logo
Digital Notes

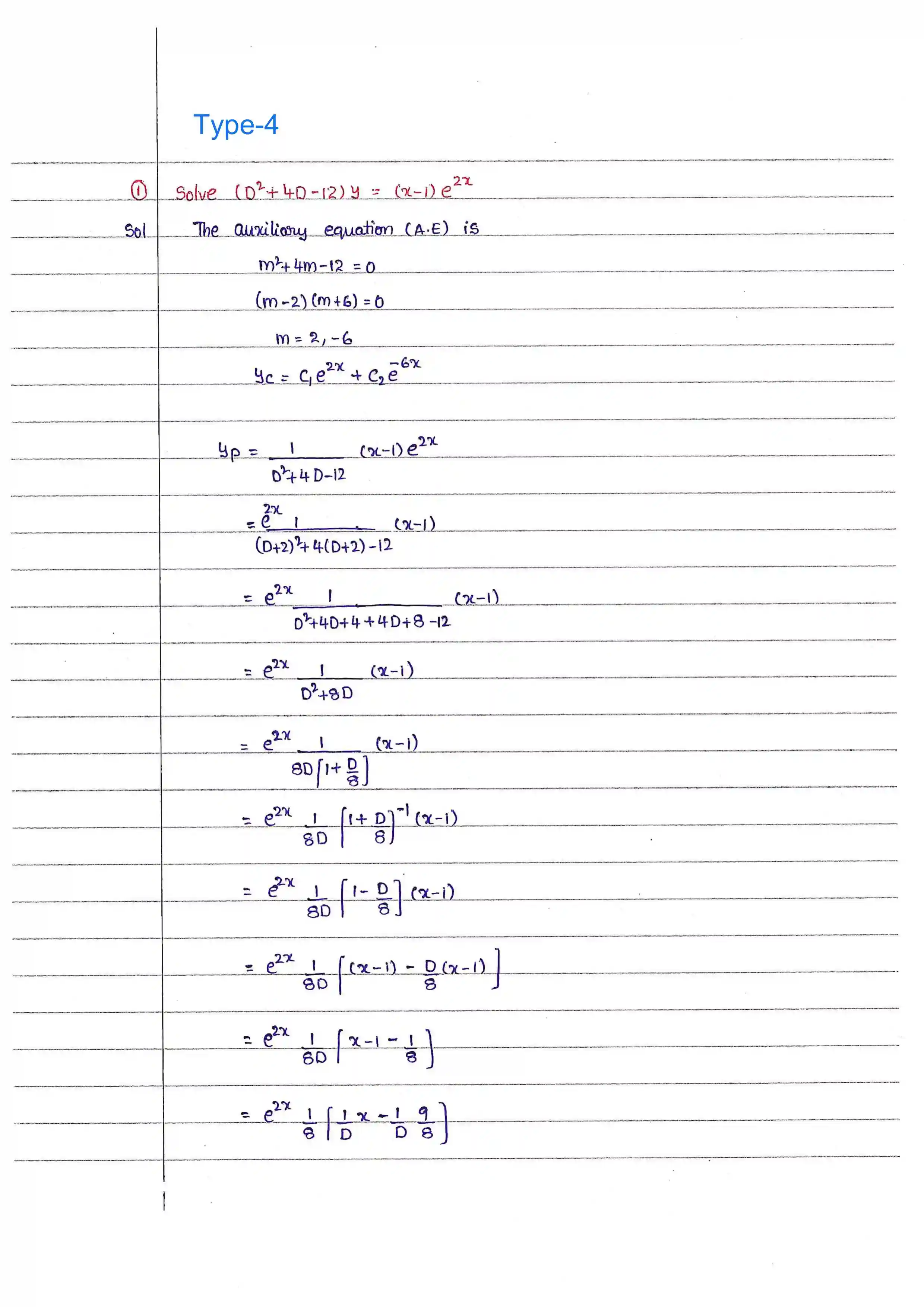
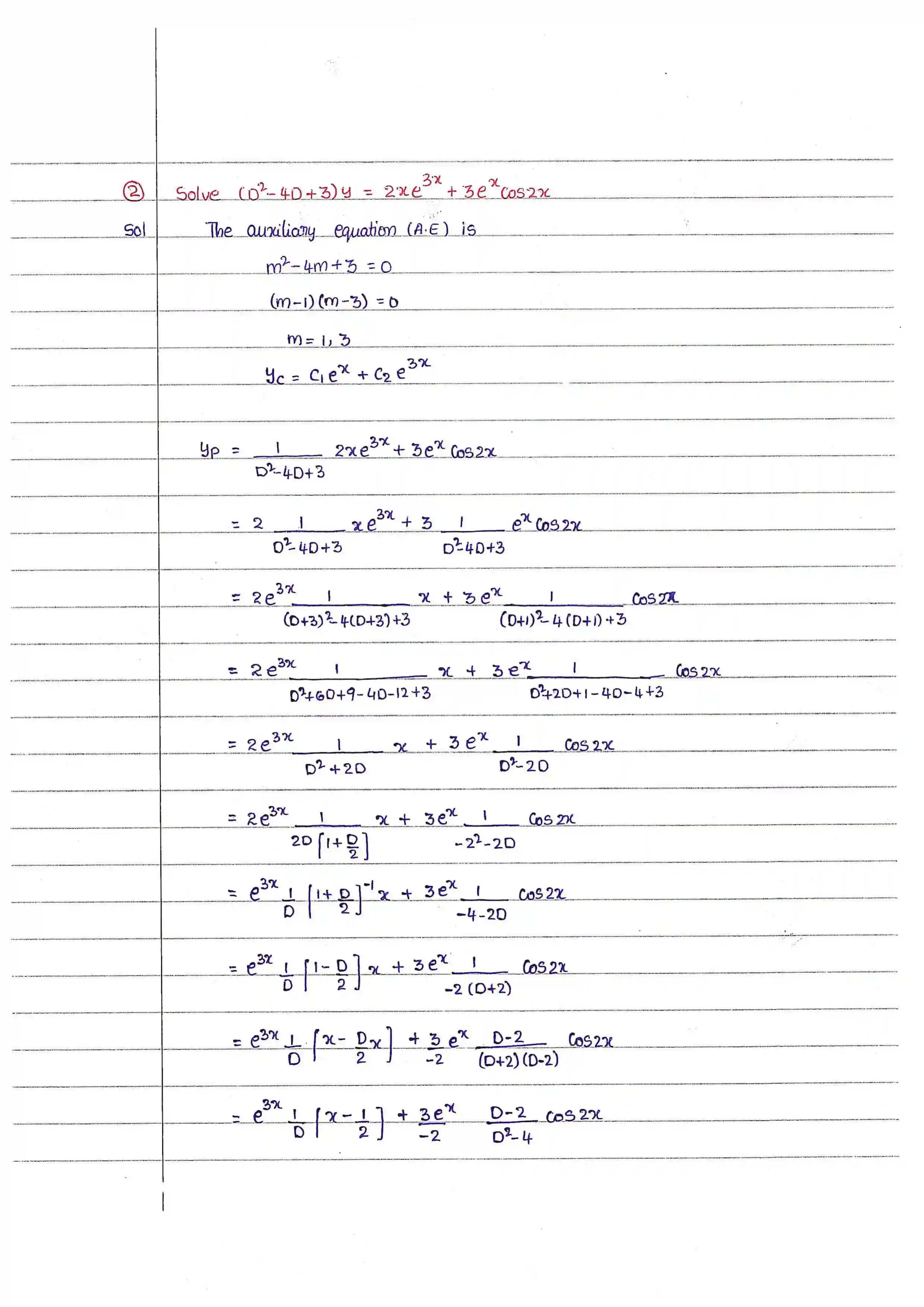
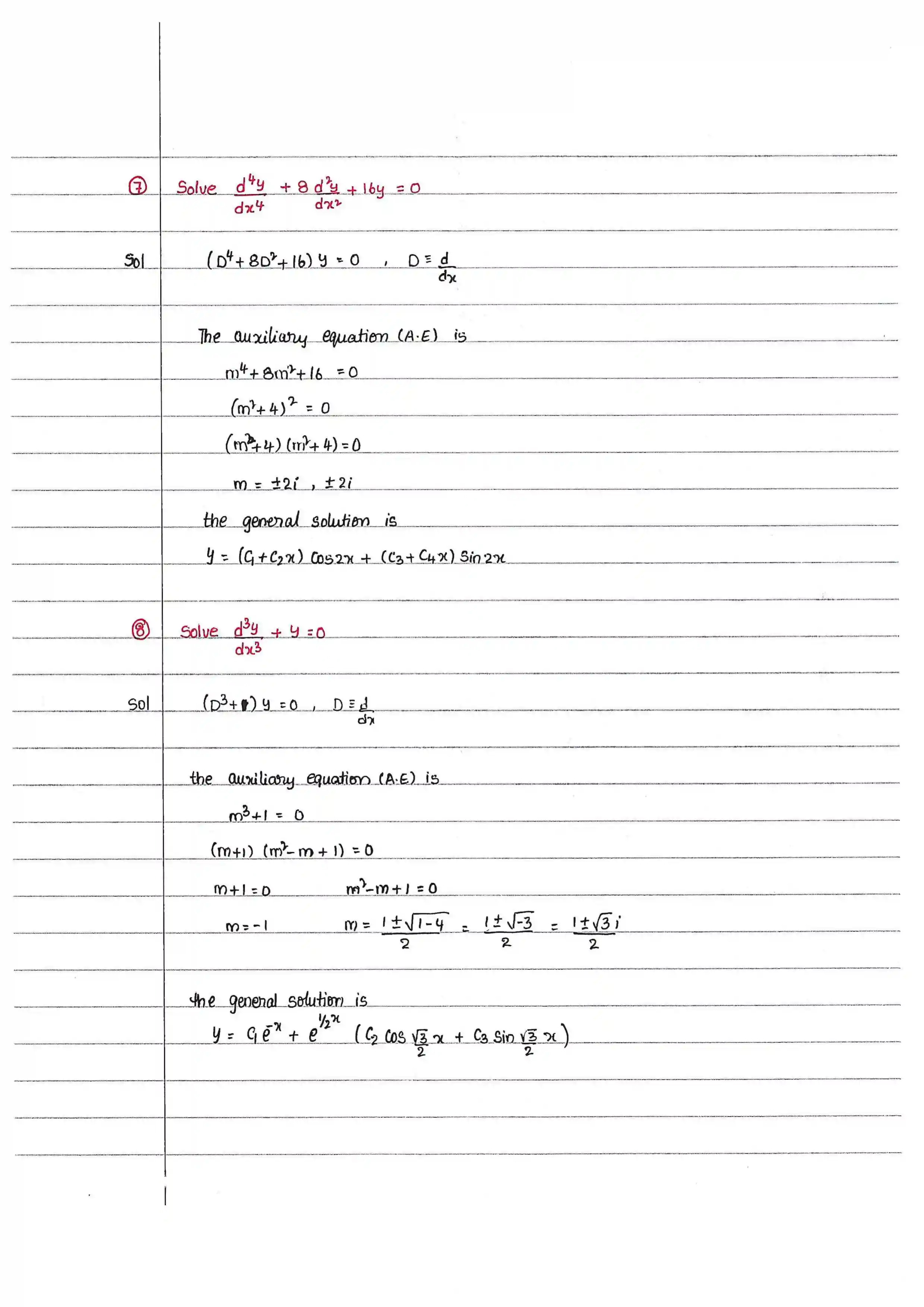
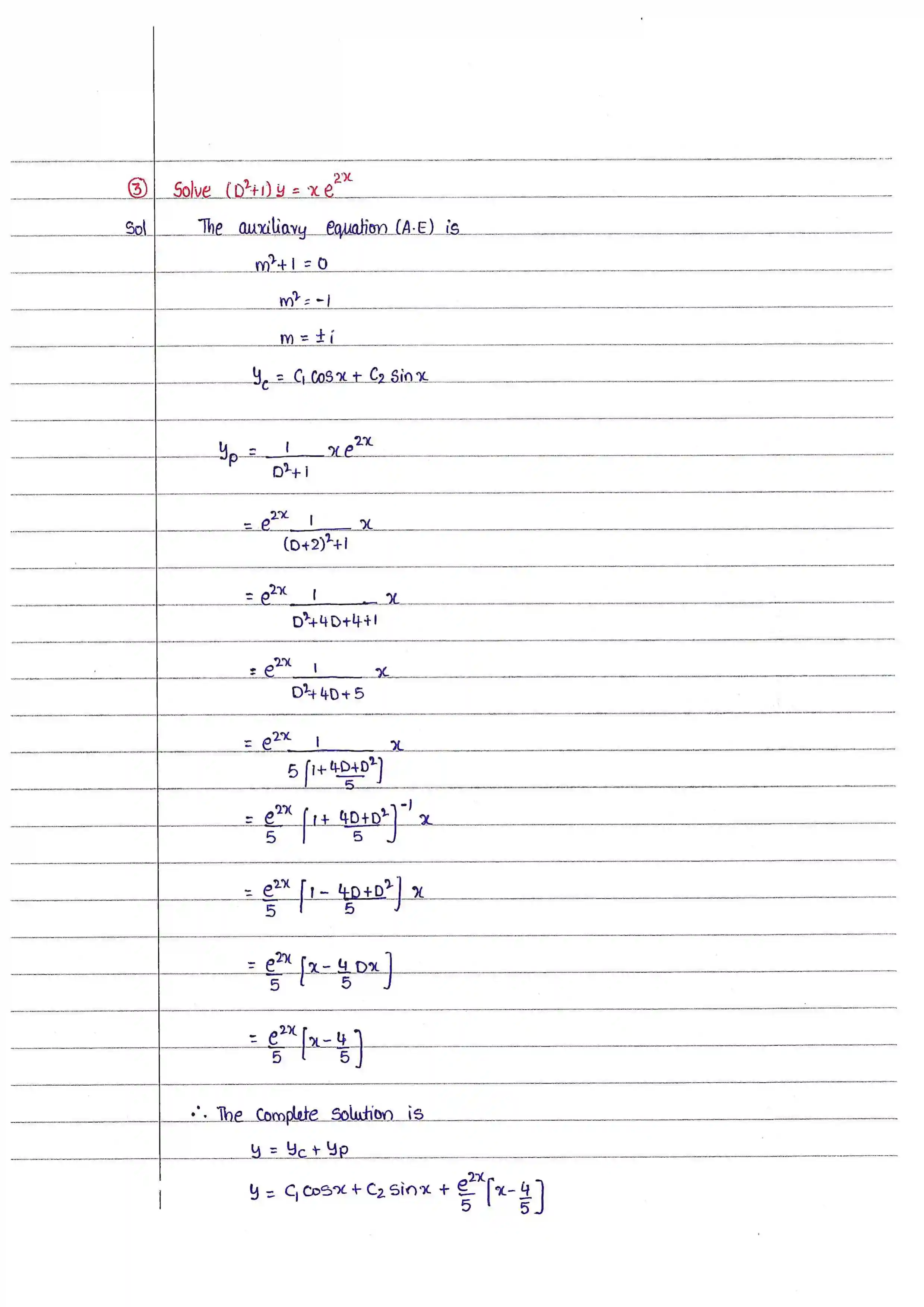
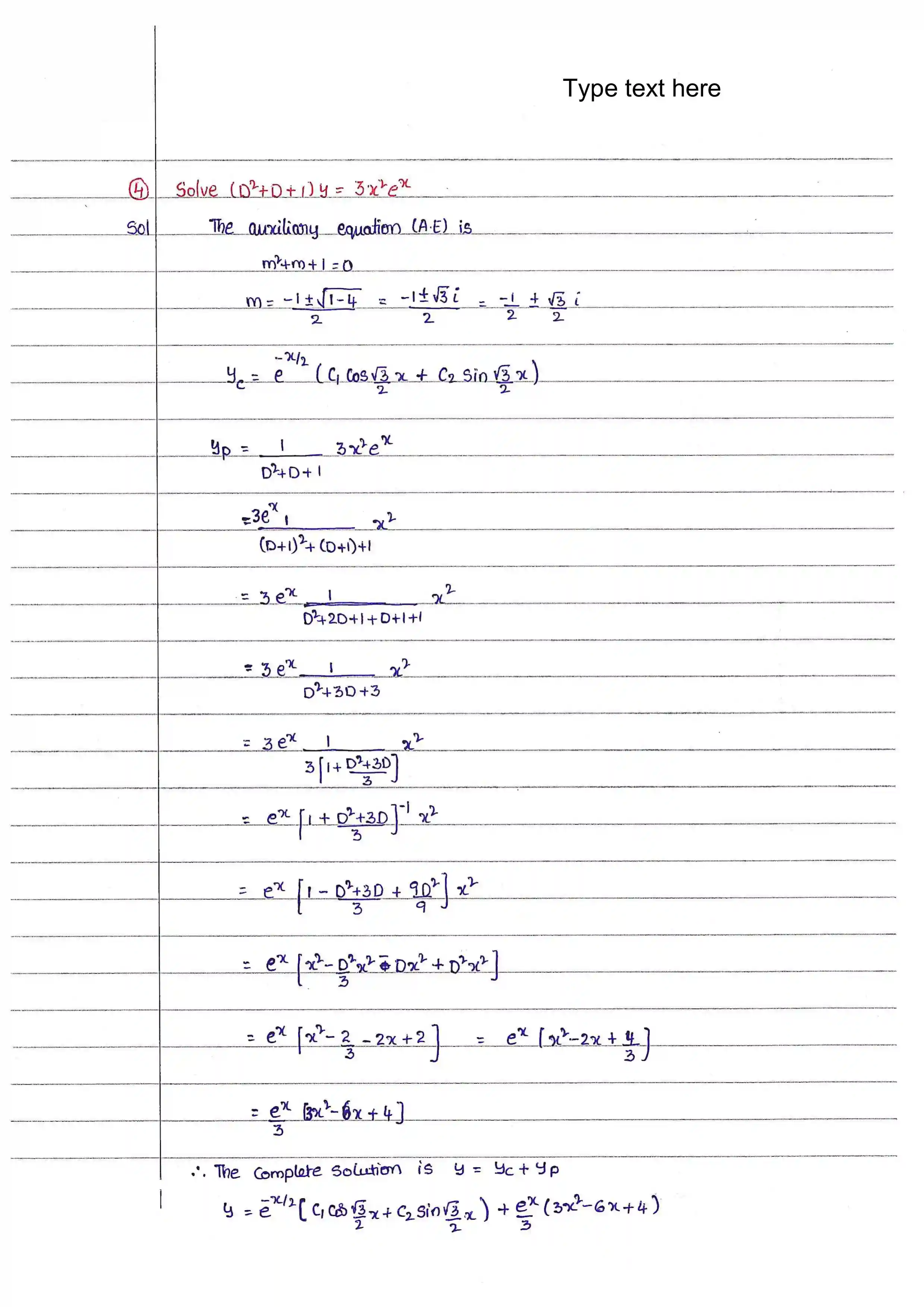
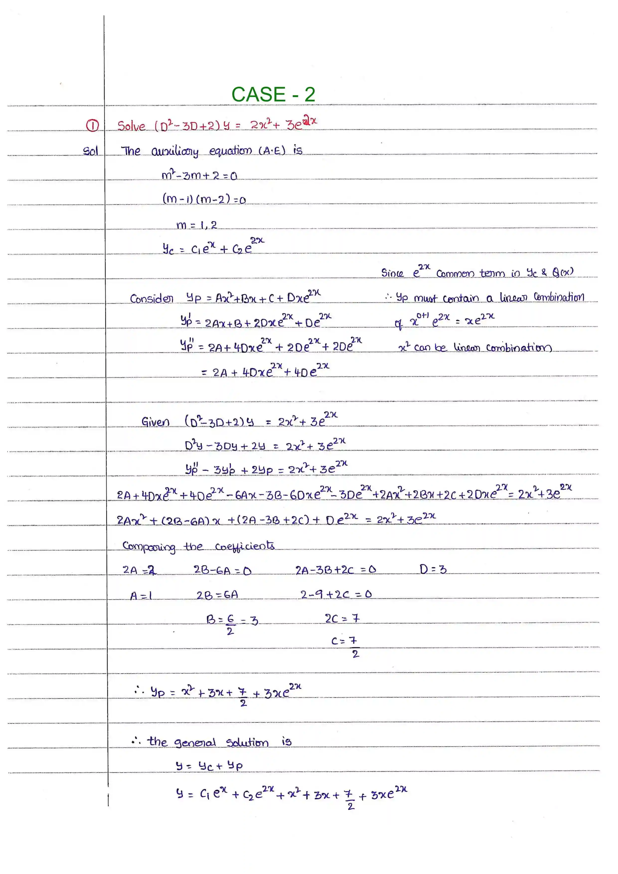
Higher Order Differential Equation

ENGINEERING → Computers Science And Engineering → Engineering Mathematics → Notes-1

Read handwritten PDF notes for Higher Order Differential Equation. This chapter contains 54 pages of handwritten study materials.

54 Total Pages
PDF Format
100% Free Access
logo