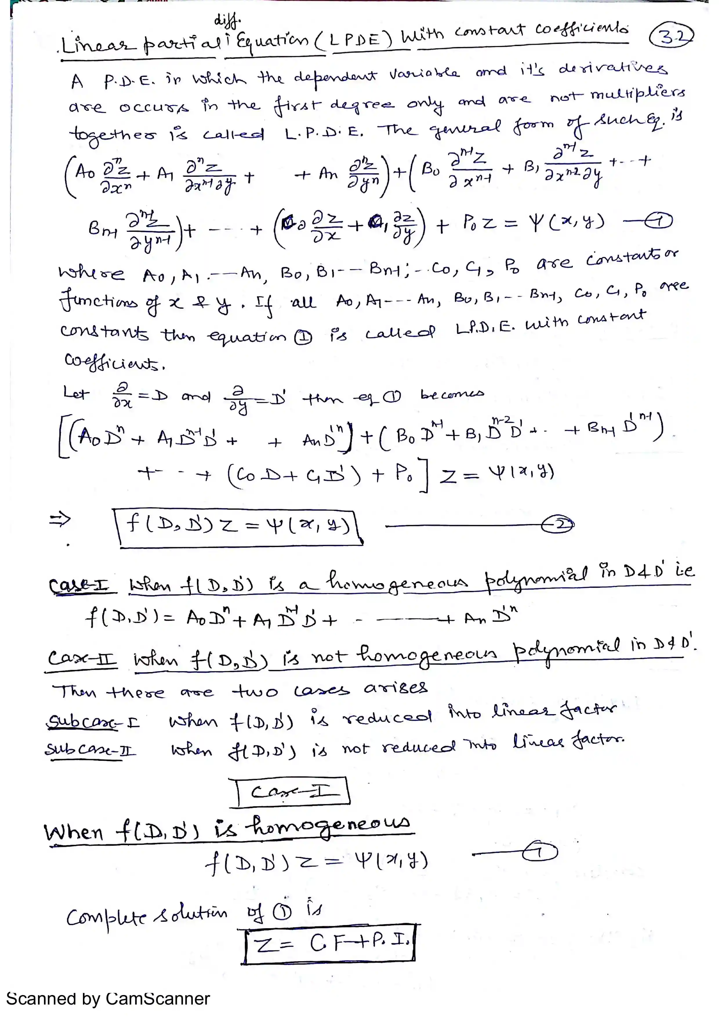
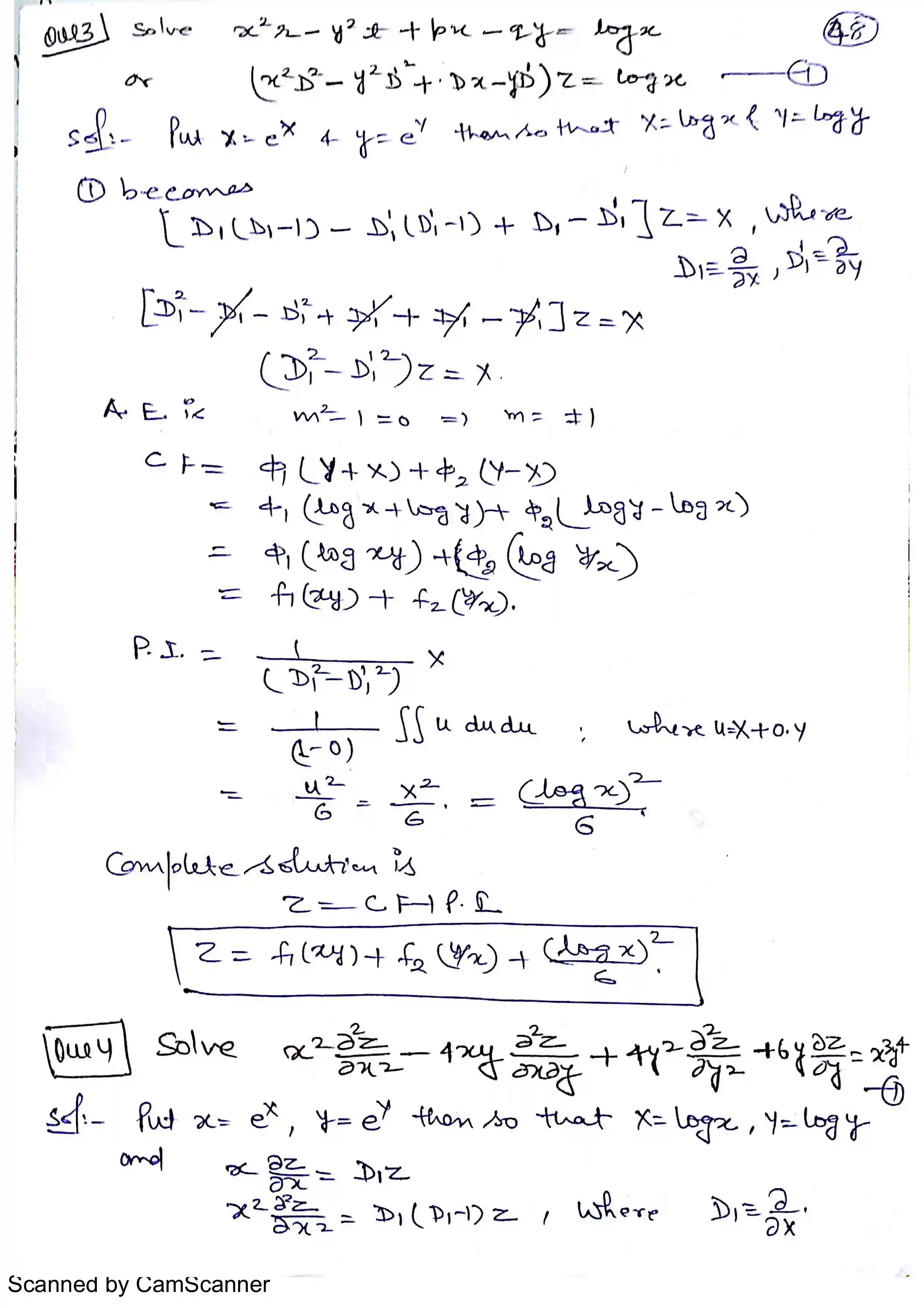
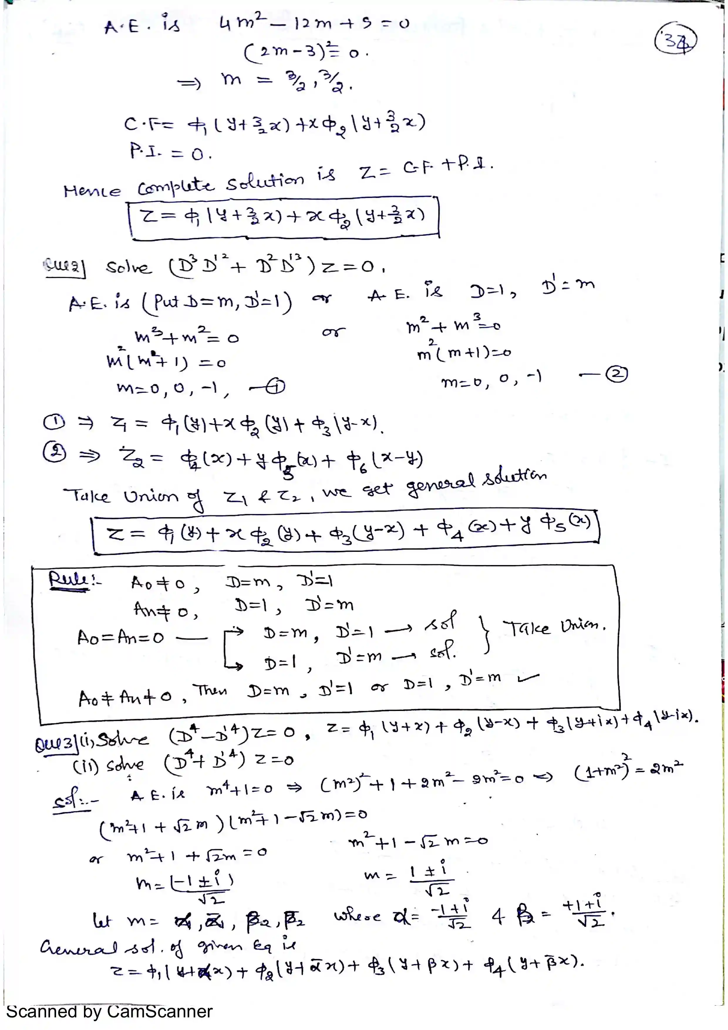
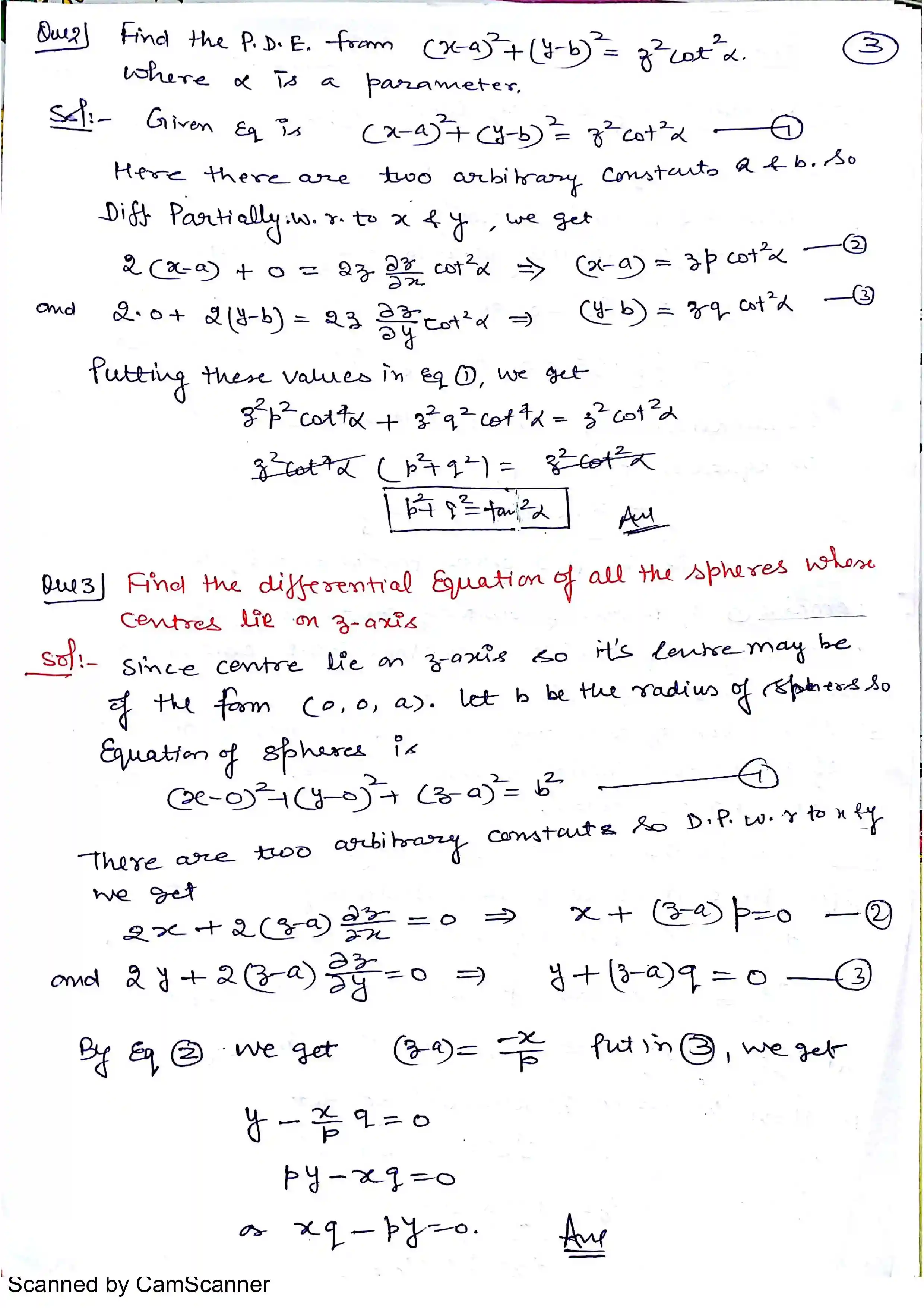
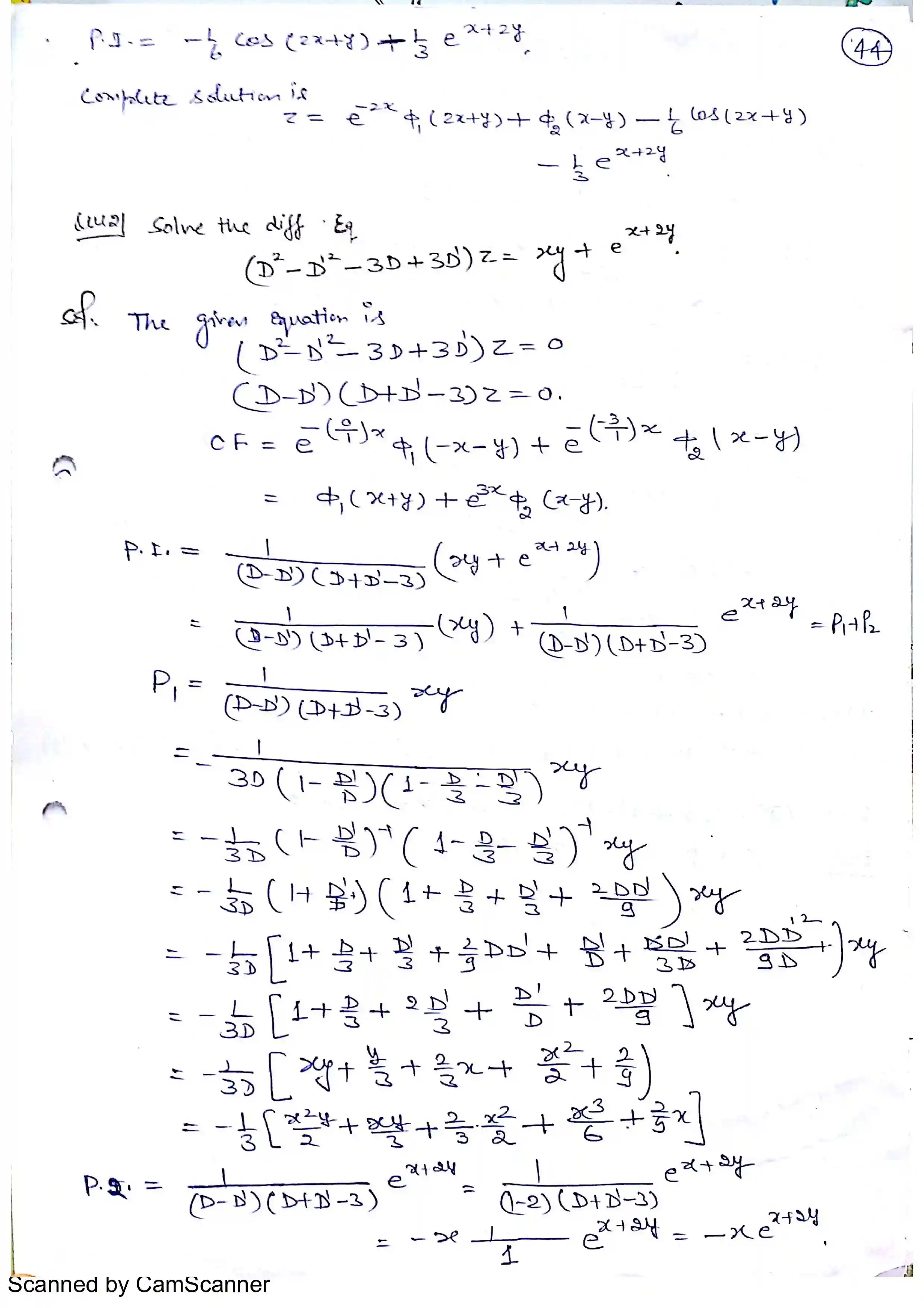
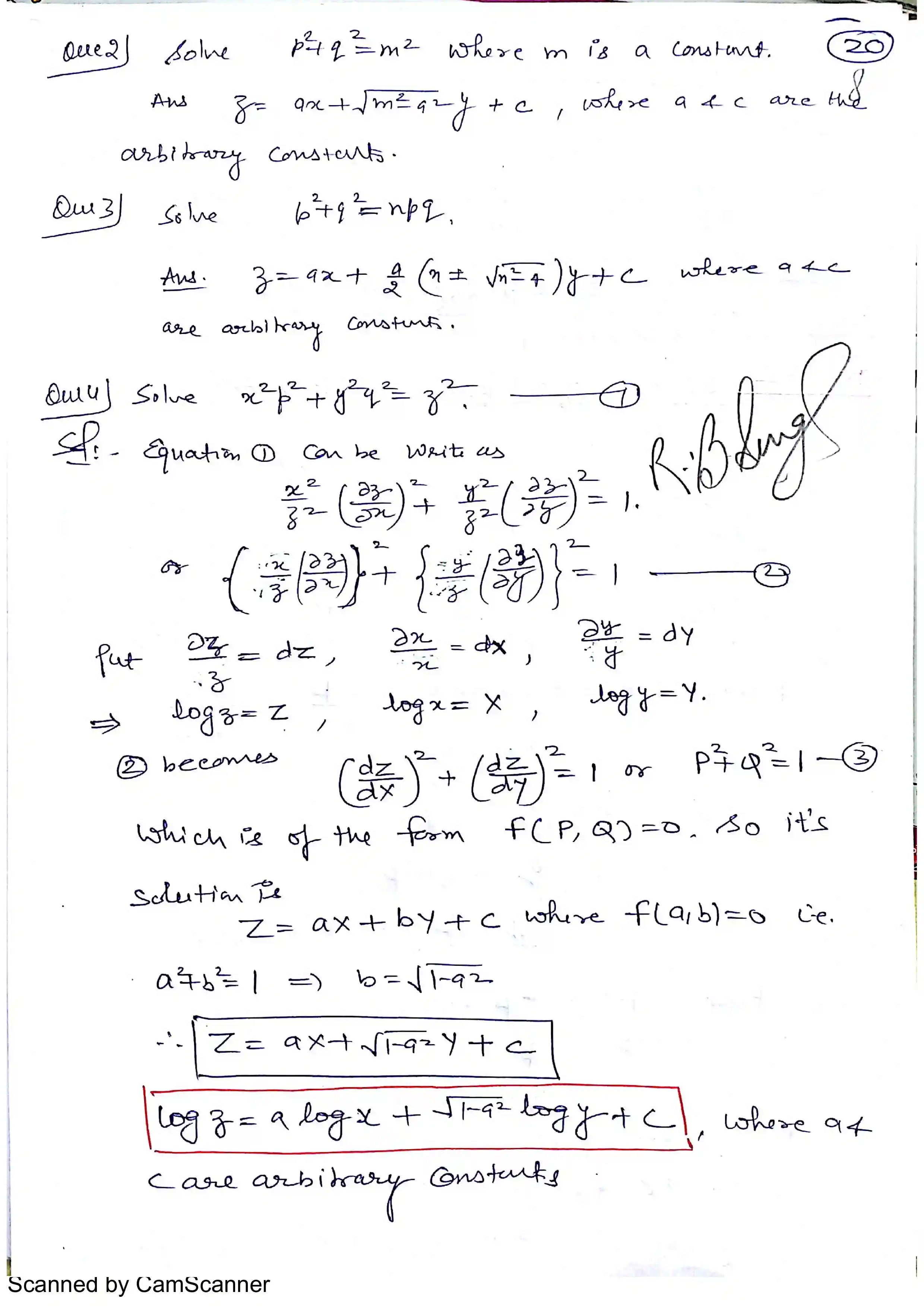
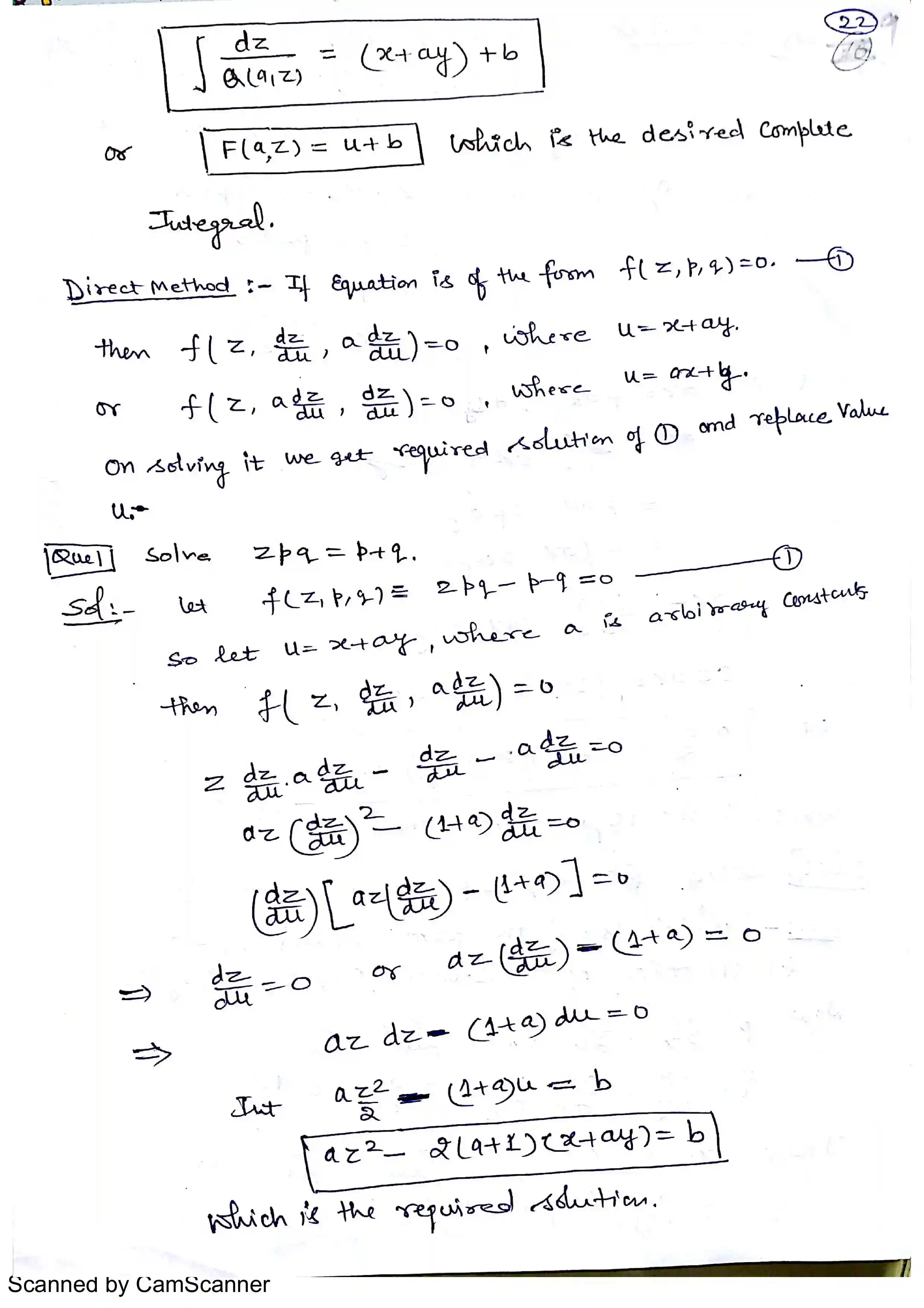
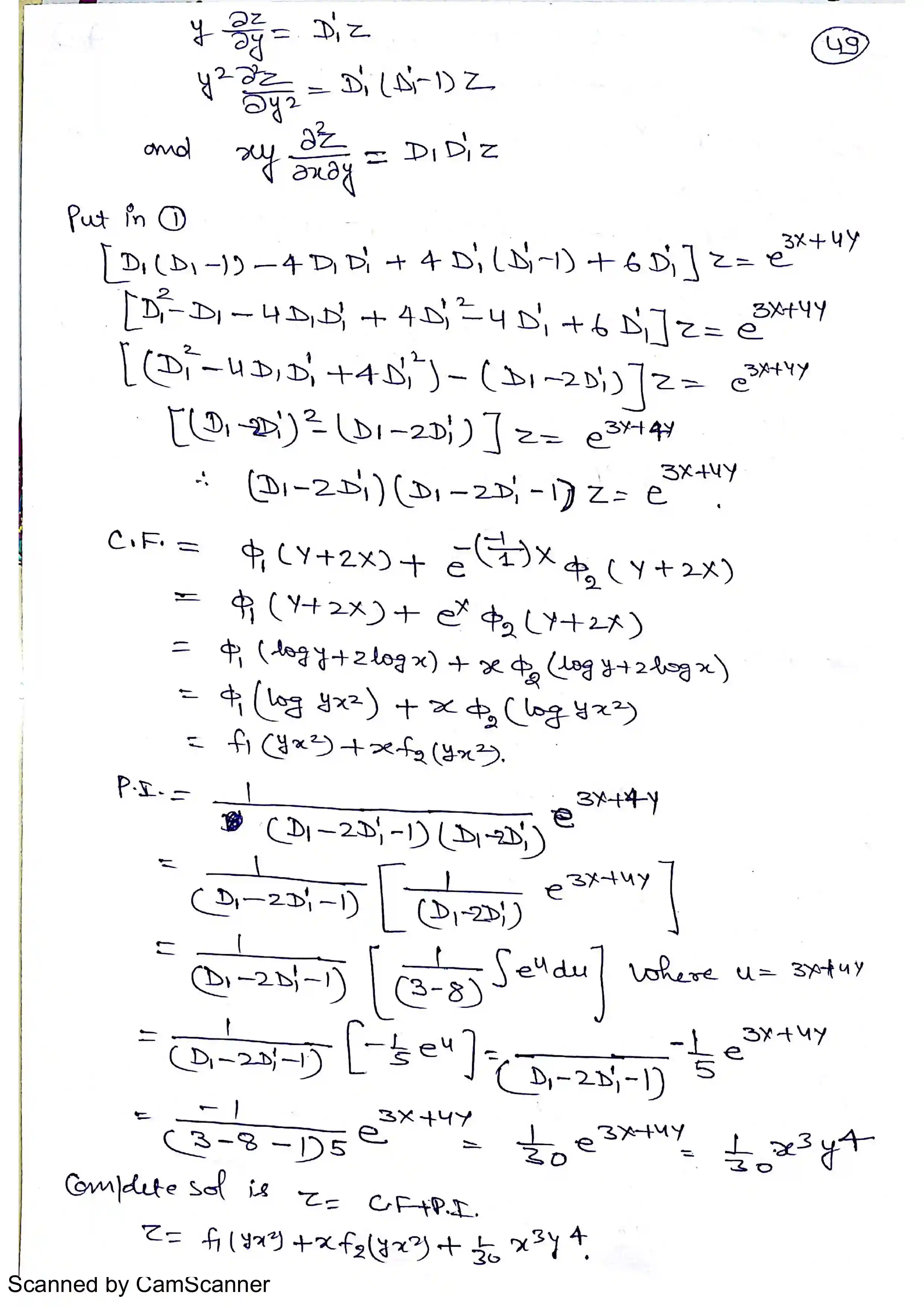
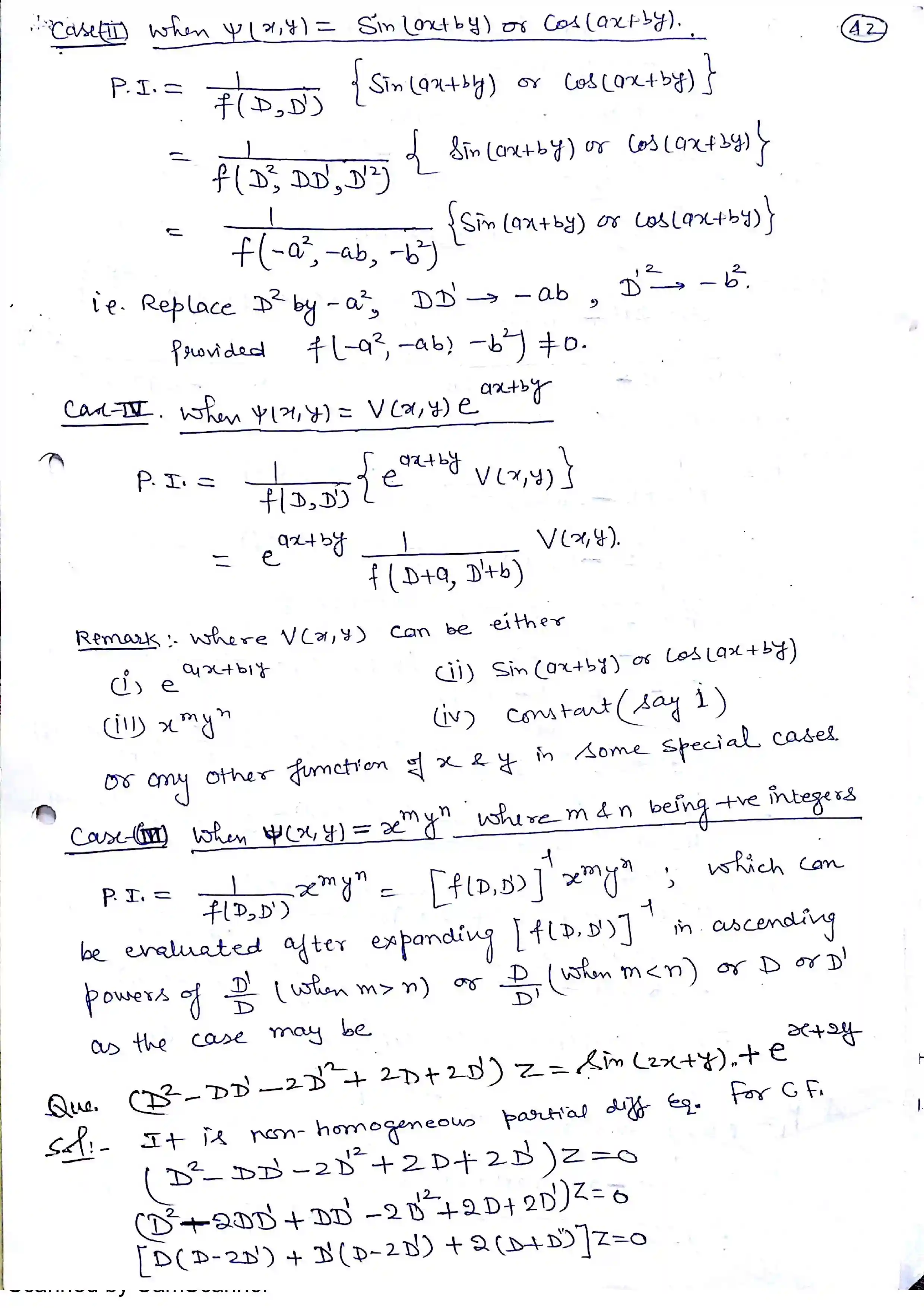
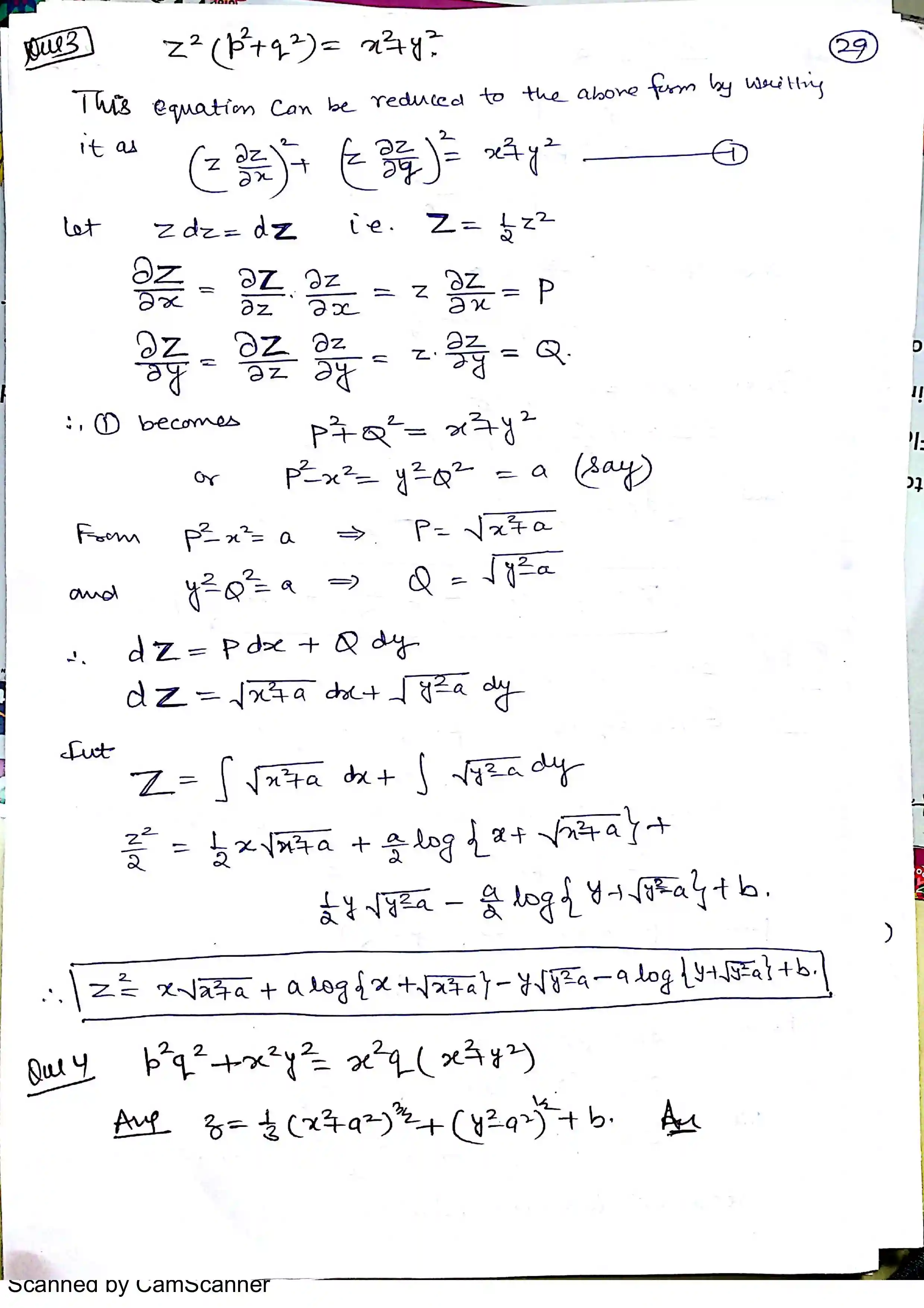
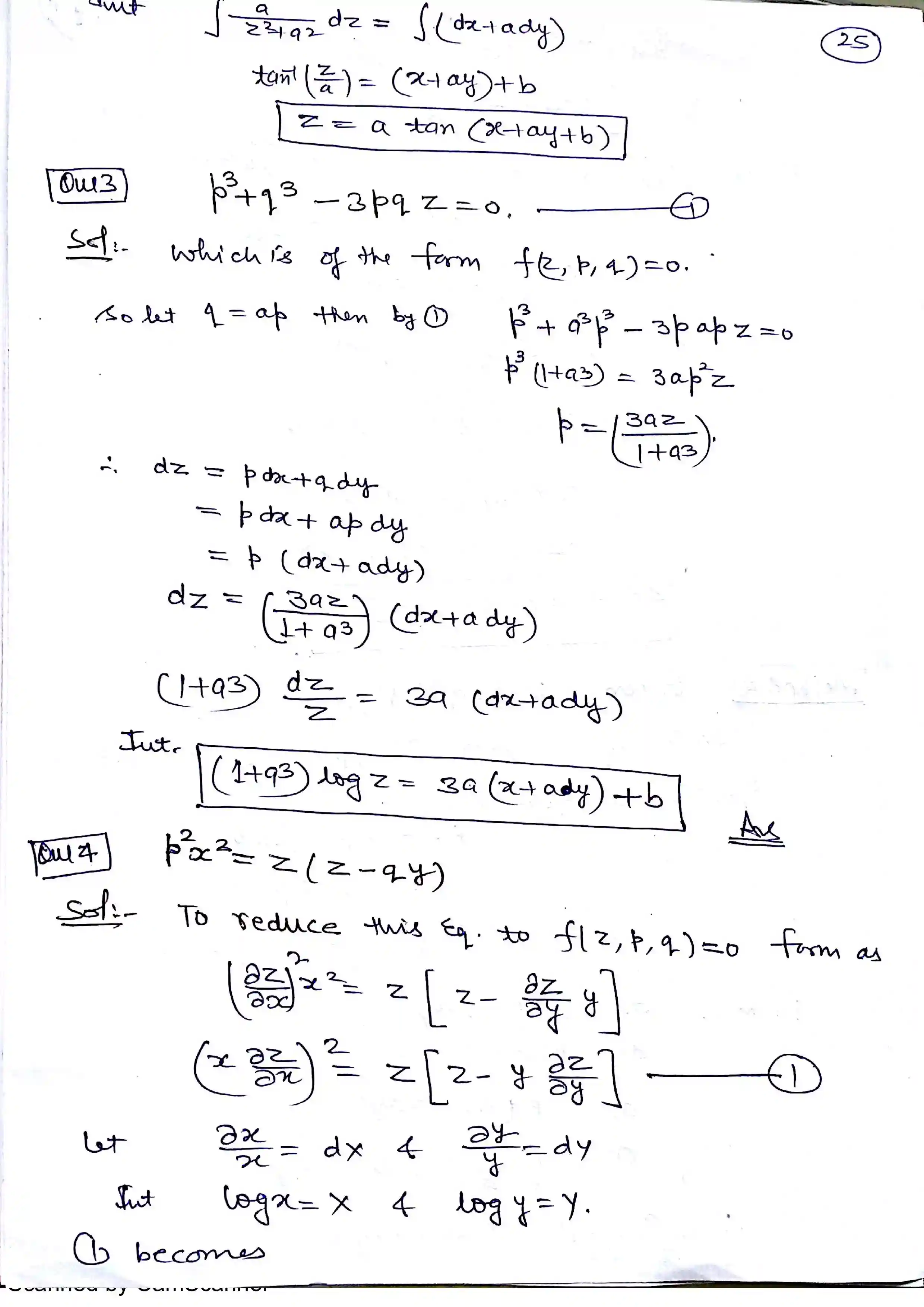
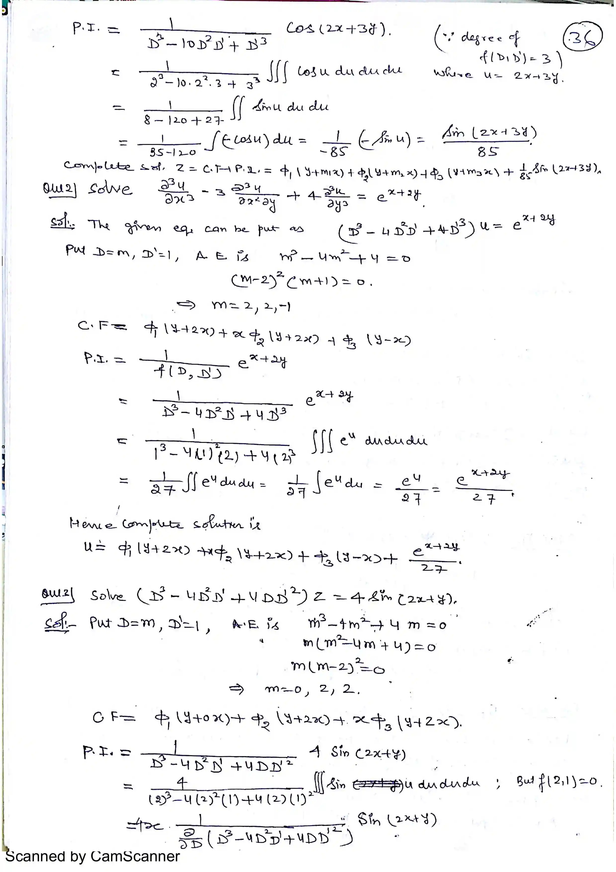
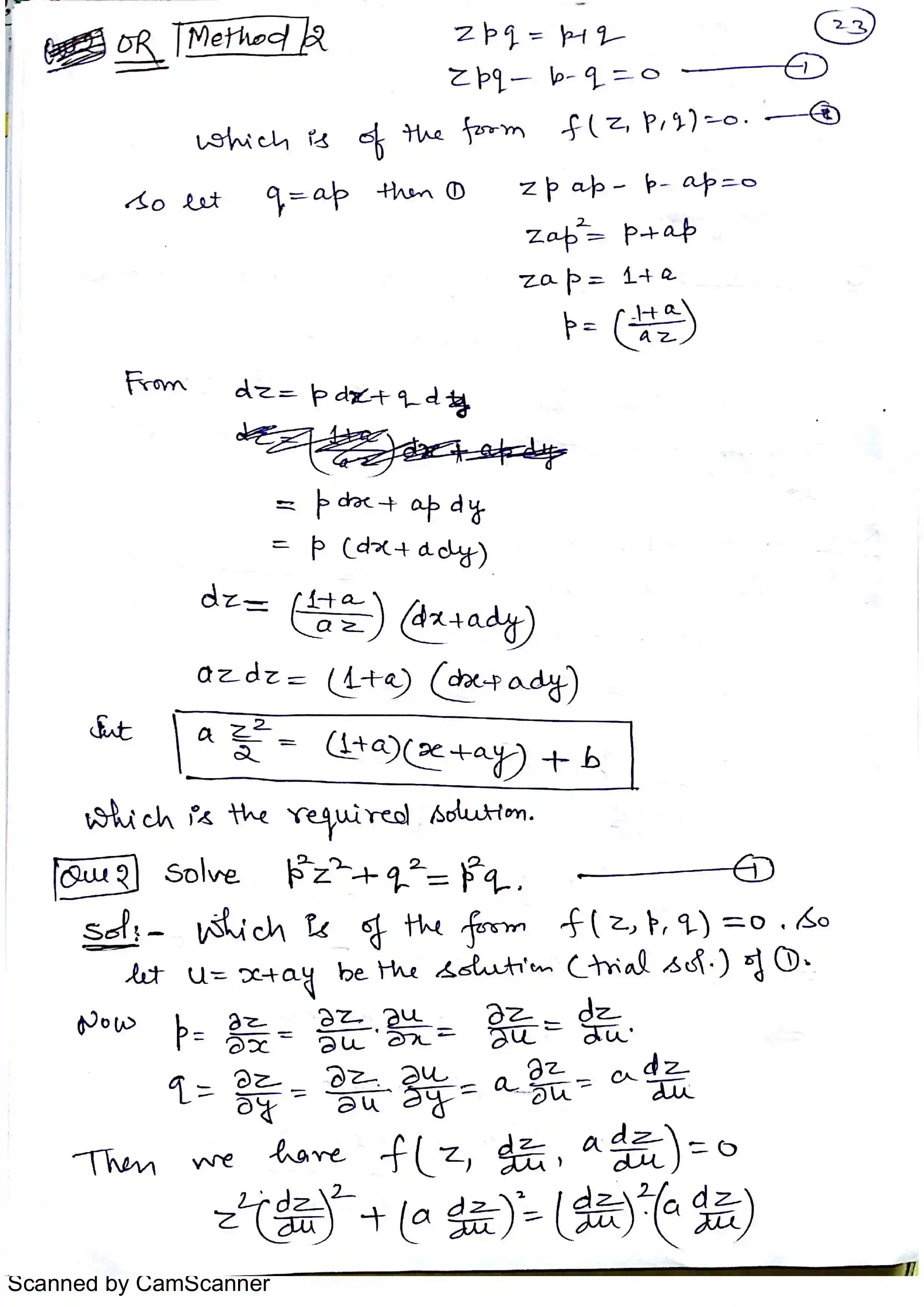
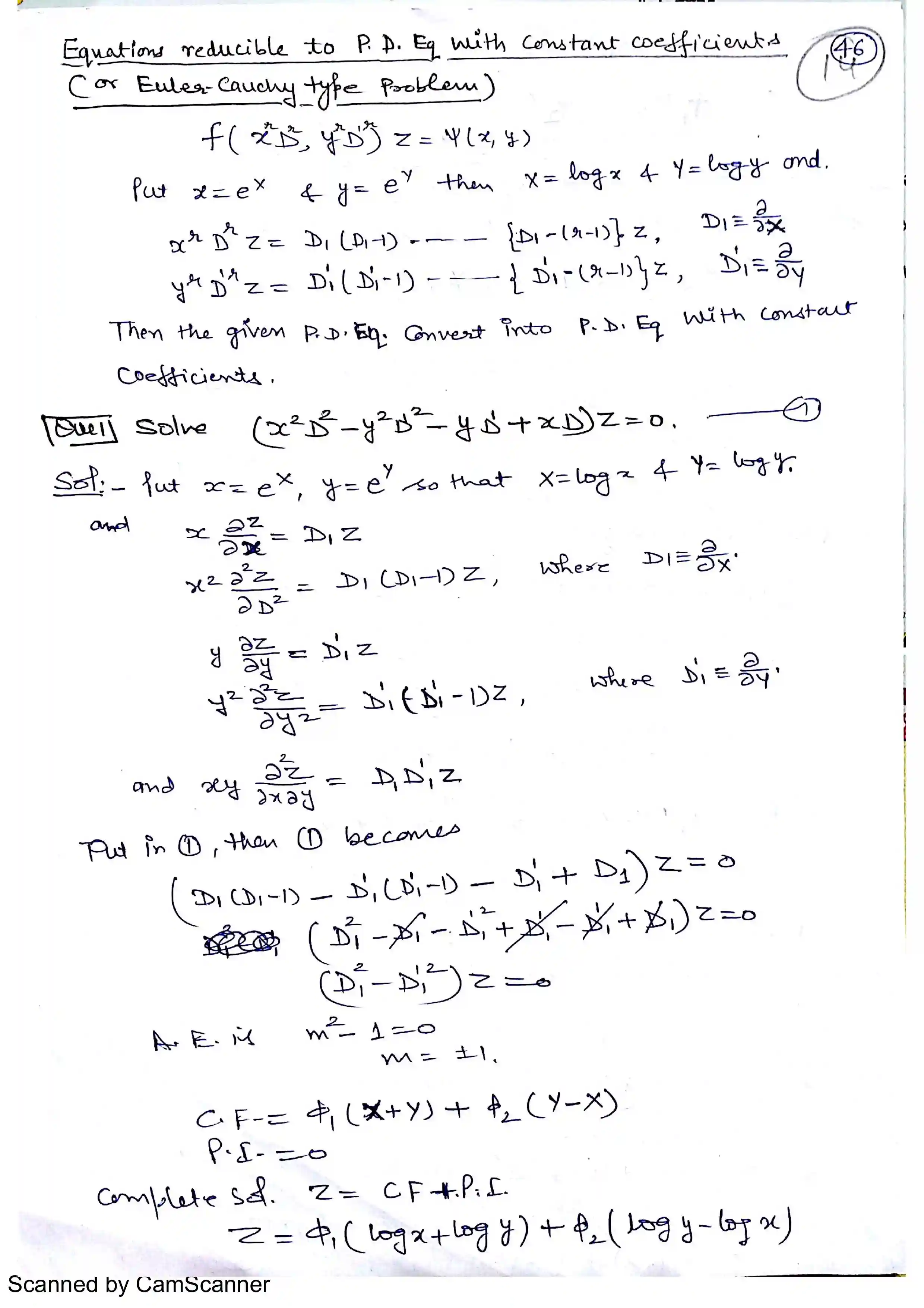
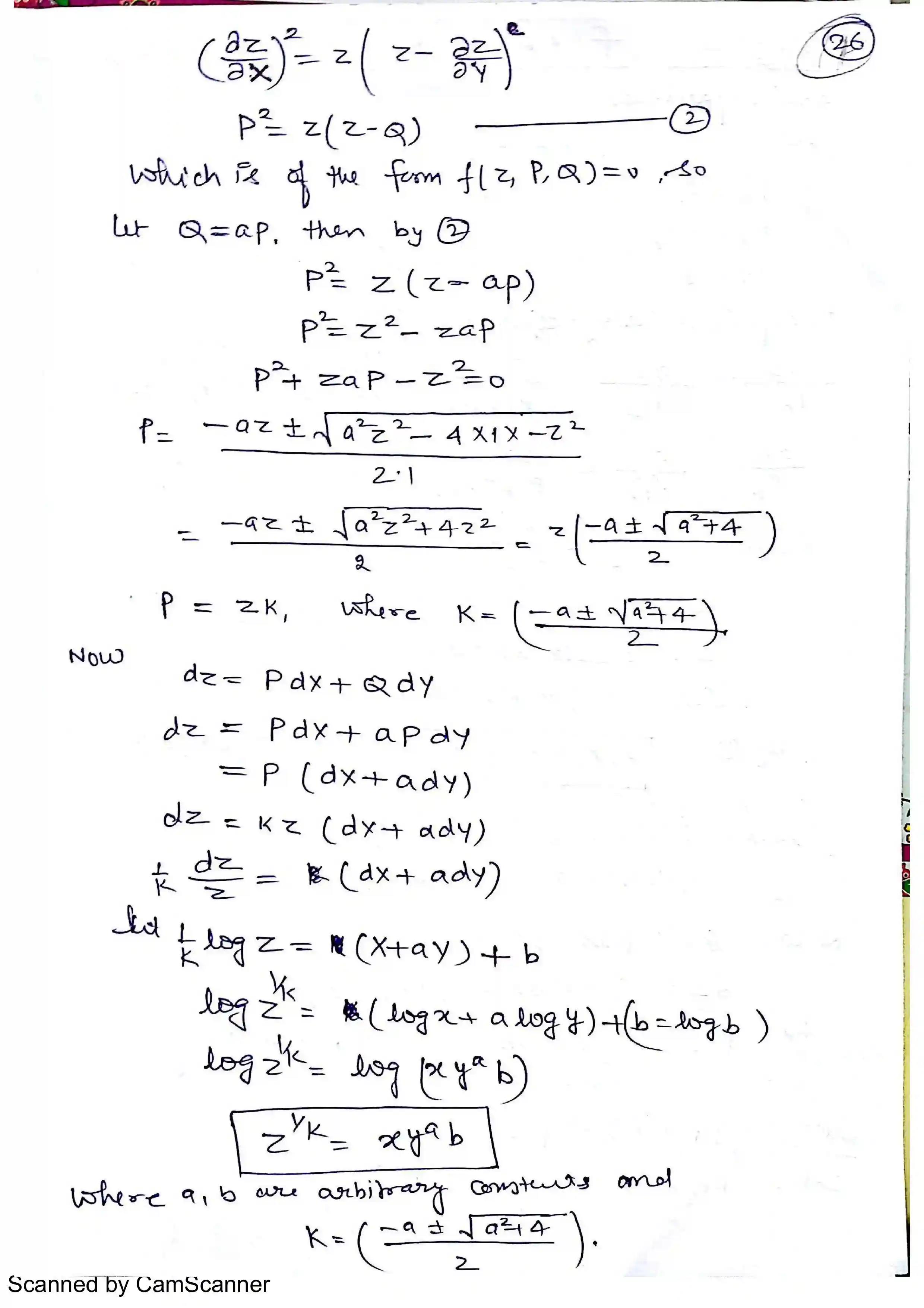
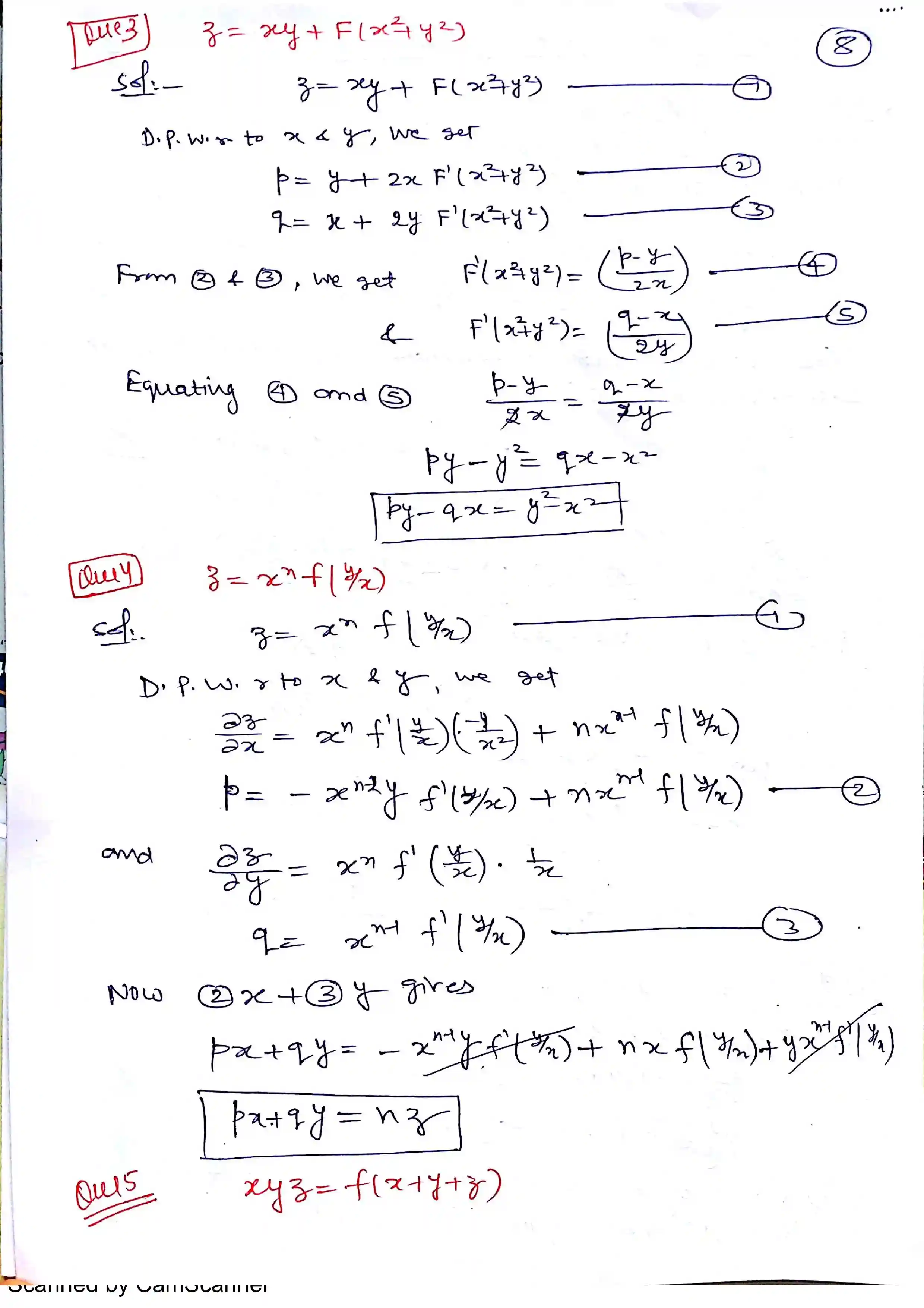
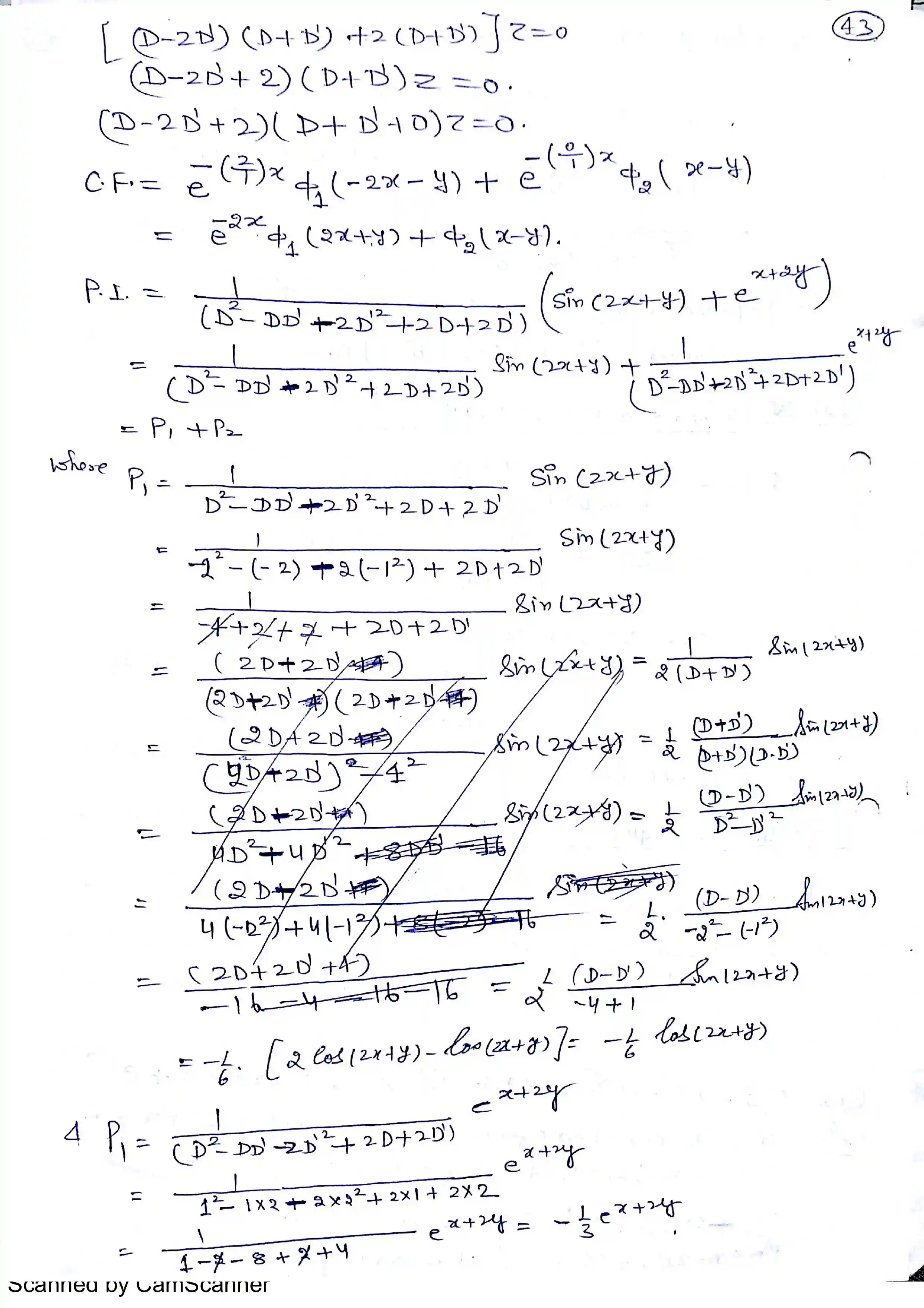
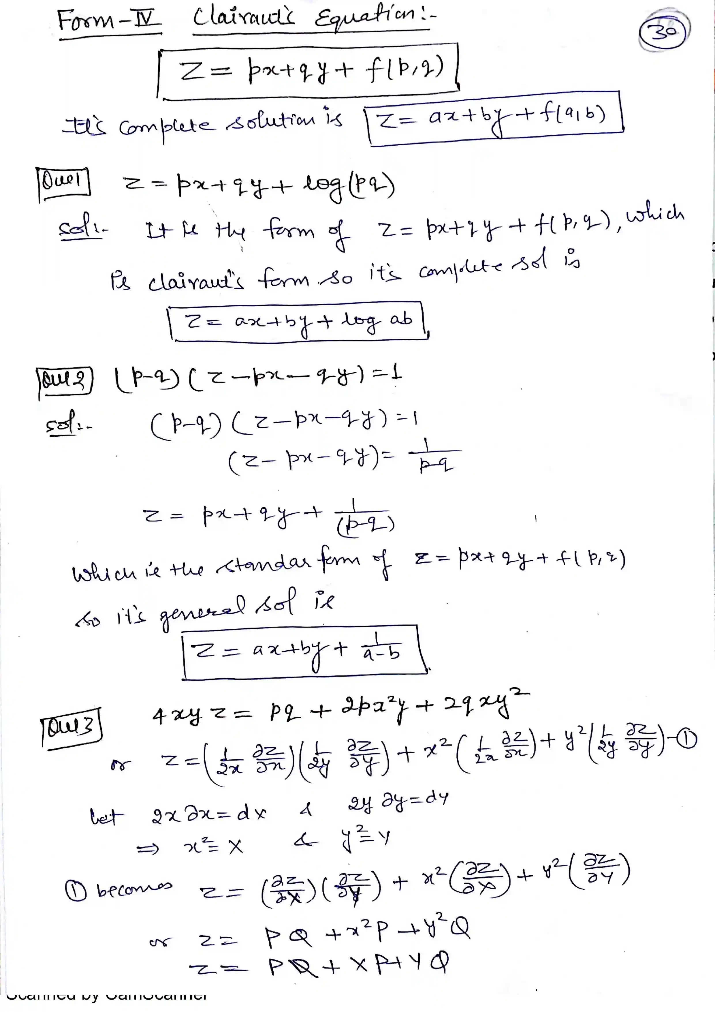
Partial Differential Equation
Notes: Notes-1
Notes: Notes-1