logo
Digital Notes

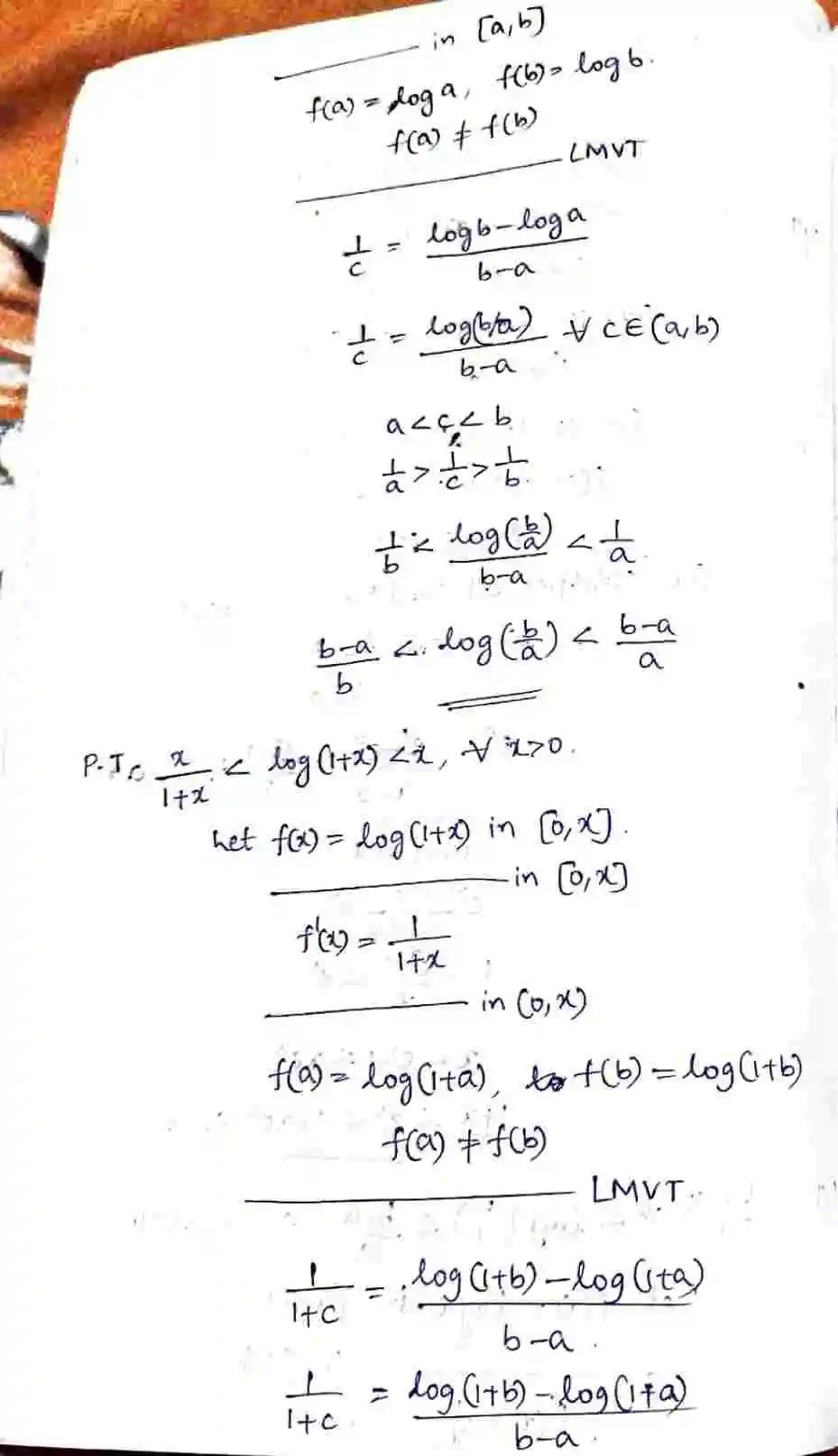
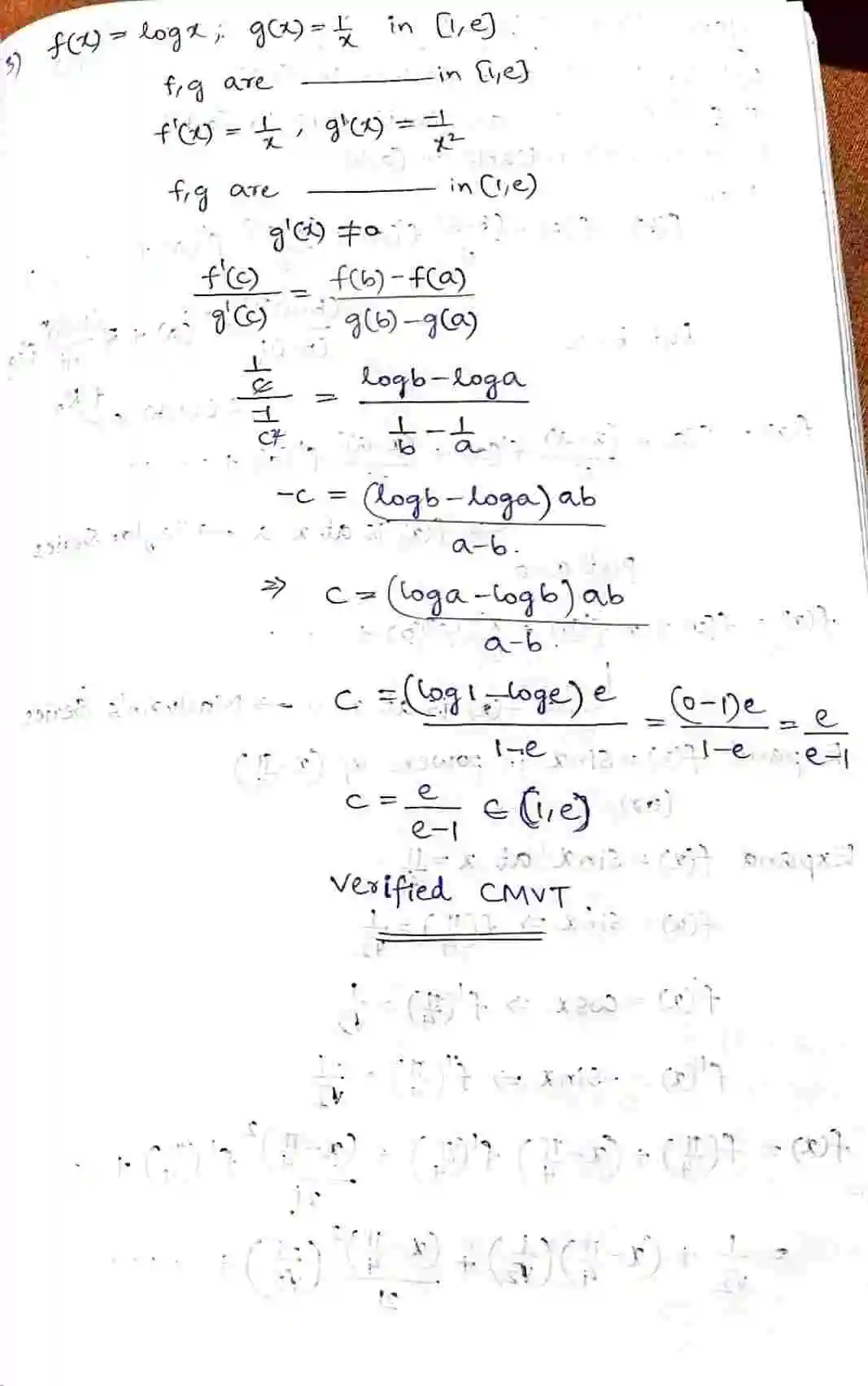
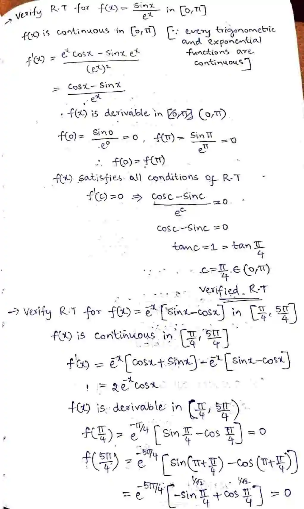
Differential Calculus

ENGINEERING → Computers Science And Engineering → Engineering Mathematics → Notes-1

Read handwritten PDF notes for Differential Calculus. This chapter contains 28 pages of handwritten study materials.

28 Total Pages
PDF Format
100% Free Access
logo