logo
Digital Notes

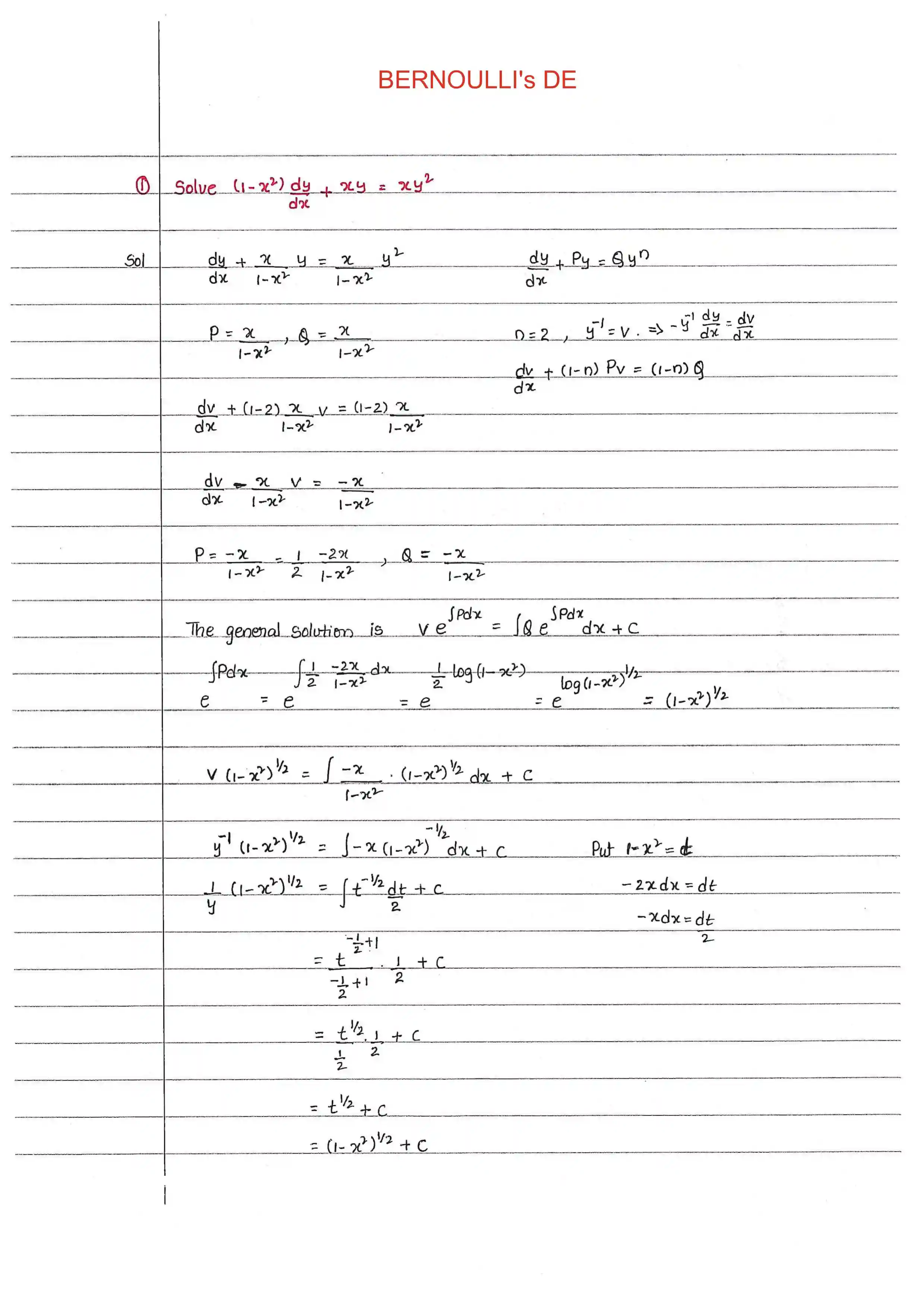
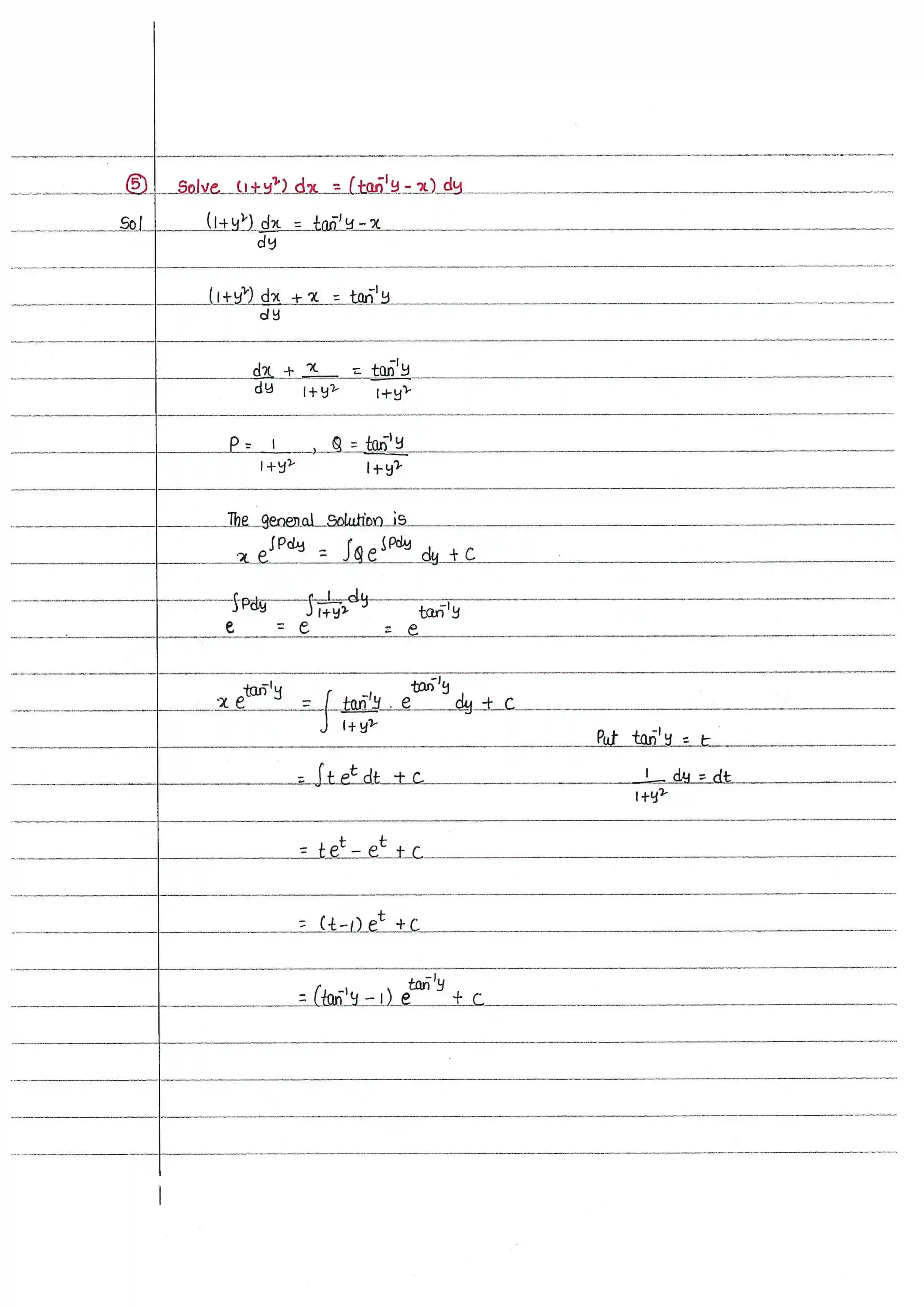
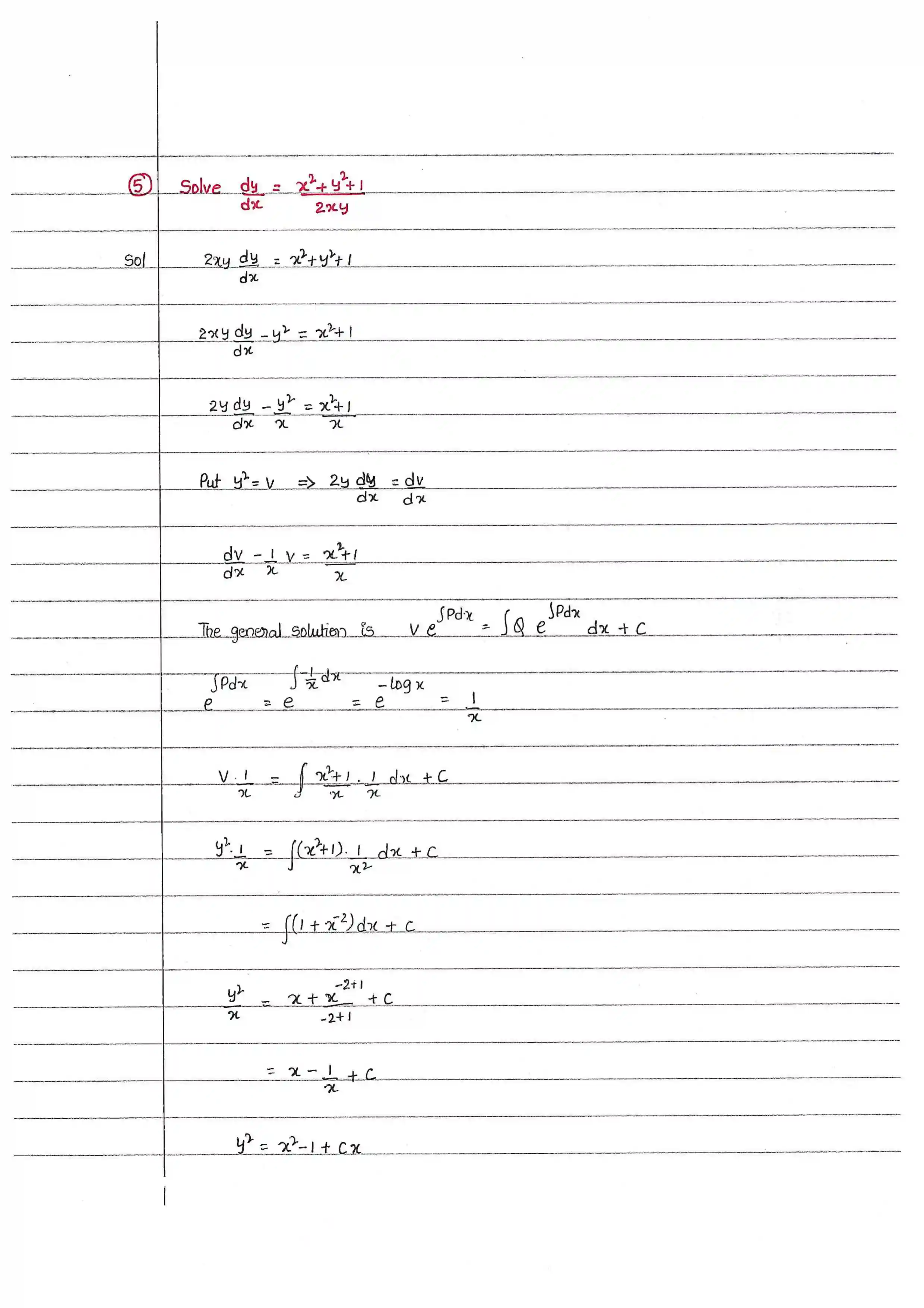
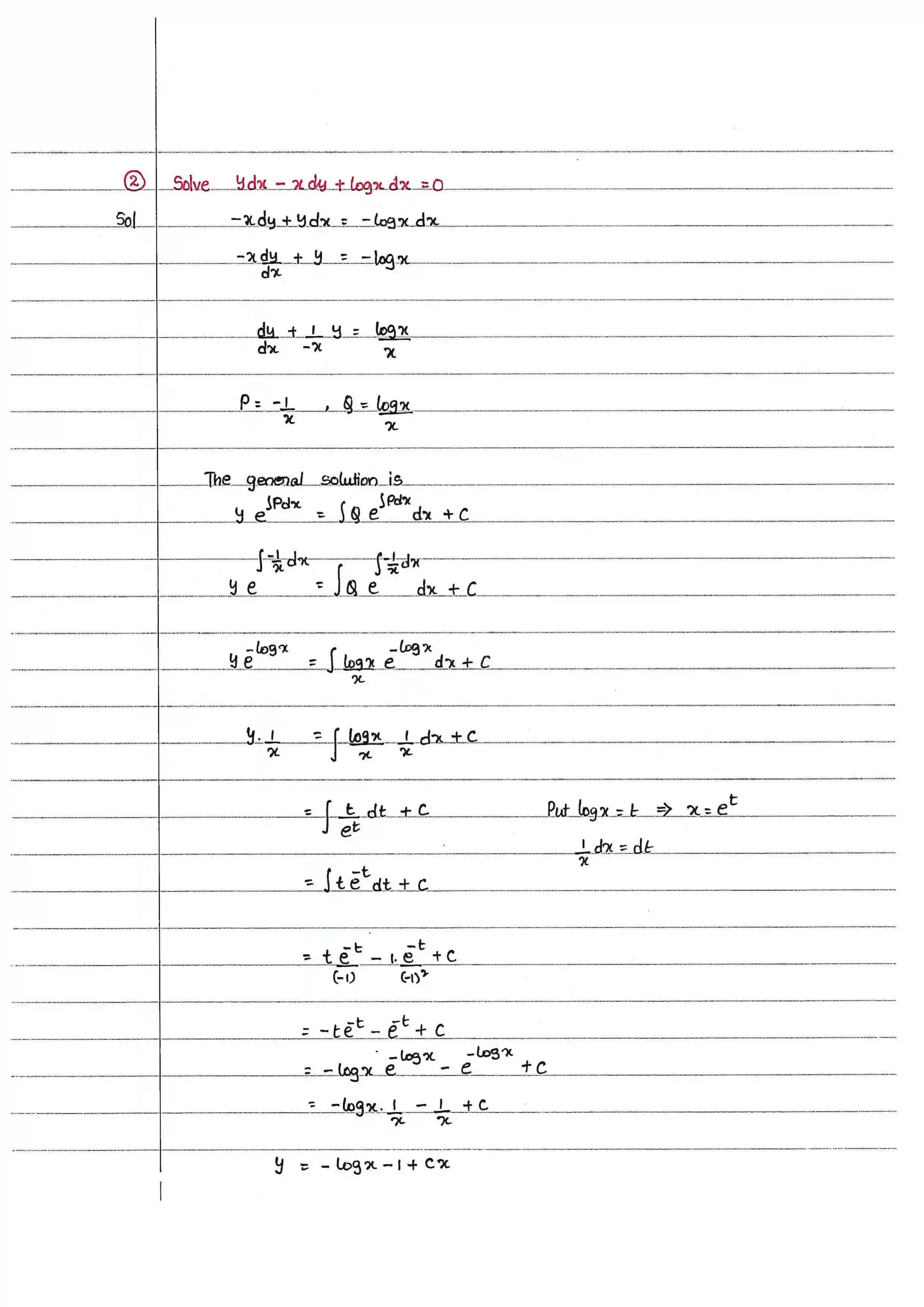
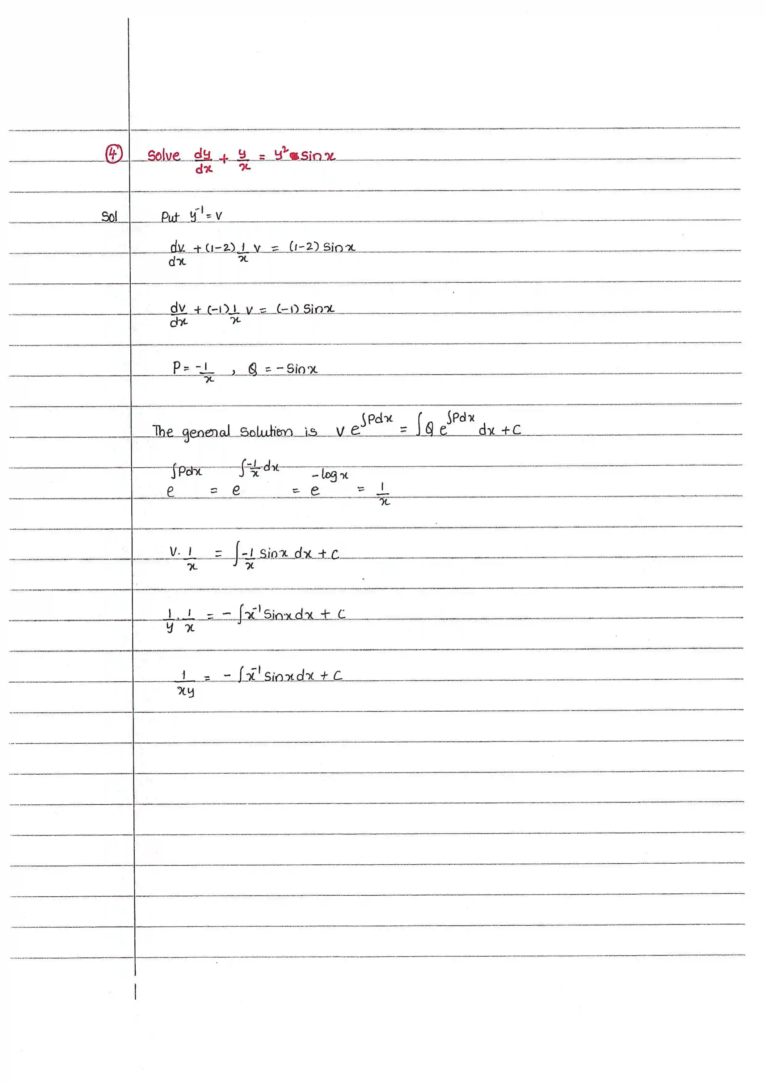
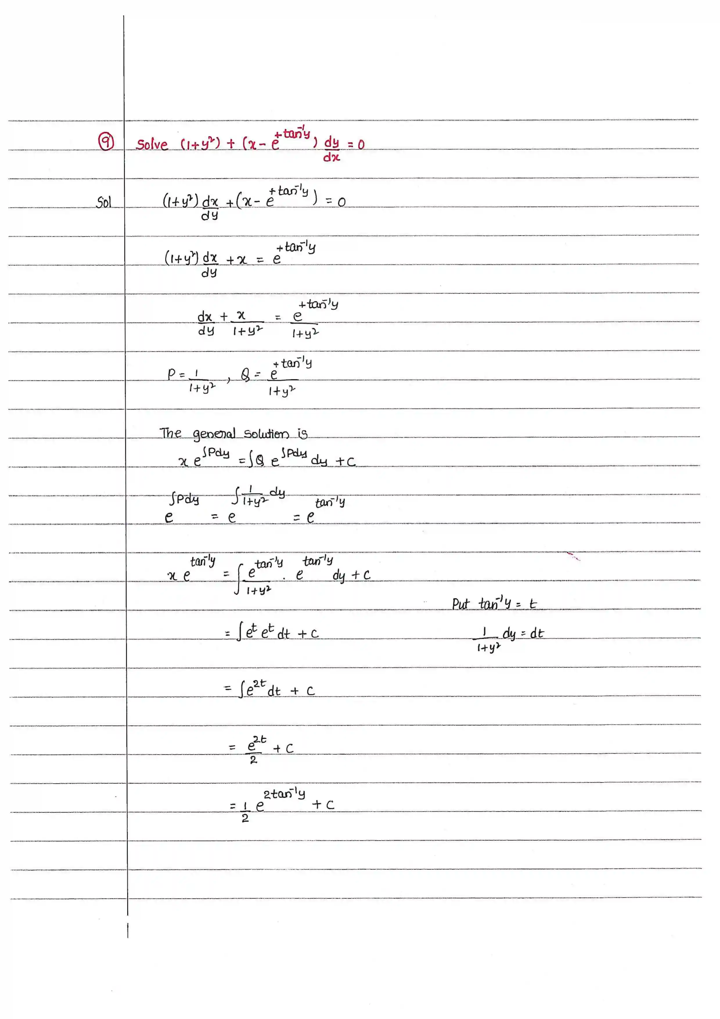
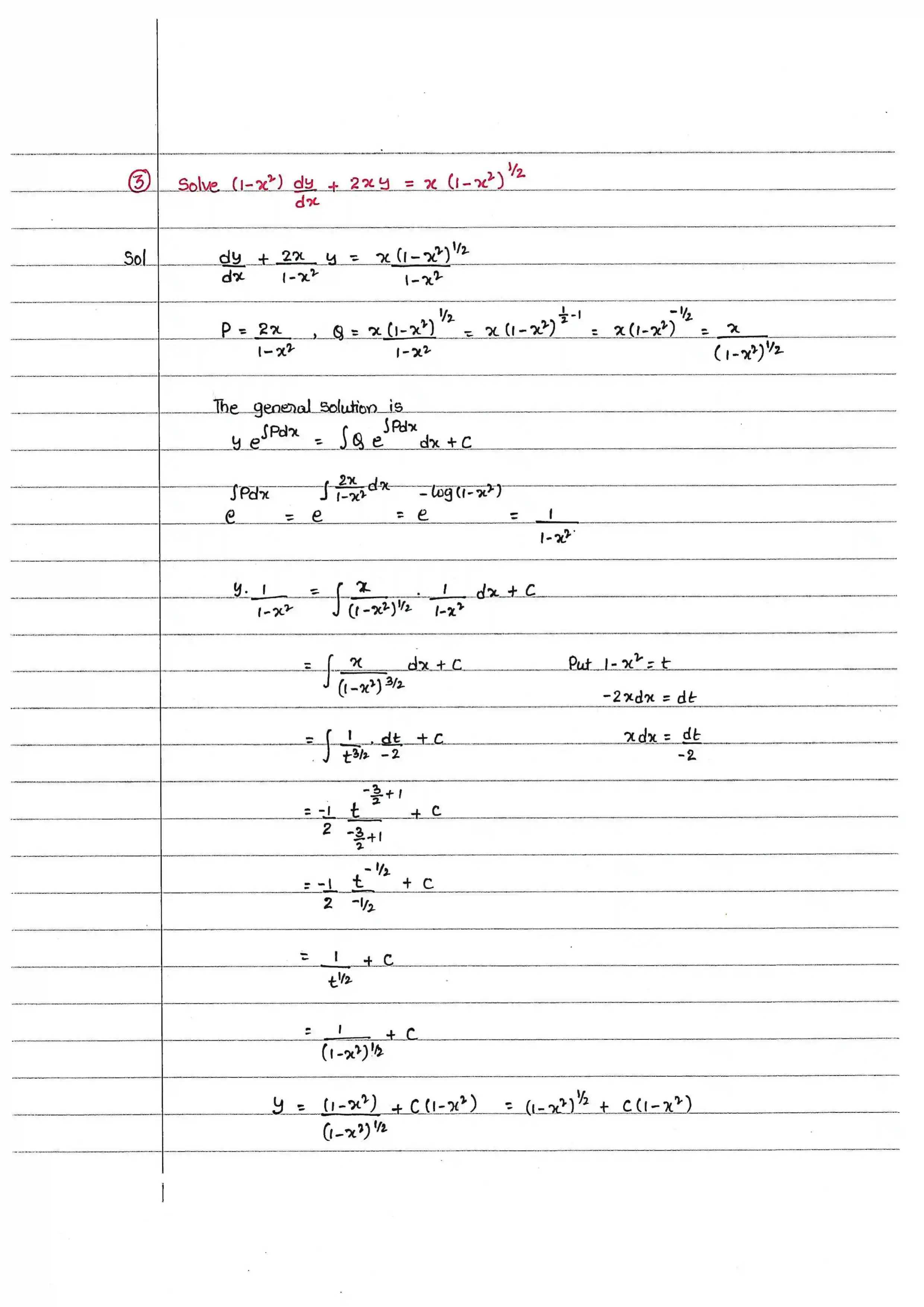
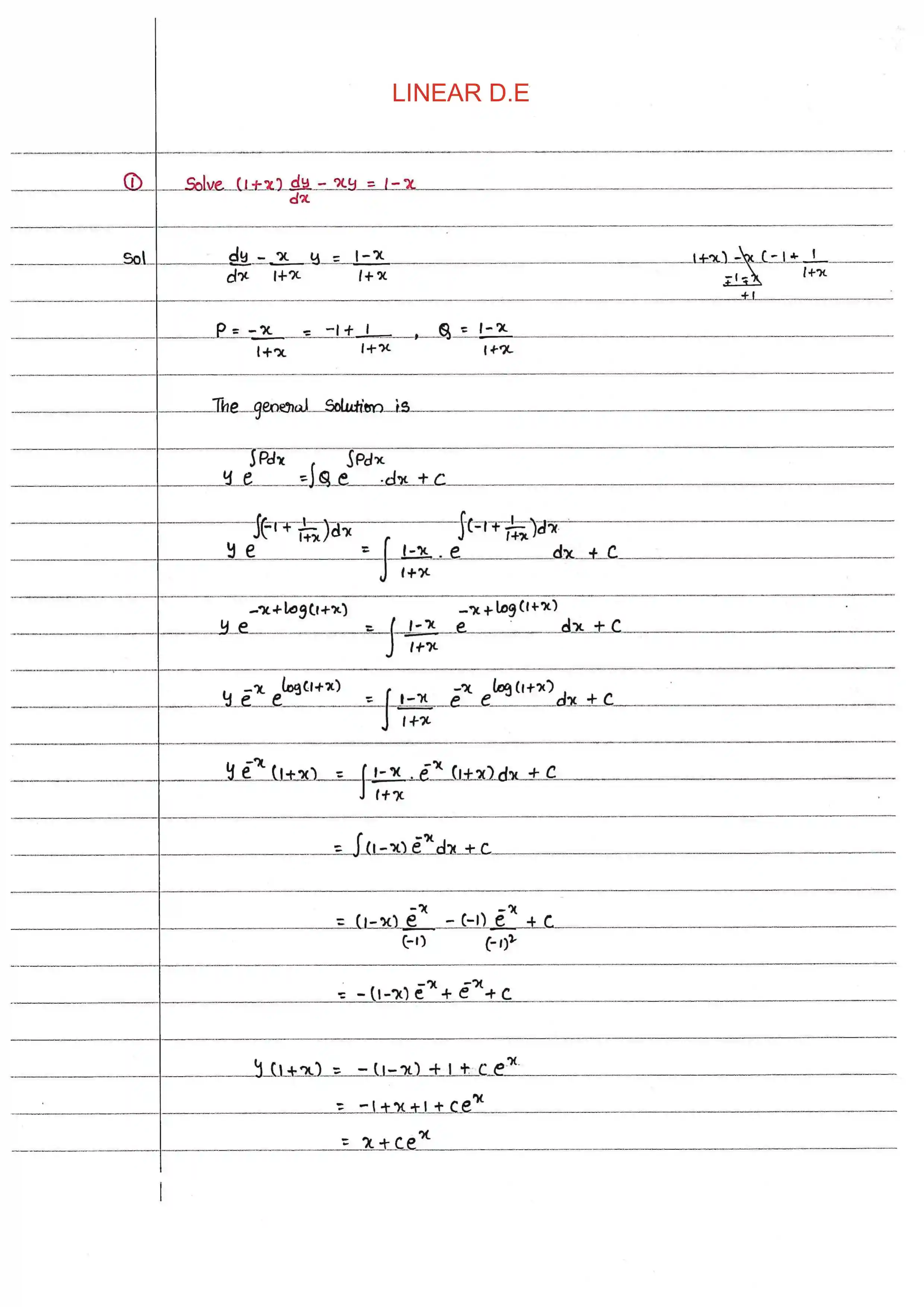
Linear And Bernoulli's Differential Equations

ENGINEERING → Computers Science And Engineering → Engineering Mathematics → Notes-1

Read handwritten PDF notes for Linear And Bernoulli's Differential Equations. This chapter contains 17 pages of handwritten study materials.

17 Total Pages
PDF Format
100% Free Access
logo