logo
Digital Notes

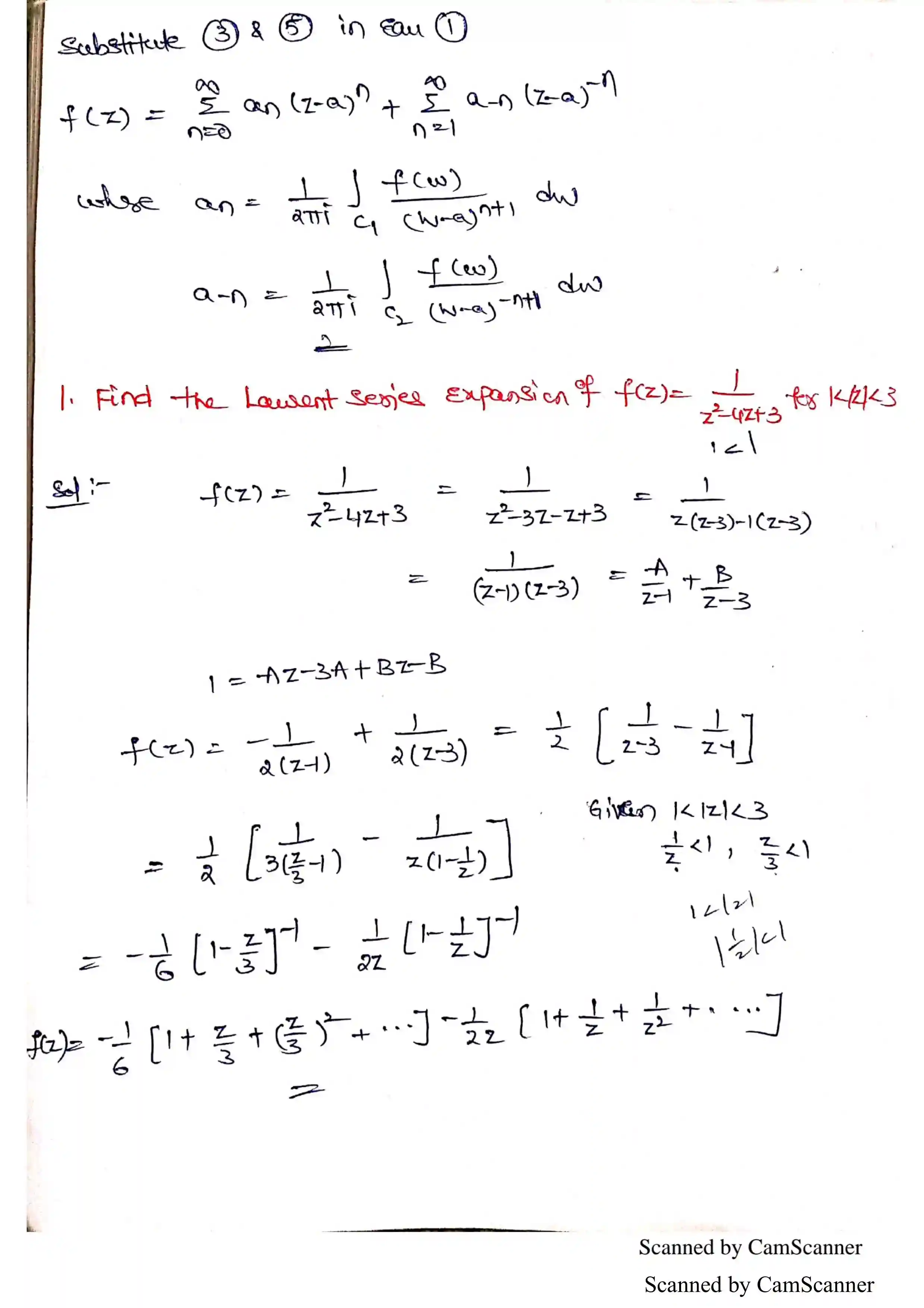
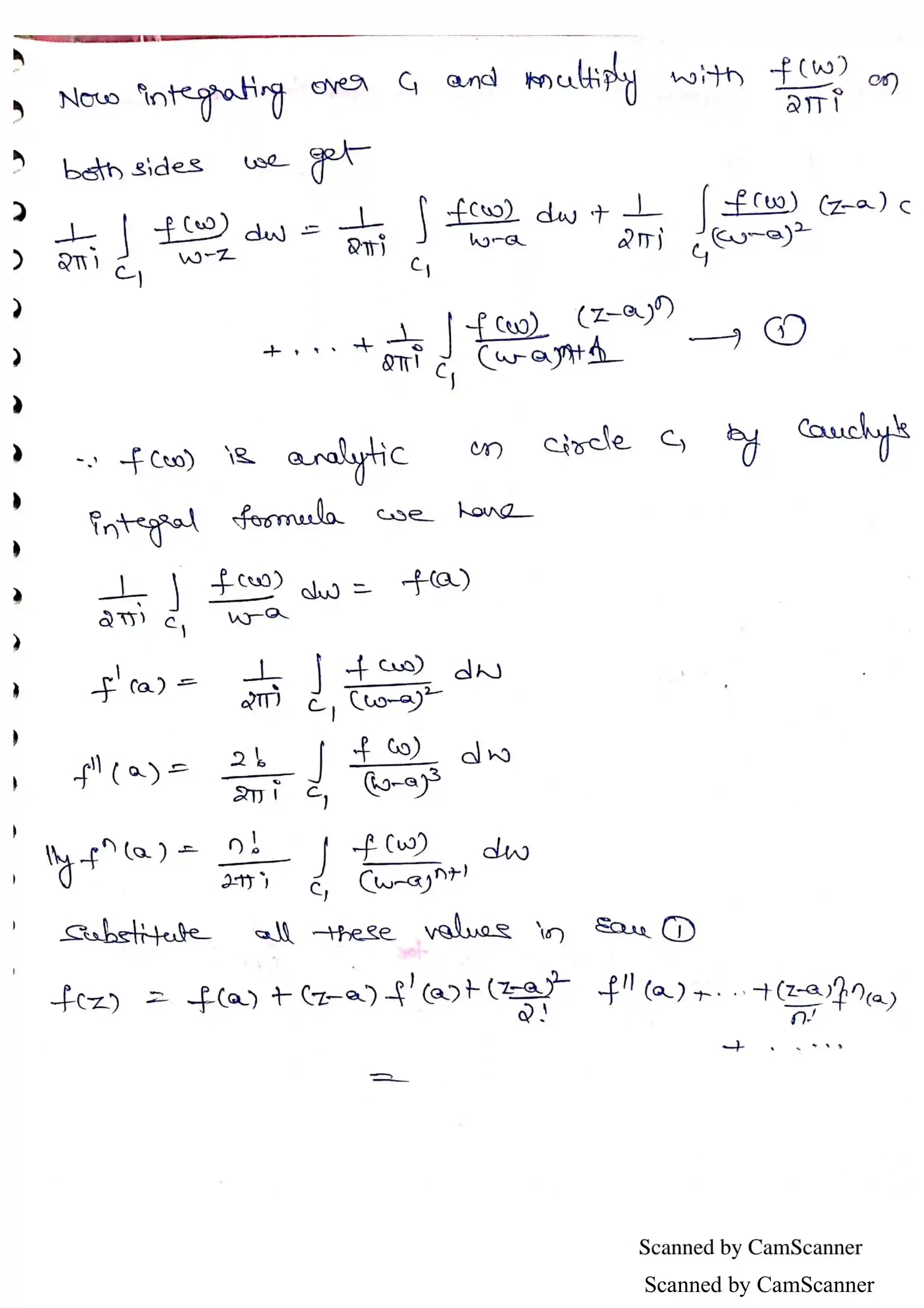
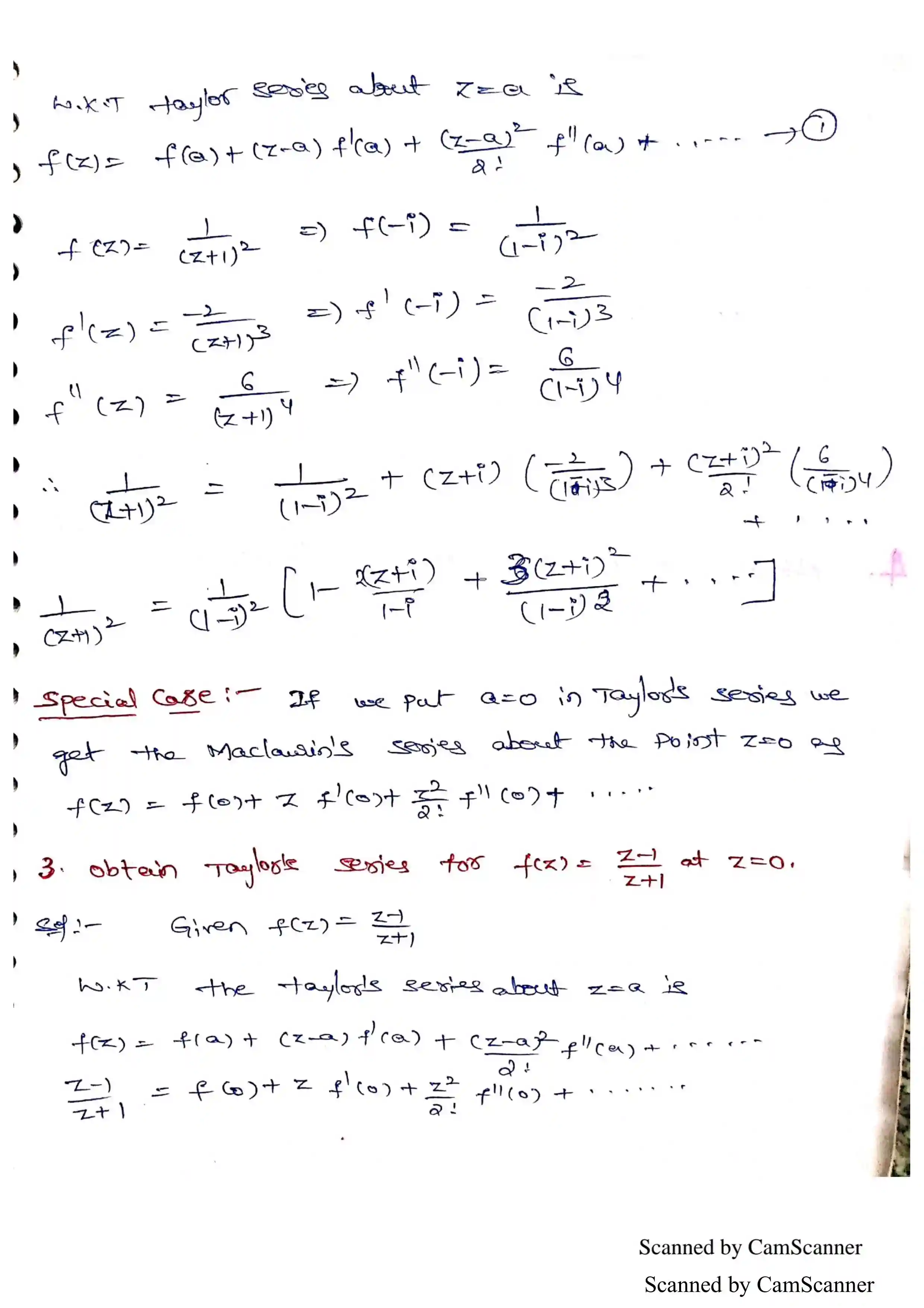
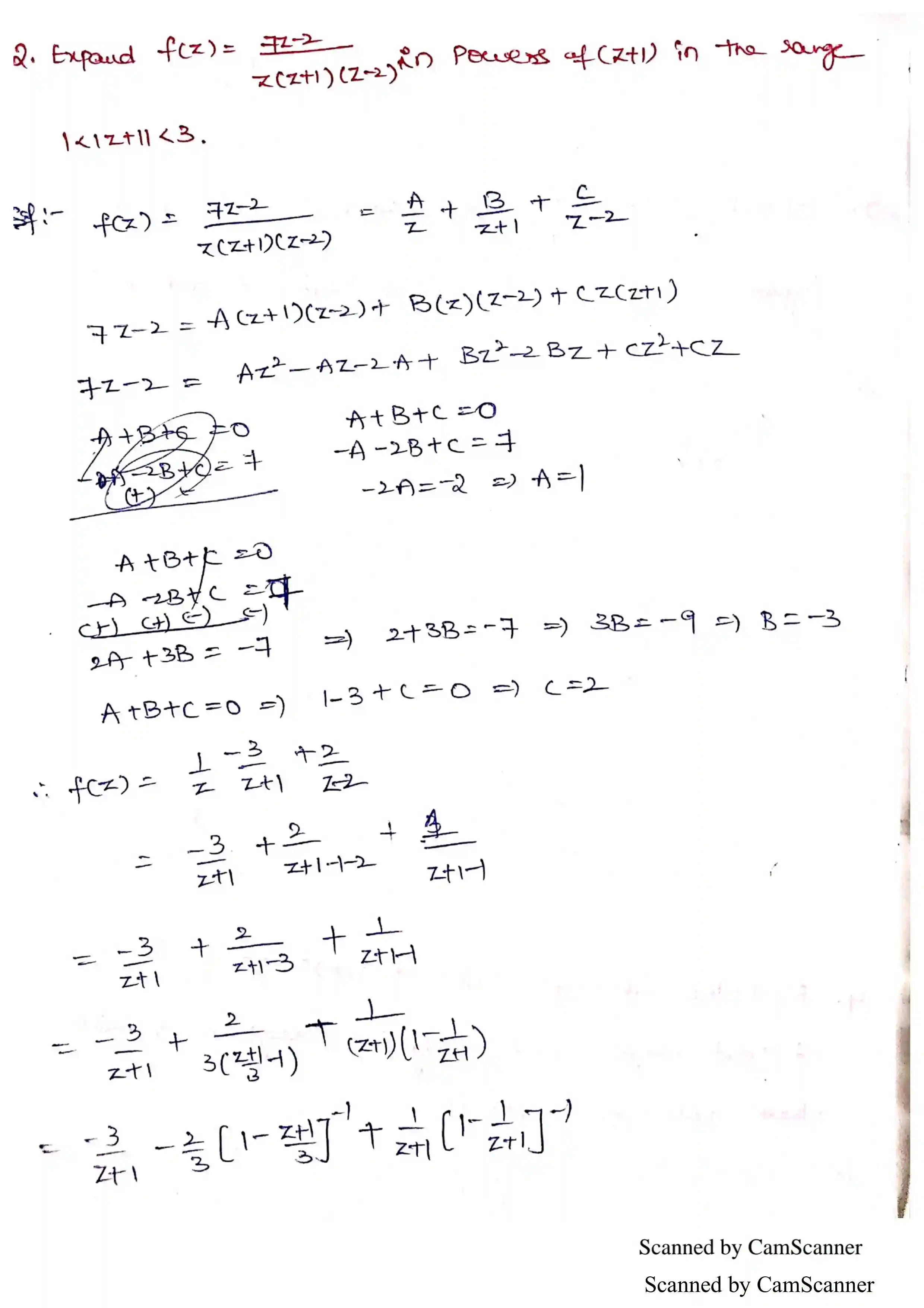
Complex Power Series

ENGINEERING → Computers Science And Engineering → Engineering Mathematics → Notes-1

Read handwritten PDF notes for Complex Power Series. This chapter contains 18 pages of handwritten study materials.

18 Total Pages
PDF Format
100% Free Access
logo