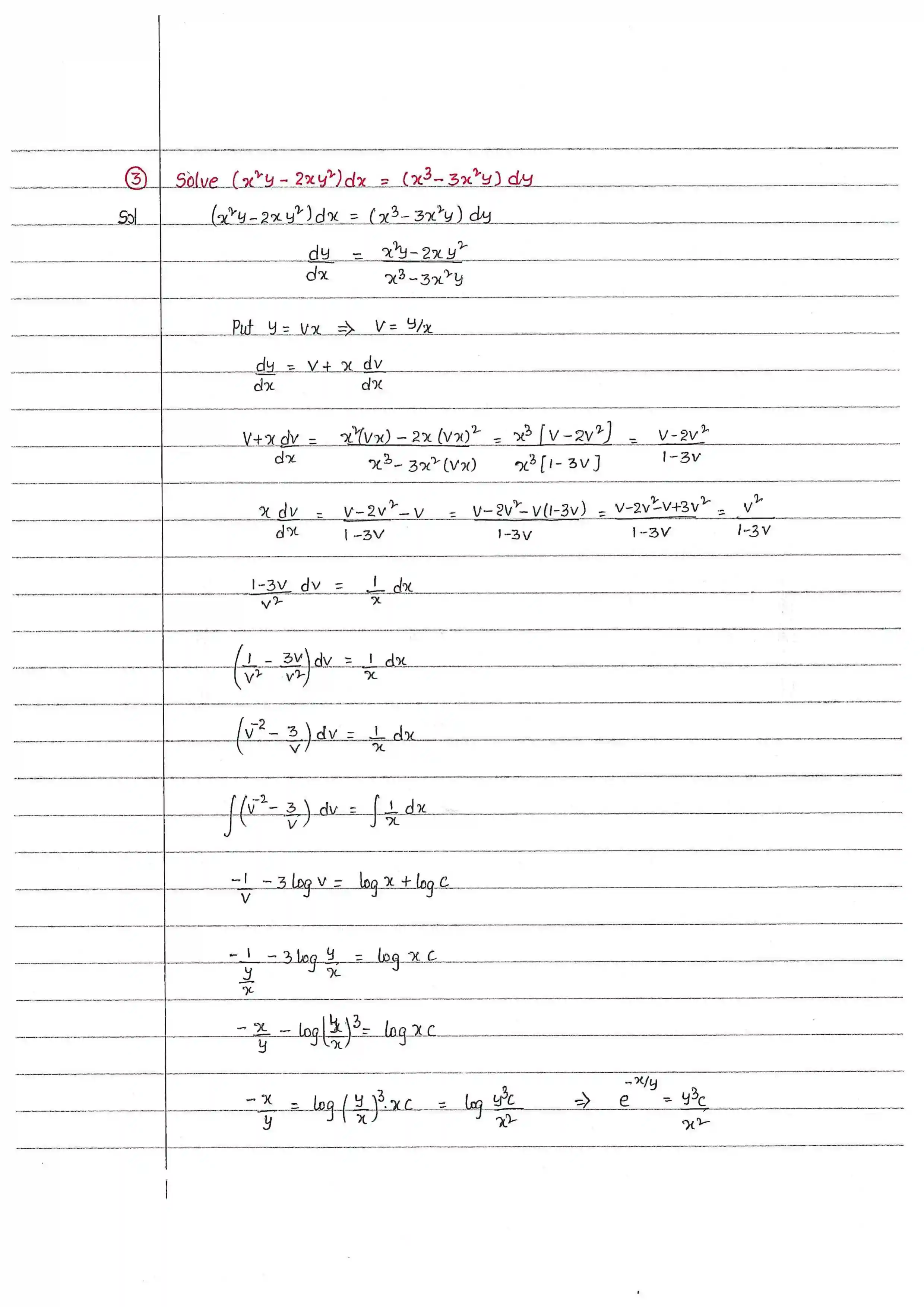
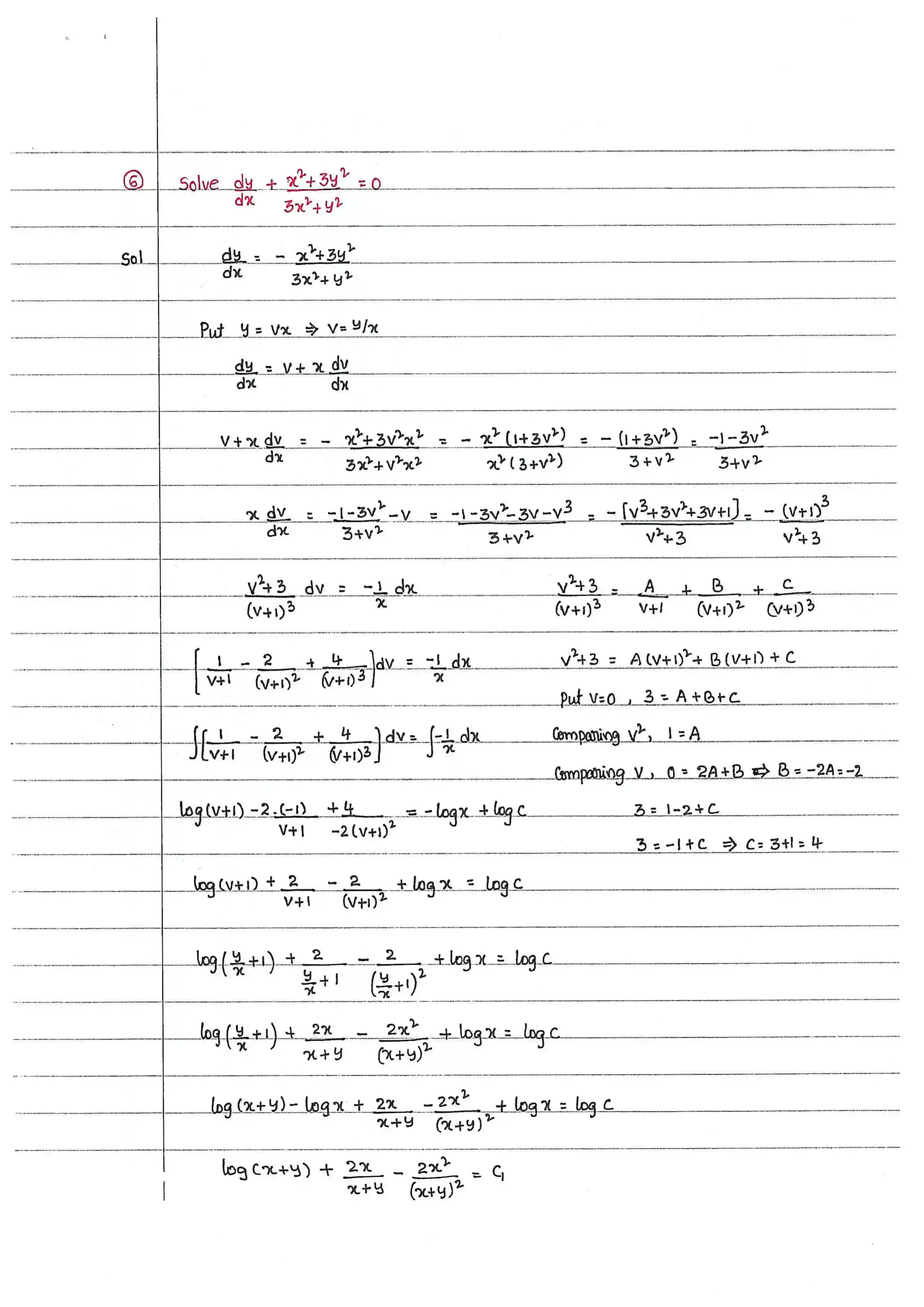
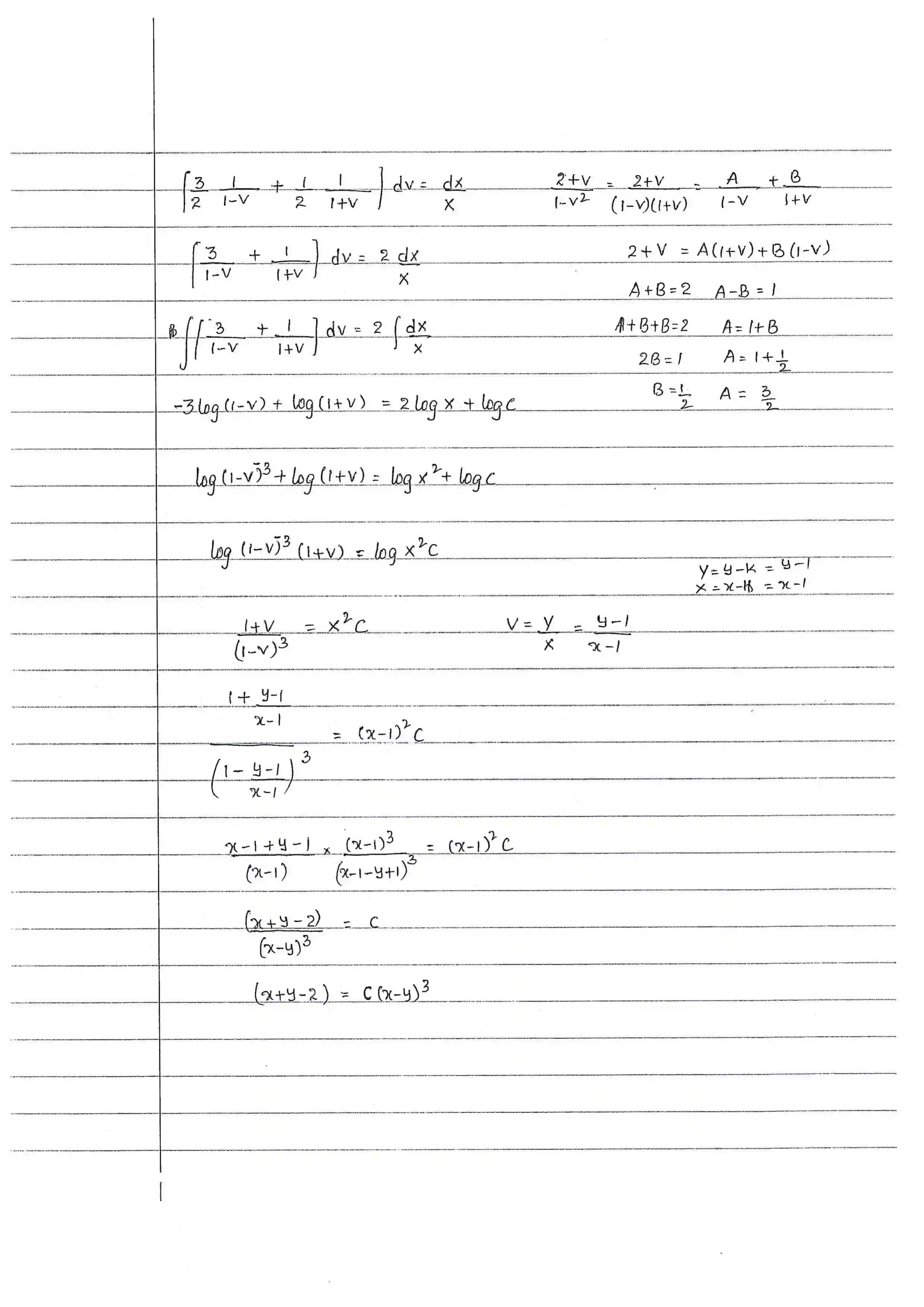
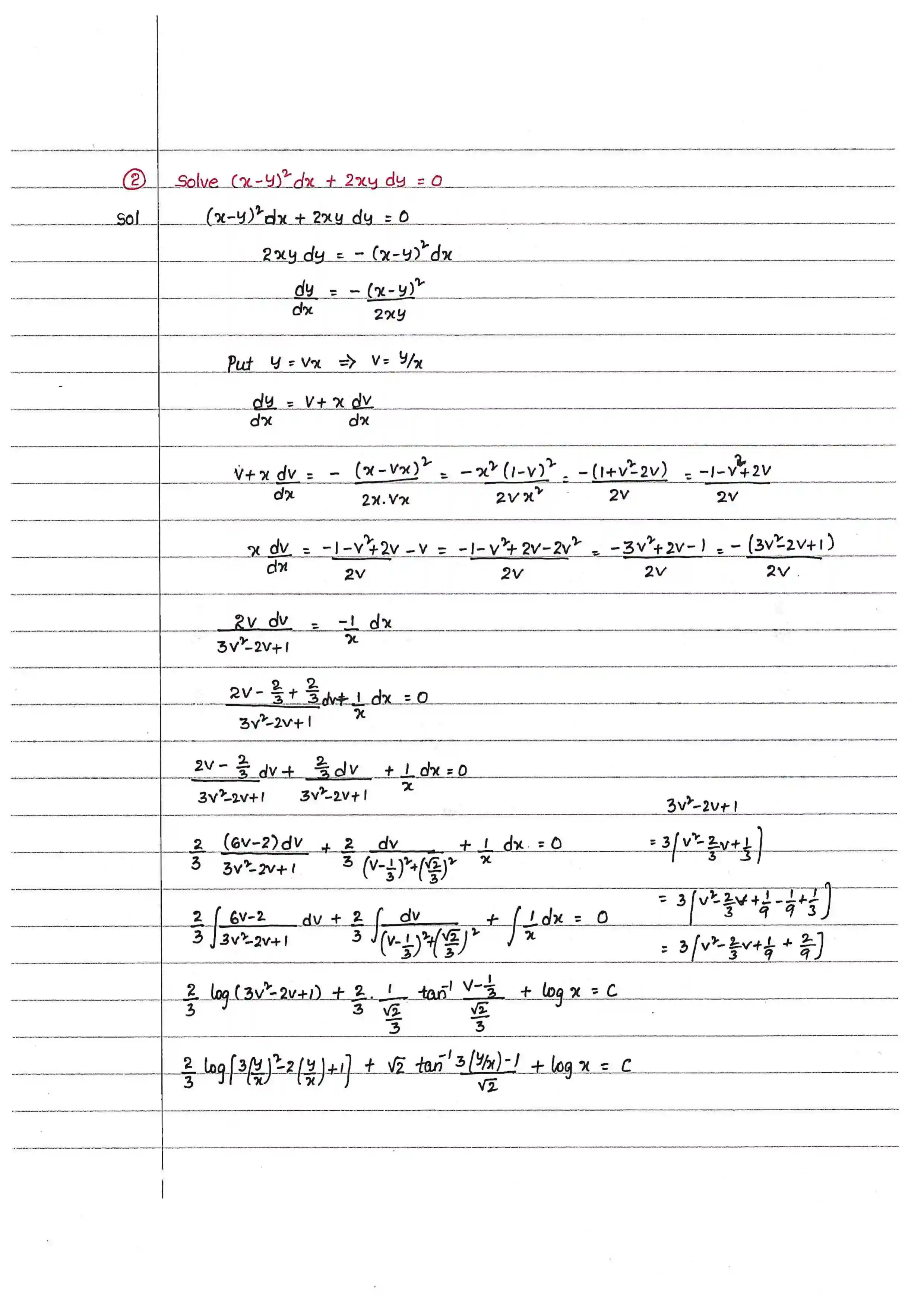
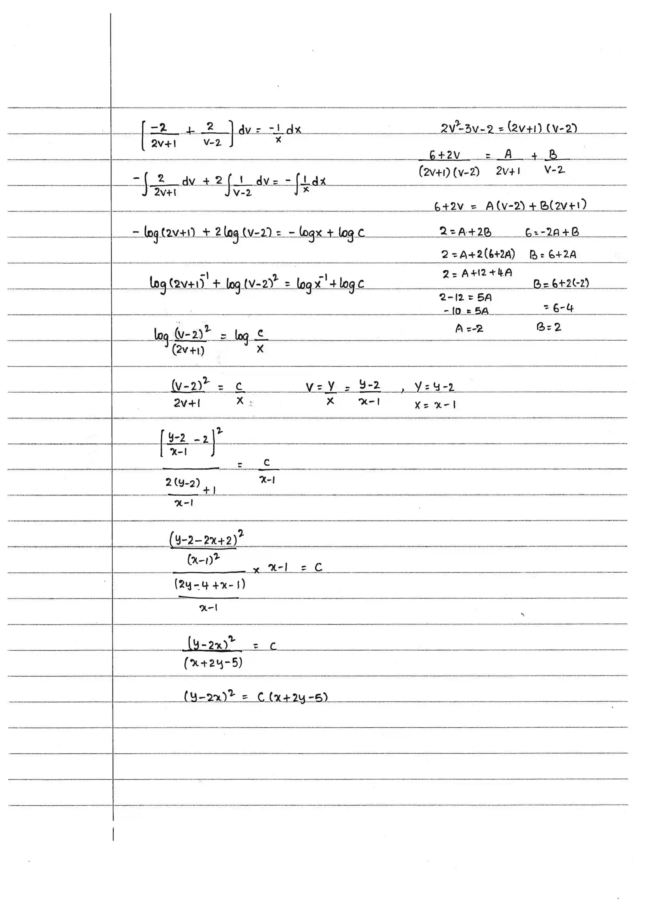
First order Differential Equations

ENGINEERING → Computers Science And Engineering → Engineering Mathematics → Notes-1

Read handwritten PDF notes for First order Differential Equations. This chapter contains 26 pages of handwritten study materials.

26 Total Pages
PDF Format
100% Free Access
logo