logo
Digital Notes

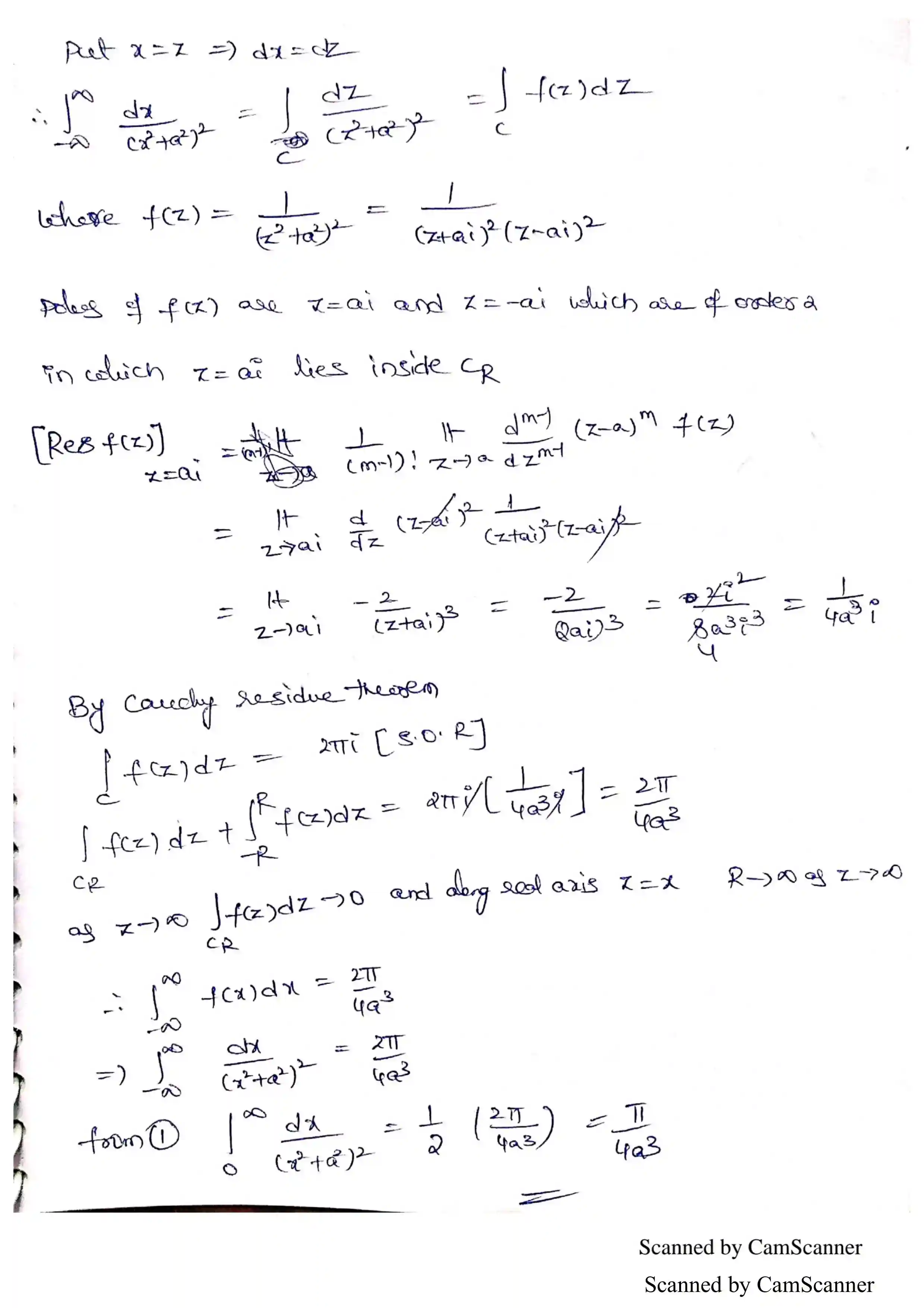
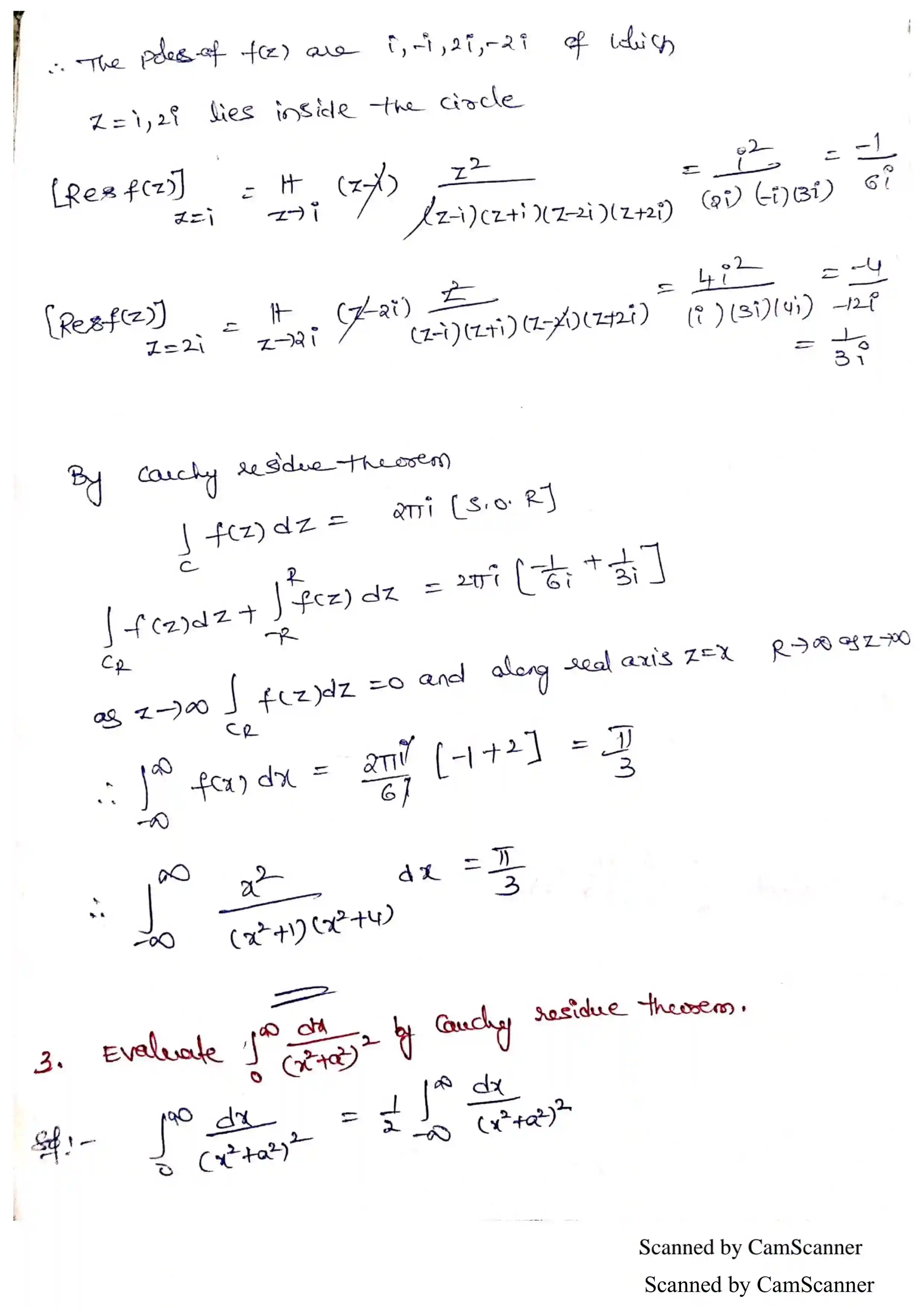
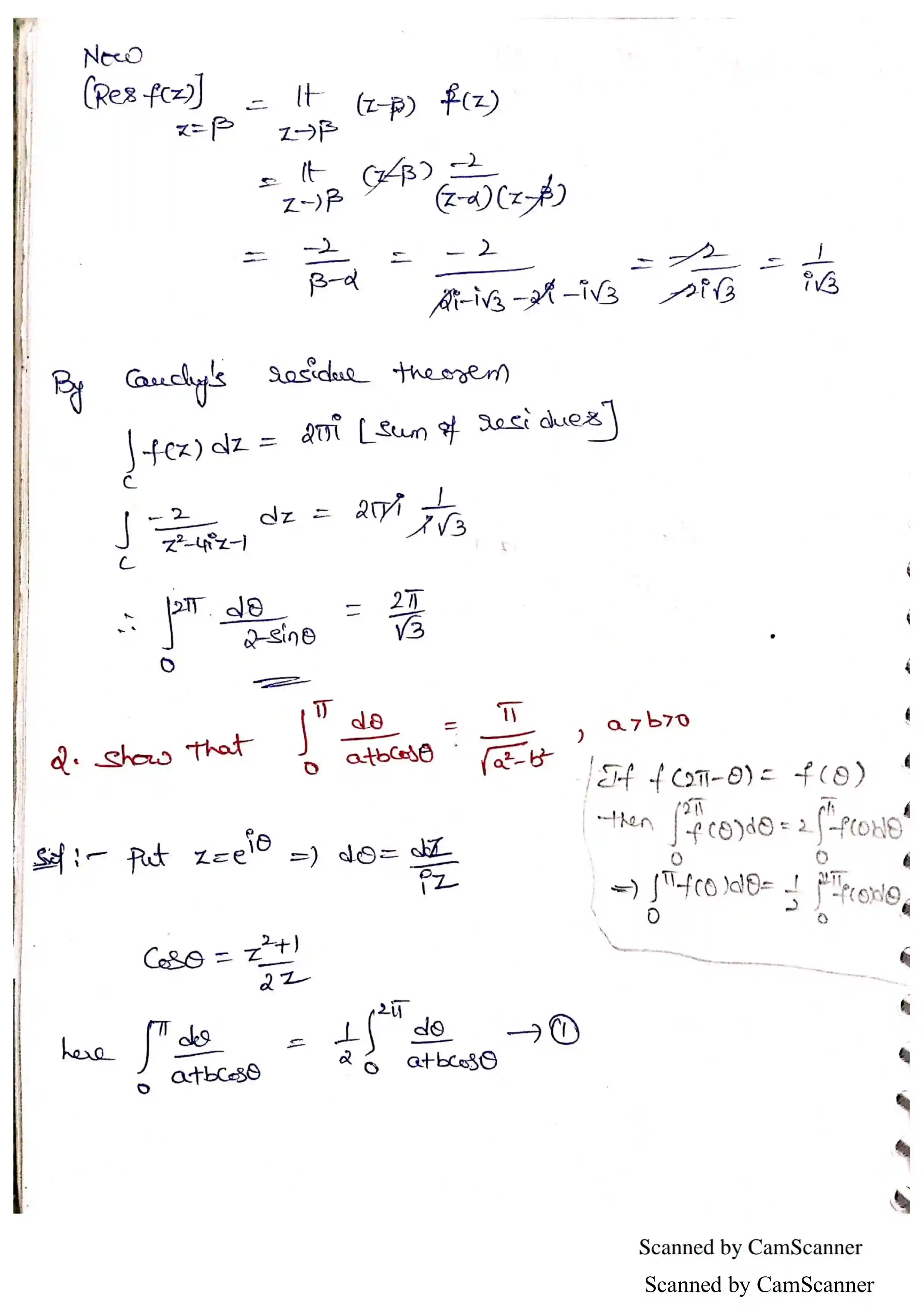
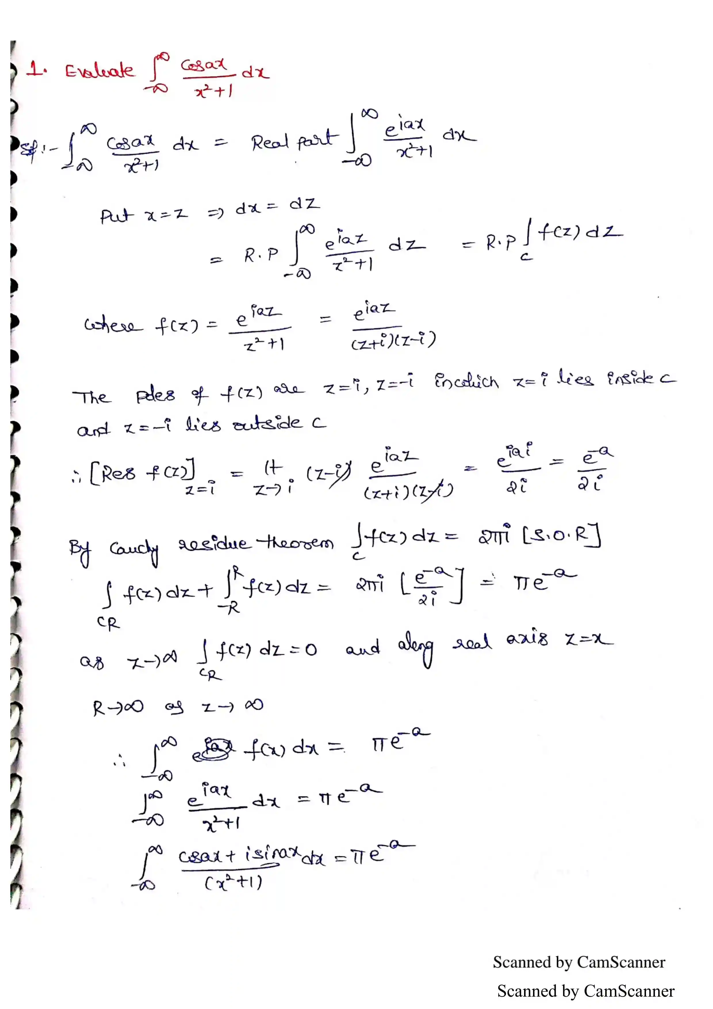
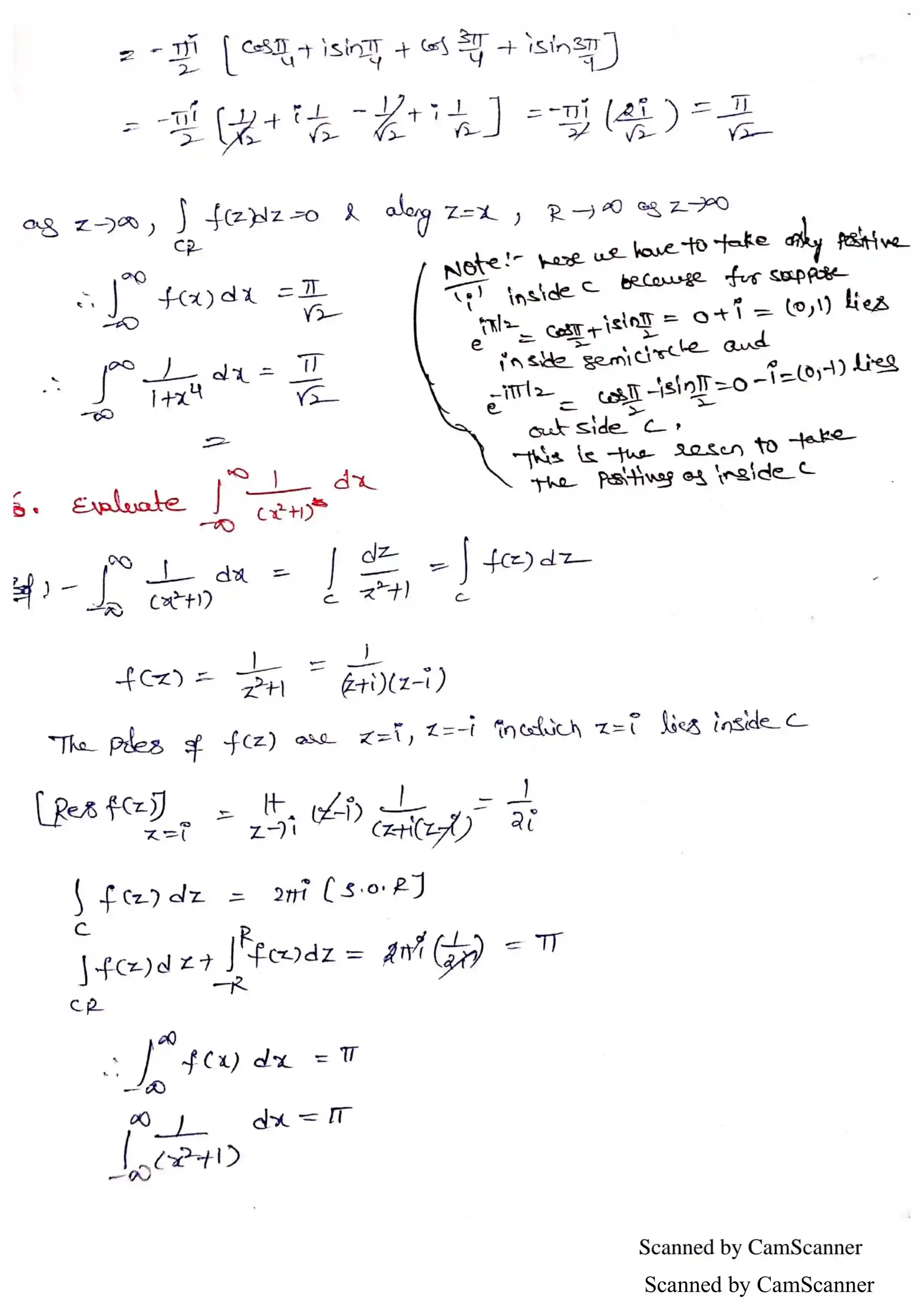
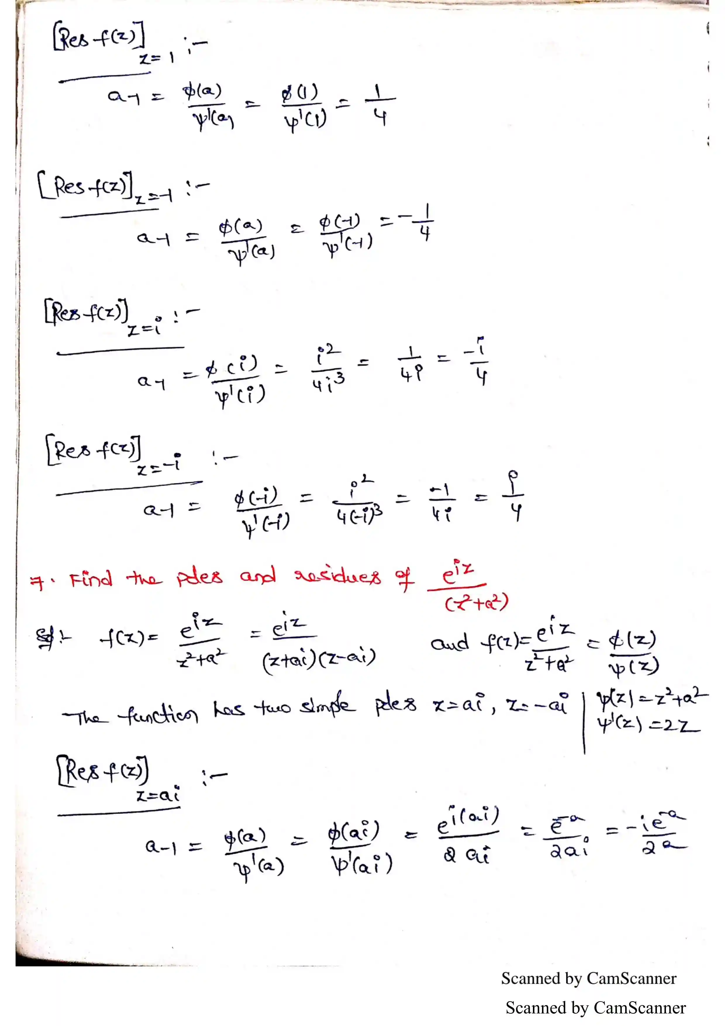
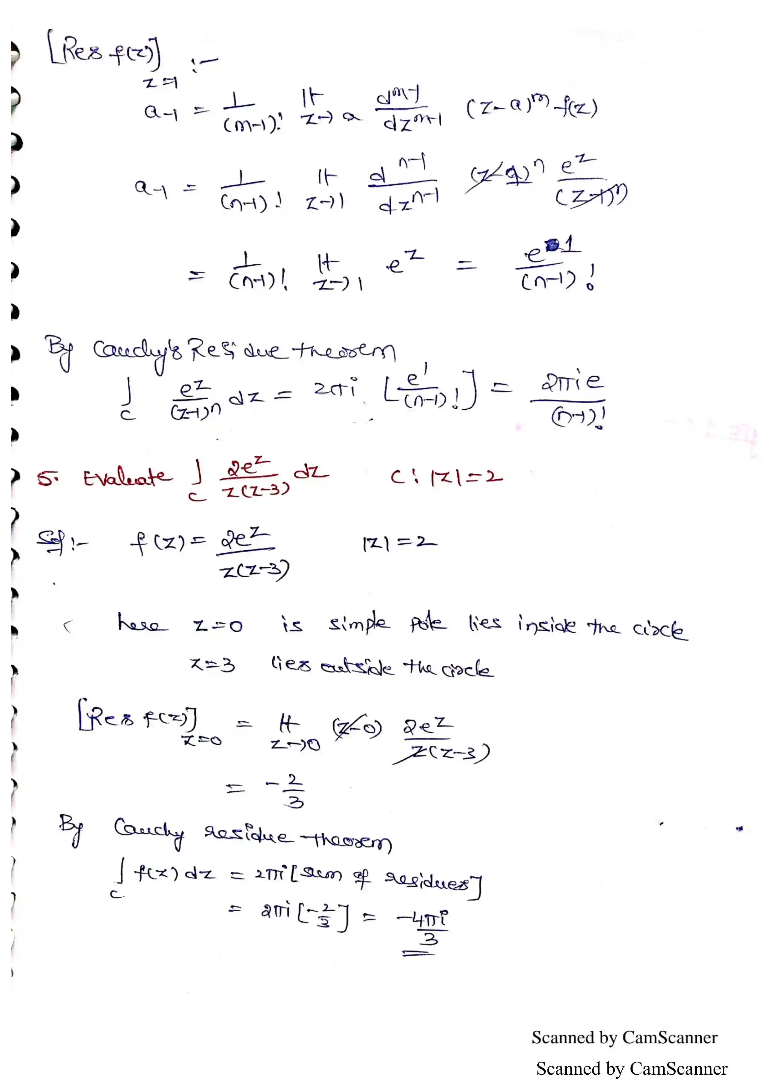
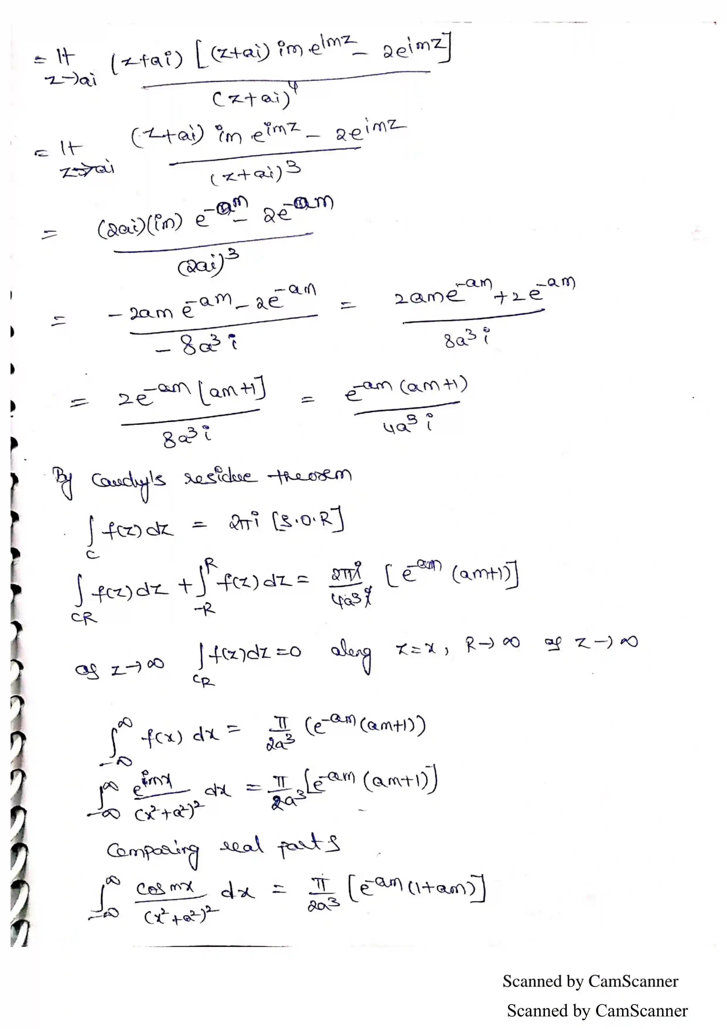
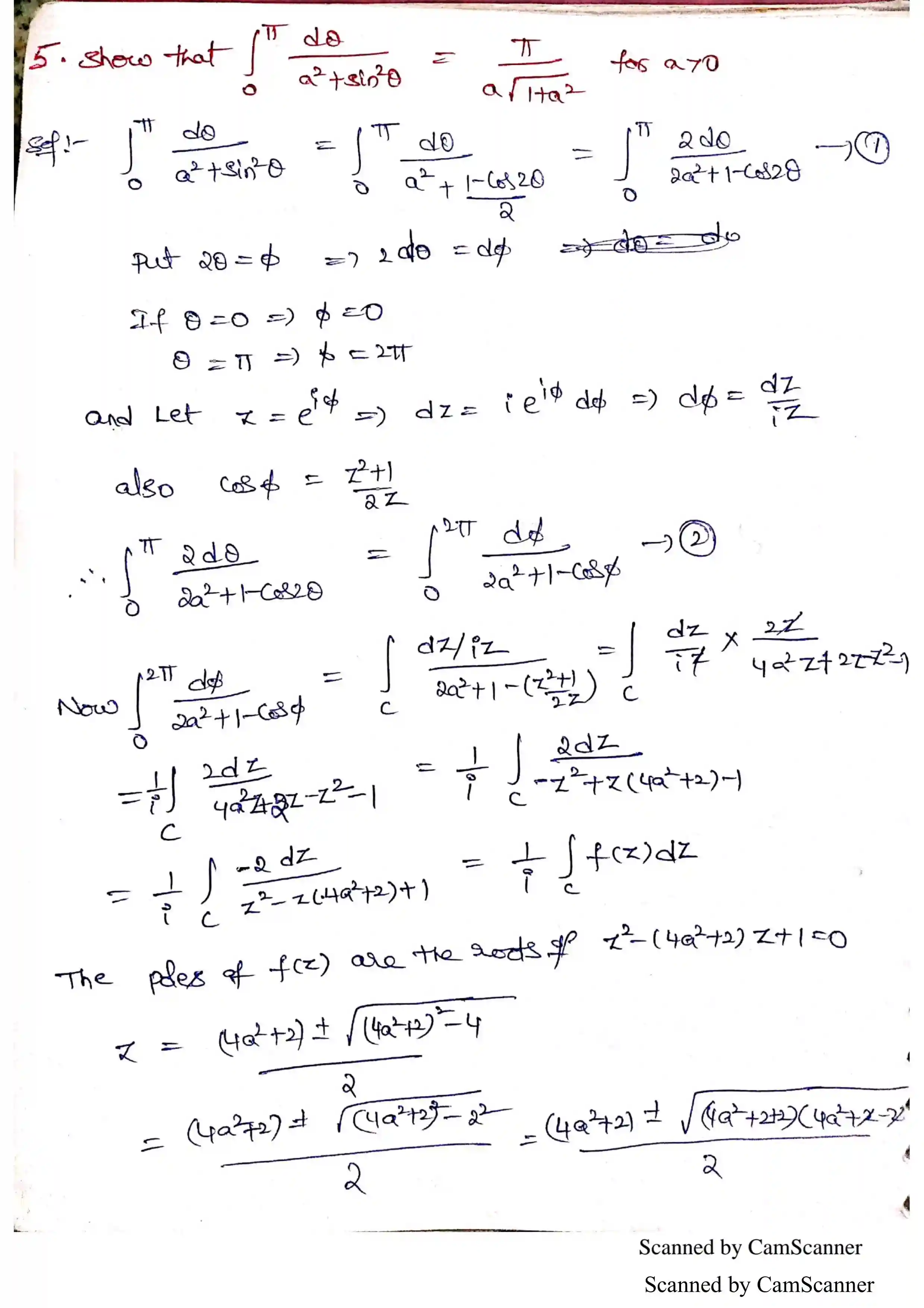
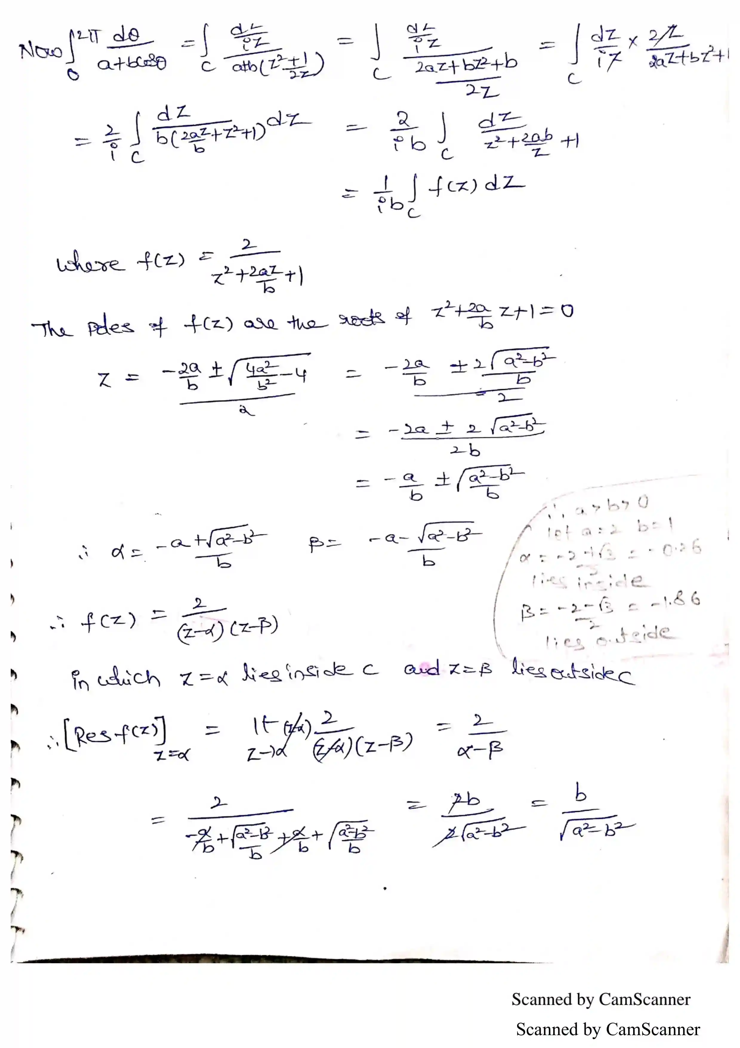
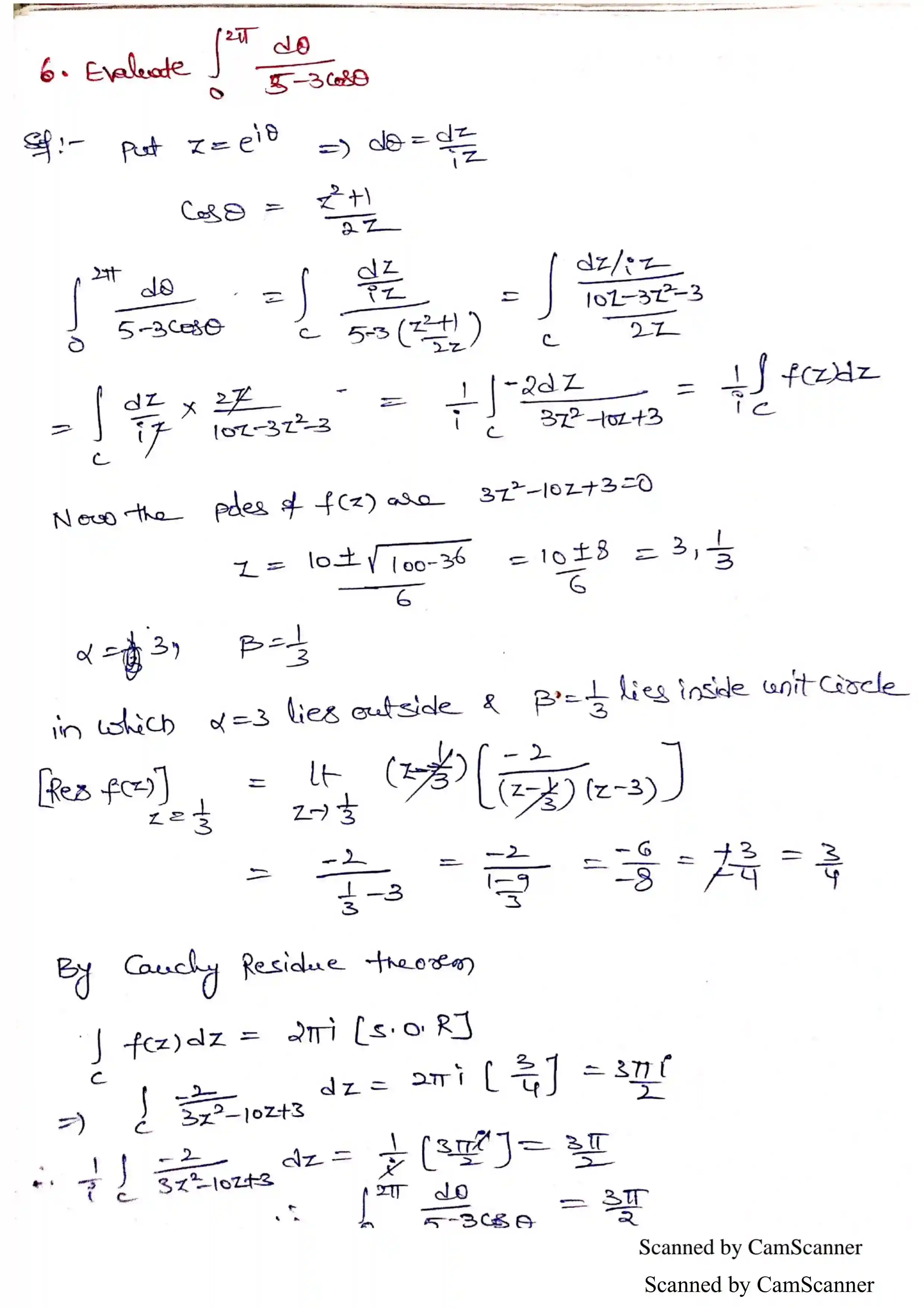
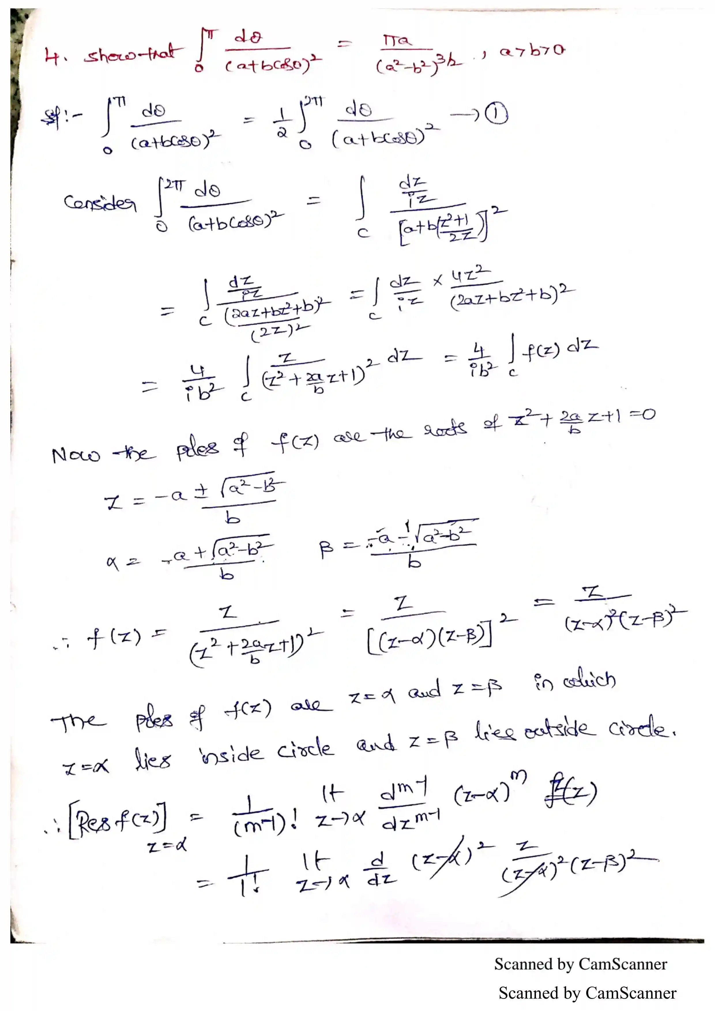
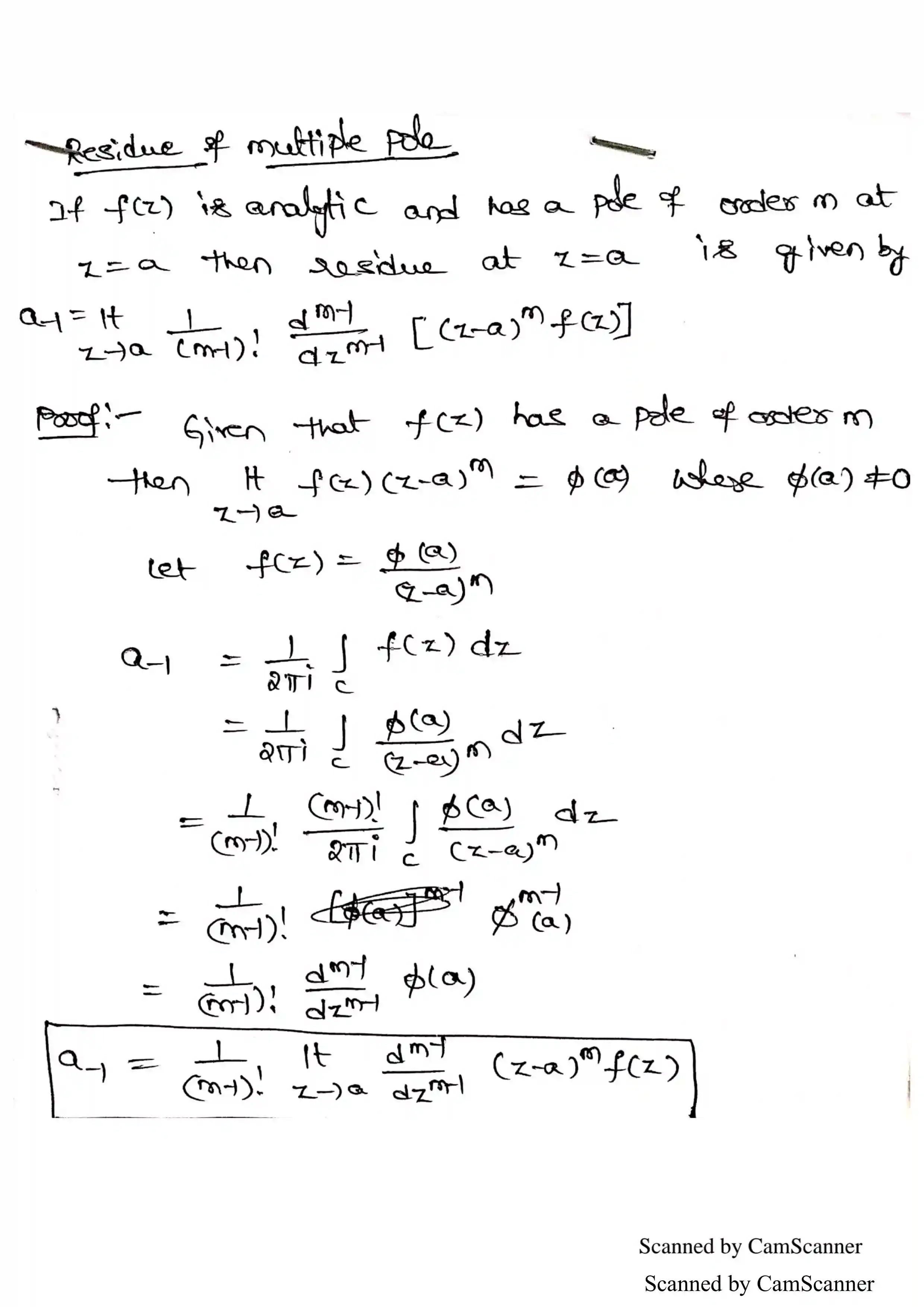
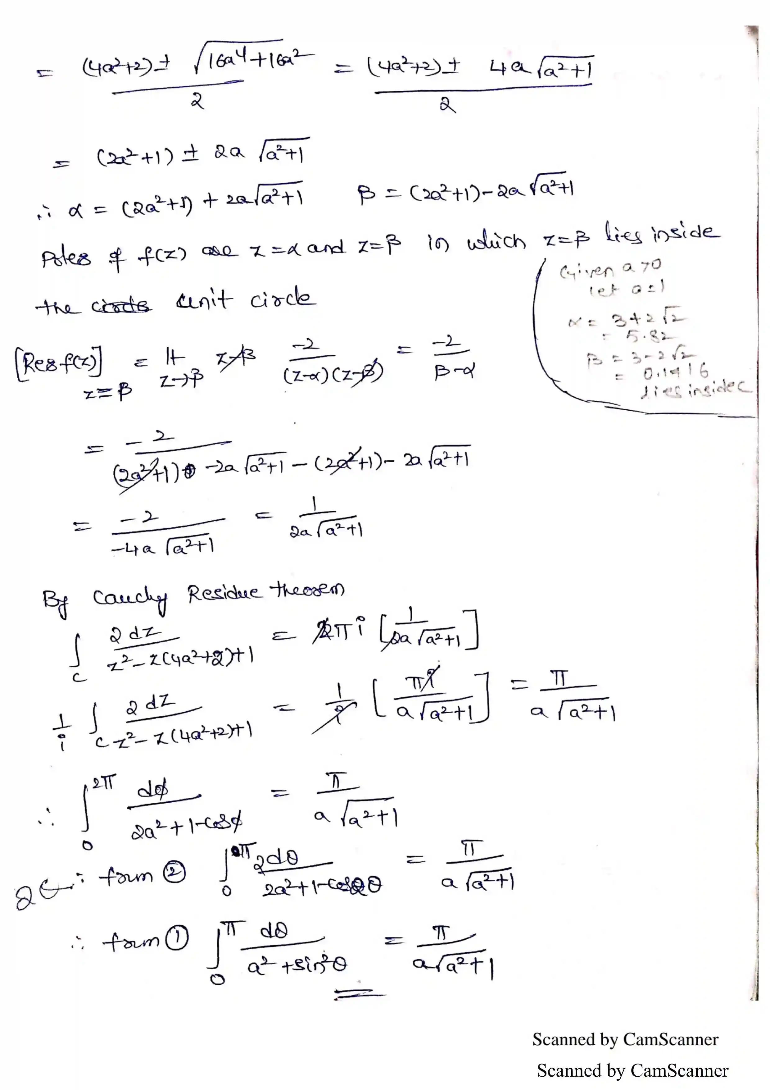
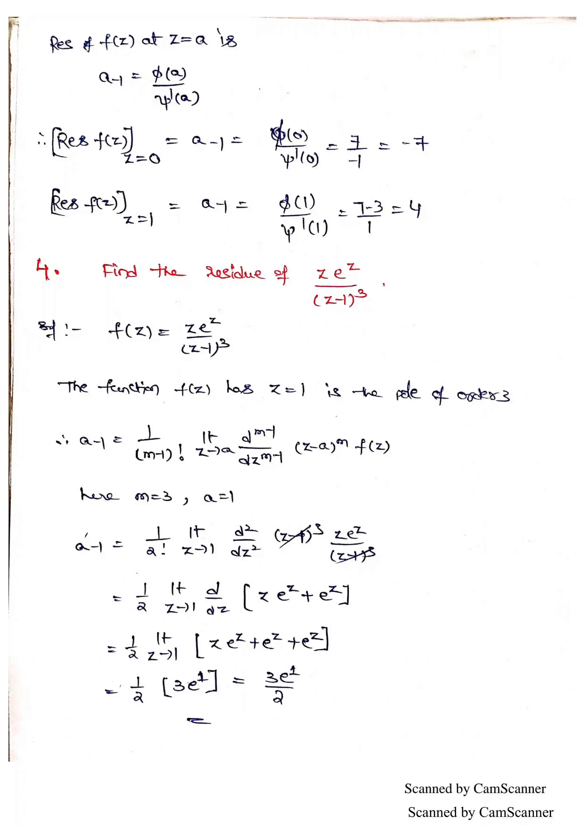
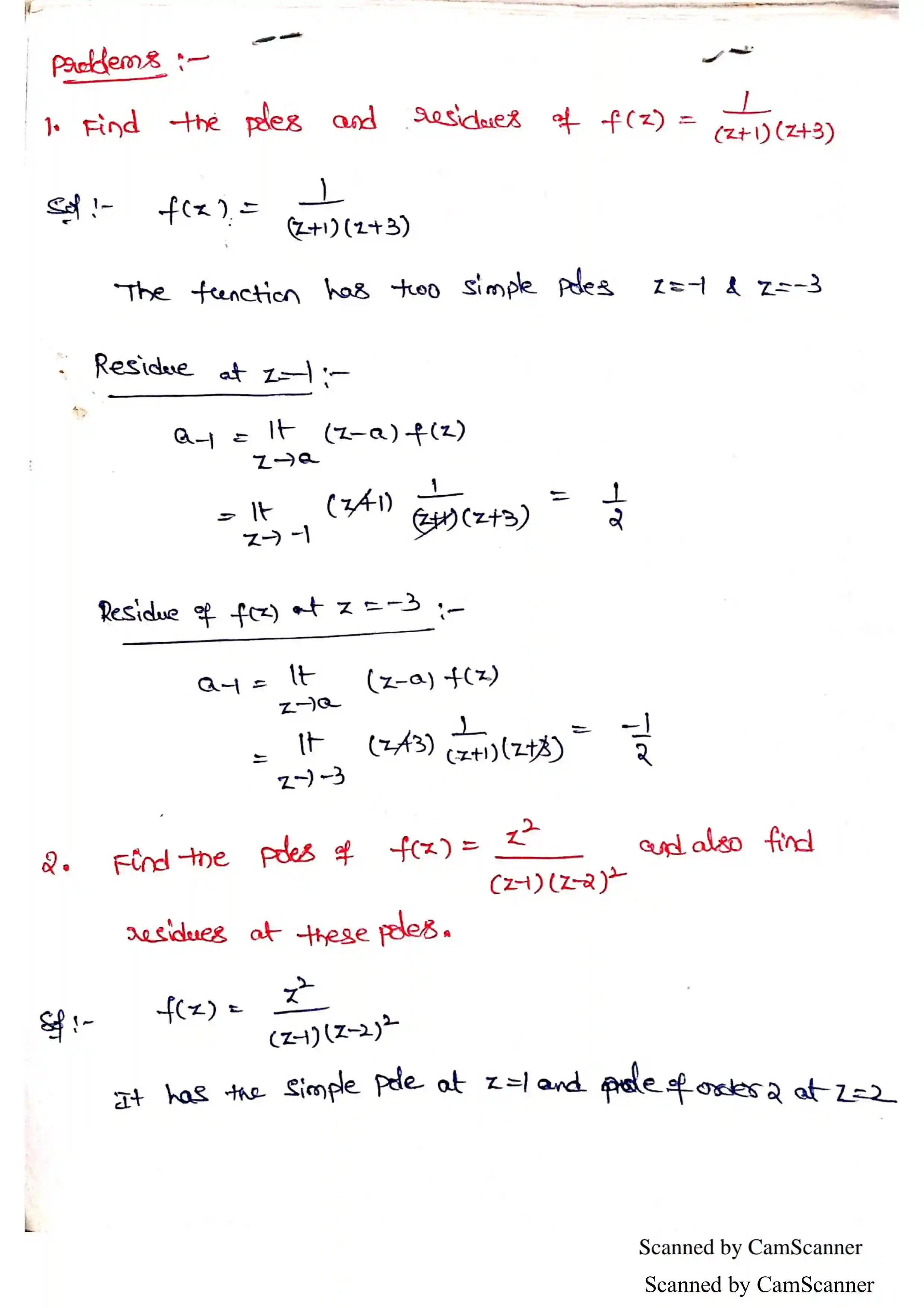
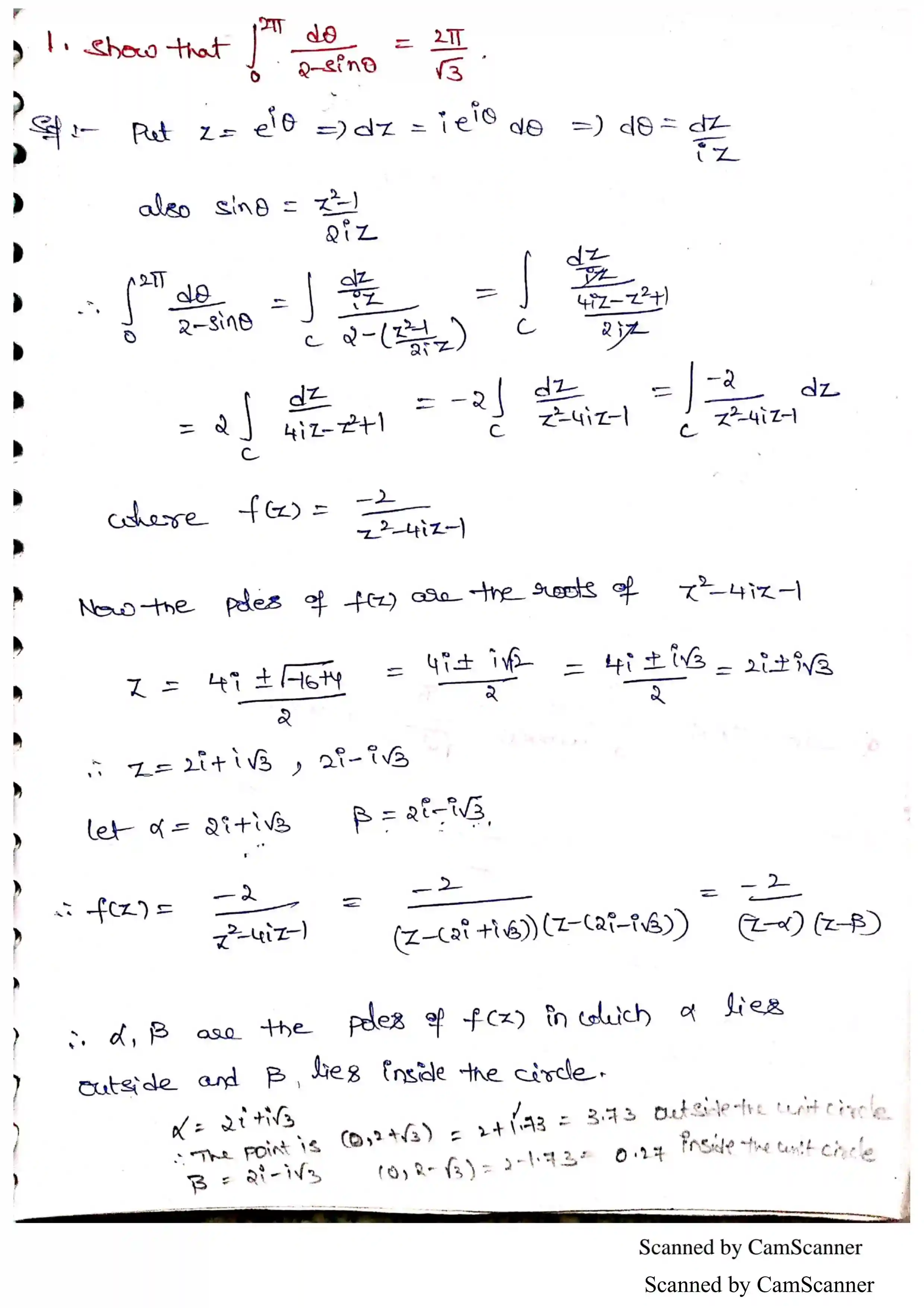
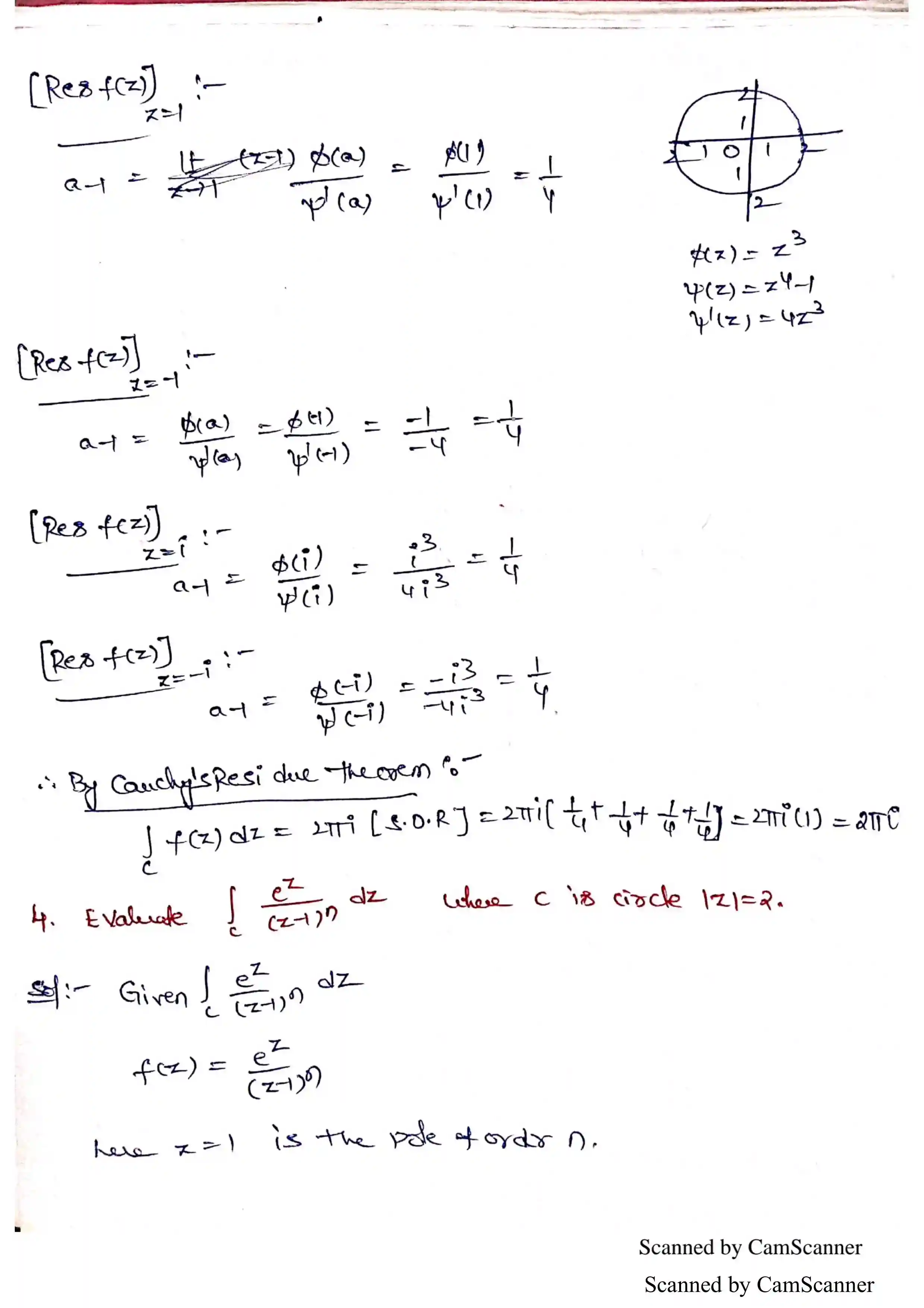
Calculus Of Residues

ENGINEERING → Computers Science And Engineering → Engineering Mathematics → Notes-1

Read handwritten PDF notes for Calculus Of Residues. This chapter contains 40 pages of handwritten study materials.

40 Total Pages
PDF Format
100% Free Access
logo