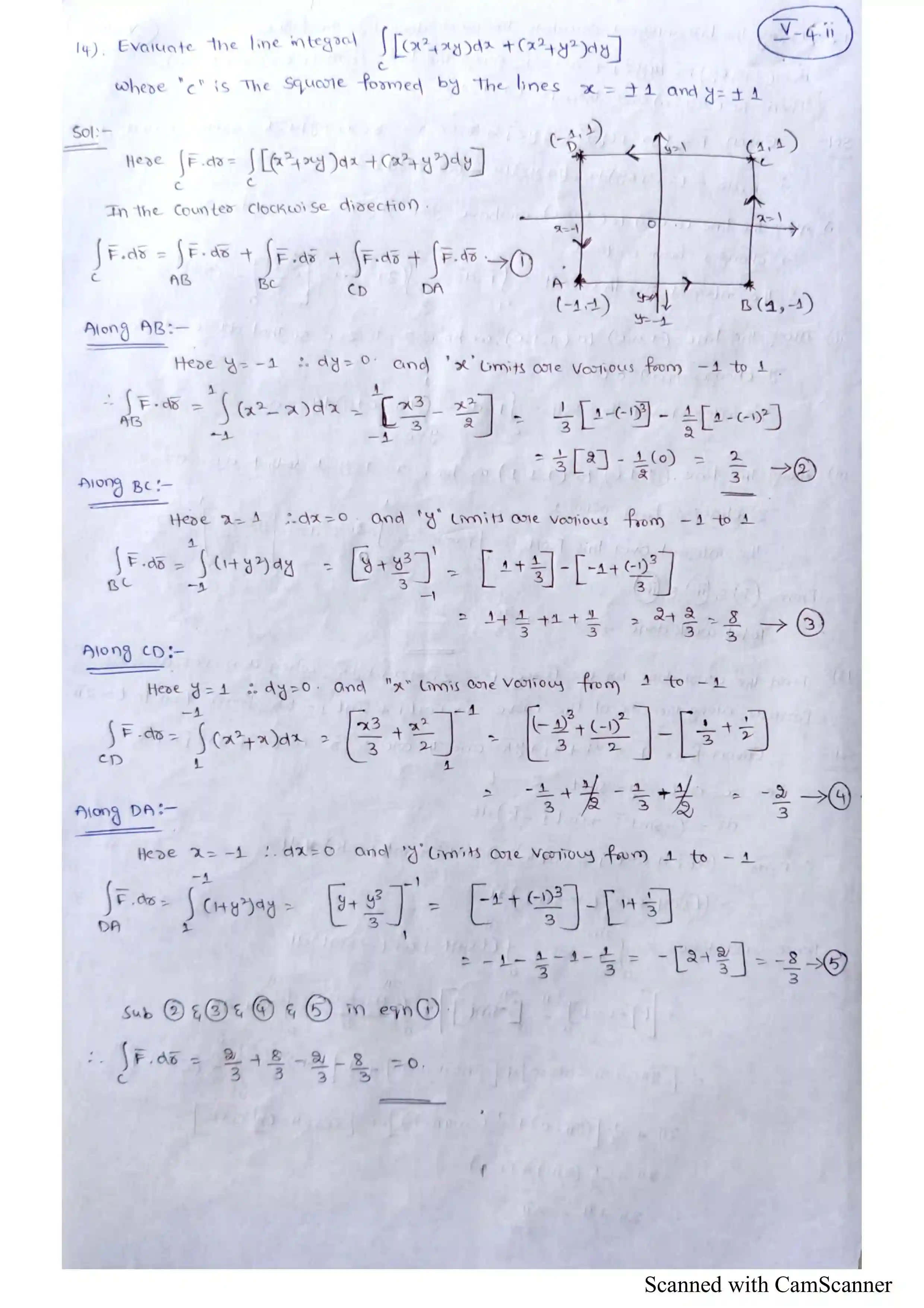
logo

Vector Integration

Notes: Notes-1