logo
Digital Notes

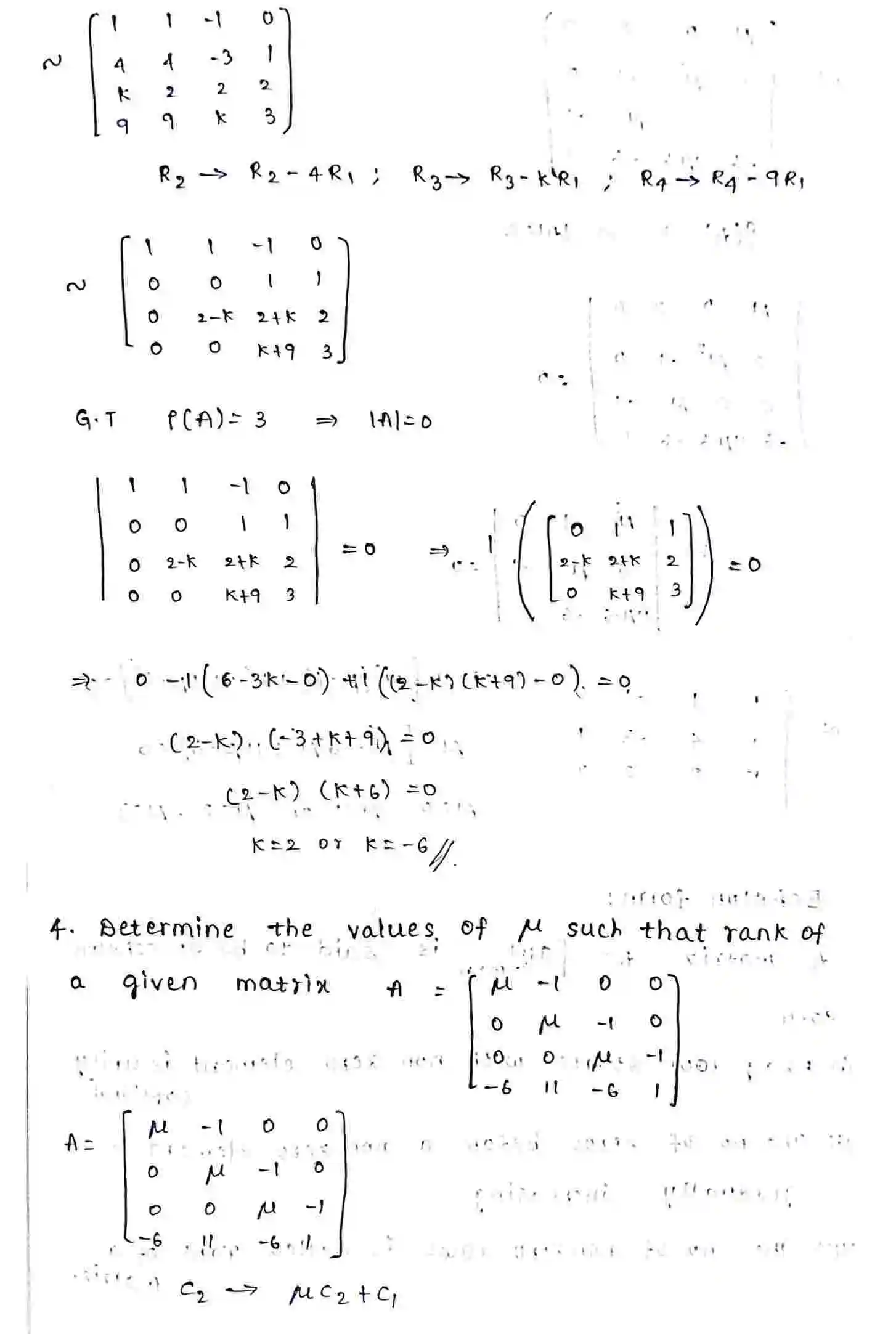
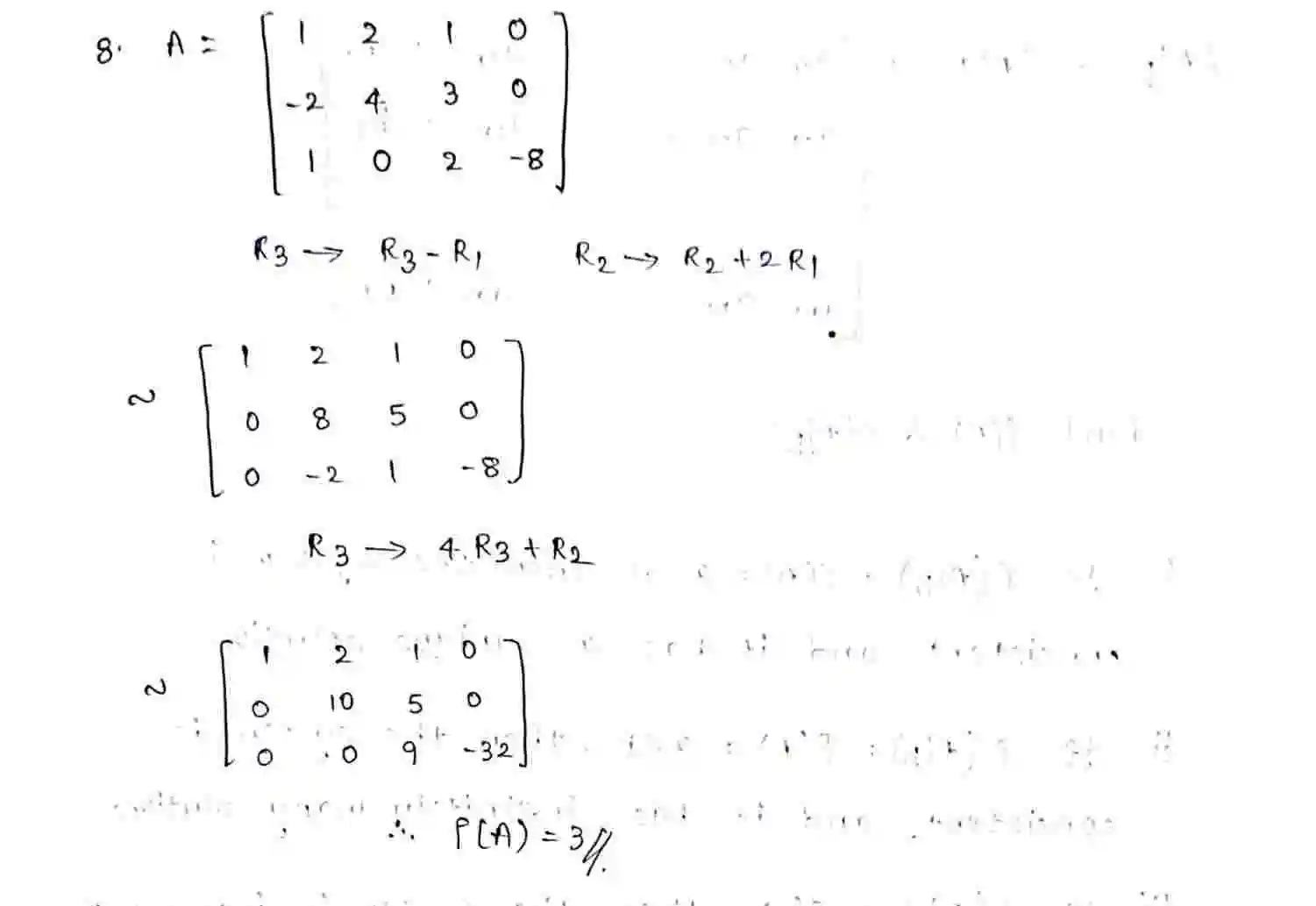
Rank Of Matrix

ENGINEERING → Computers Science And Engineering → Engineering Mathematics → Notes-1

Read handwritten PDF notes for Rank Of Matrix. This chapter contains 9 pages of handwritten study materials.

9 Total Pages
PDF Format
100% Free Access
logo