logo
Digital Notes

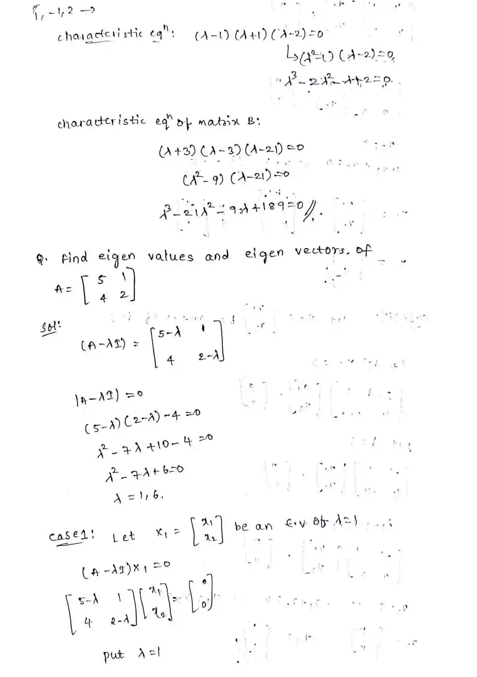
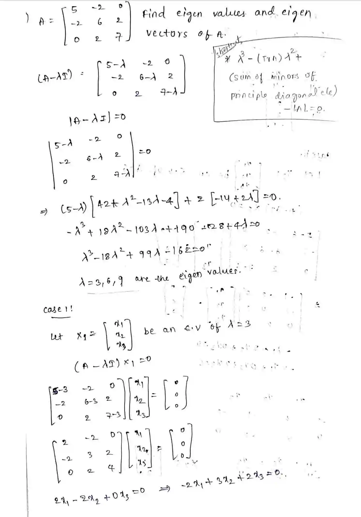
Eigen Values and EigenVectors

ENGINEERING → Computers Science And Engineering → Engineering Mathematics → Notes-1

Read handwritten PDF notes for Eigen Values and EigenVectors. This chapter contains 41 pages of handwritten study materials.

41 Total Pages
PDF Format
100% Free Access
logo