logo
Digital Notes

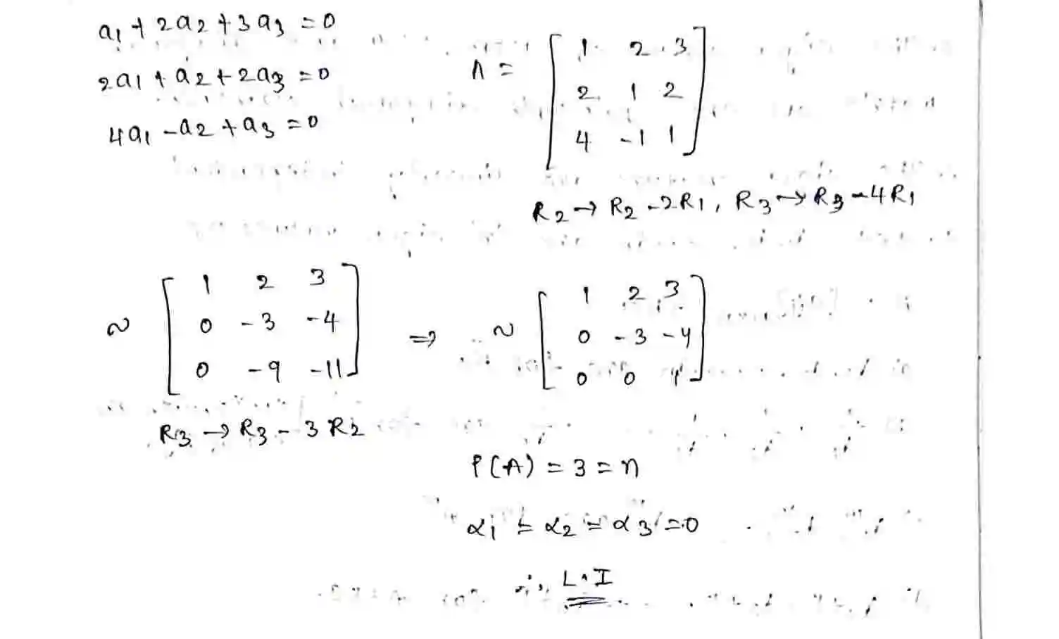
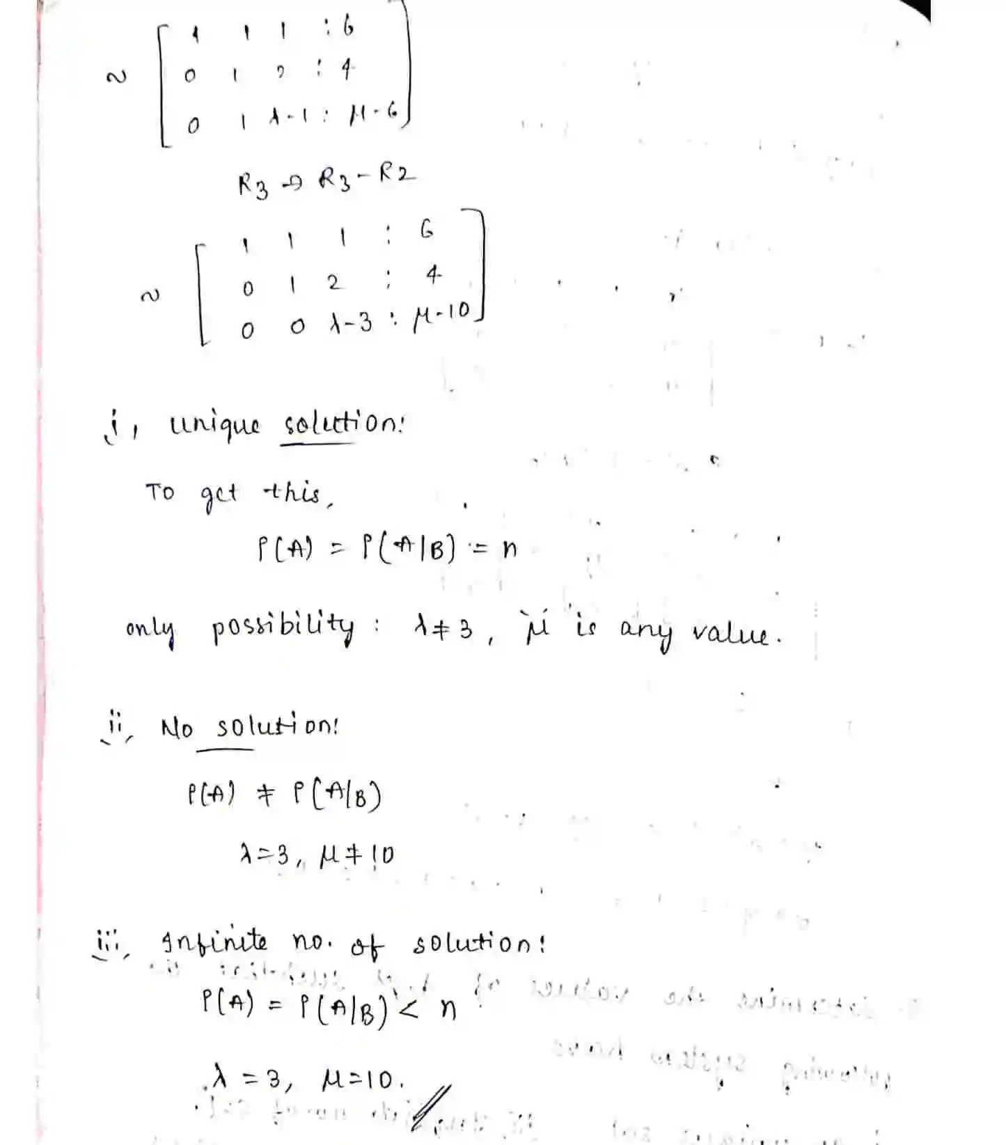
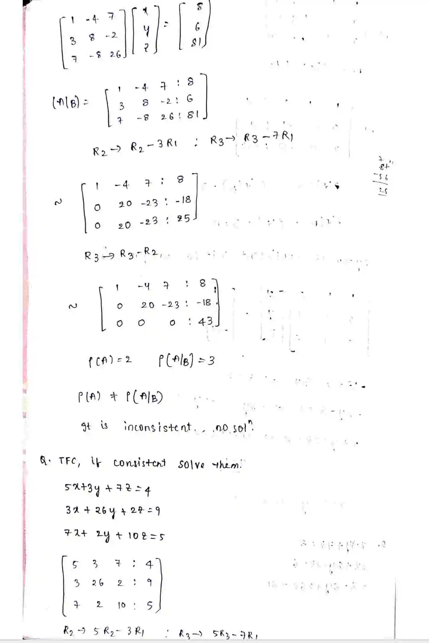
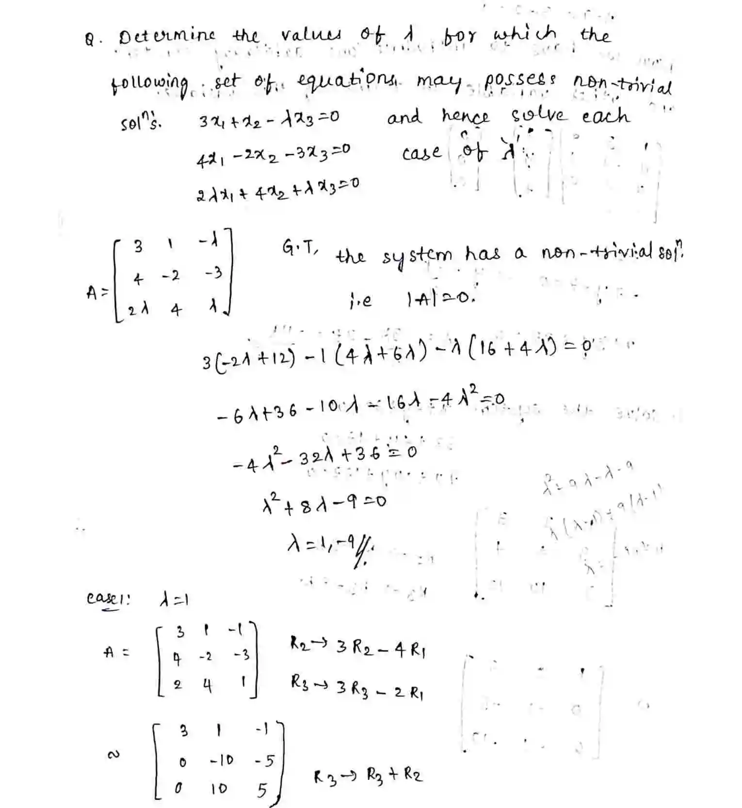
Solving System Of Equations

ENGINEERING → Computers Science And Engineering → Engineering Mathematics → Notes-1

Read handwritten PDF notes for Solving System Of Equations. This chapter contains 16 pages of handwritten study materials.

16 Total Pages
PDF Format
100% Free Access
logo