logo
Digital Notes

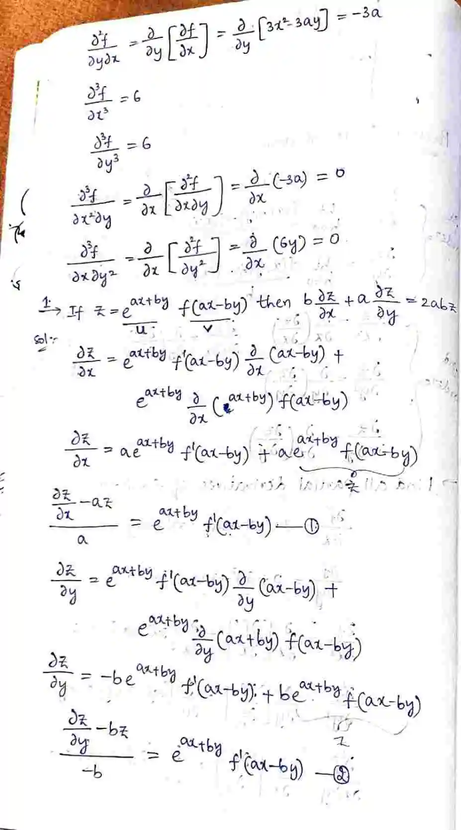
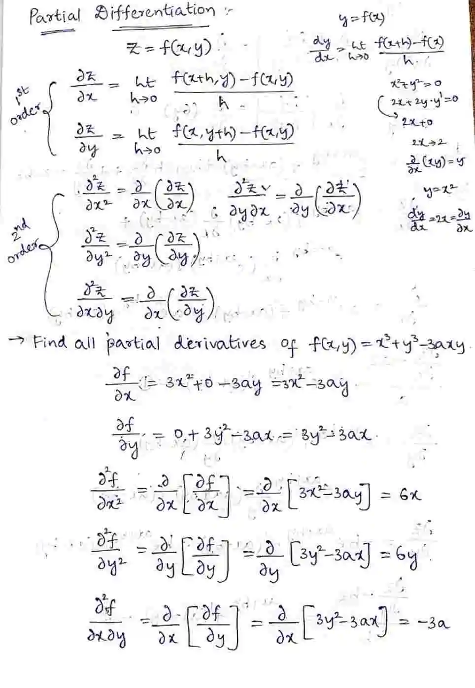
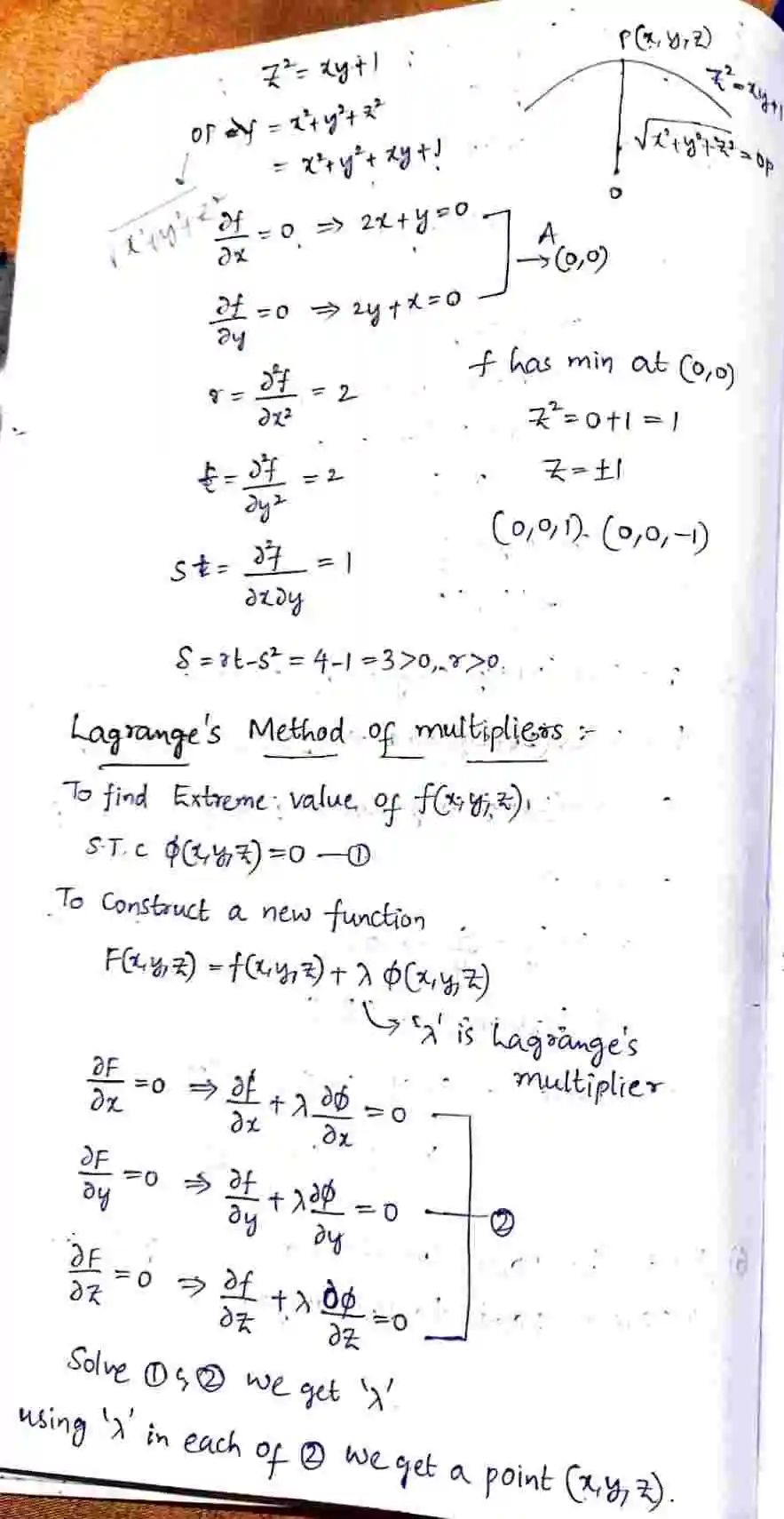
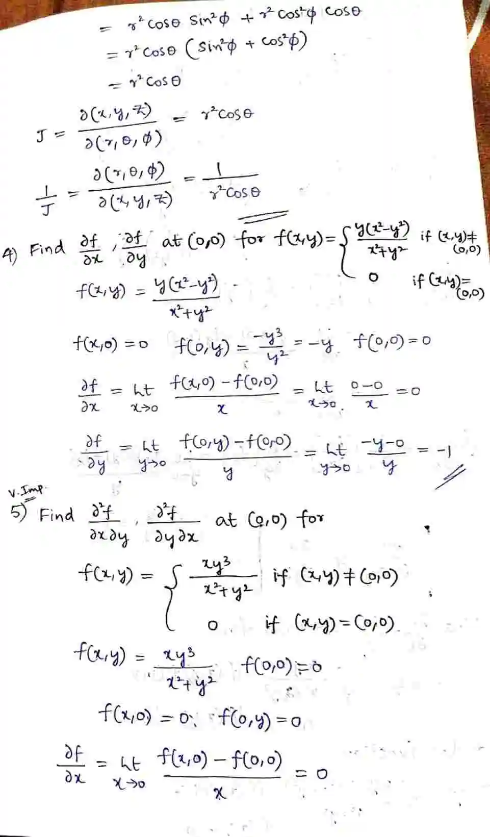
Partial Differentiation

ENGINEERING → Computers Science And Engineering → Engineering Mathematics → Notes-1

Read handwritten PDF notes for Partial Differentiation. This chapter contains 62 pages of handwritten study materials.

62 Total Pages
PDF Format
100% Free Access
logo