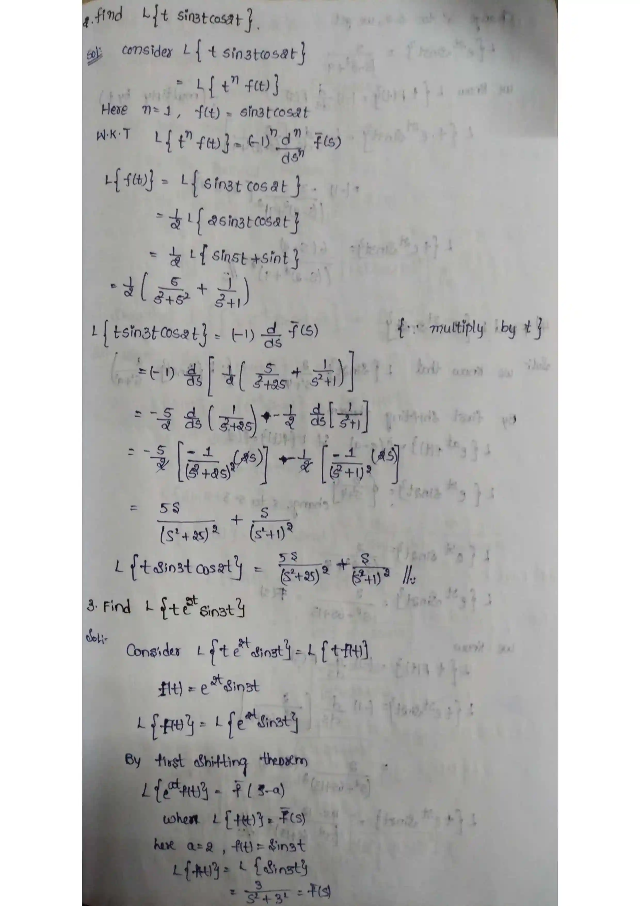
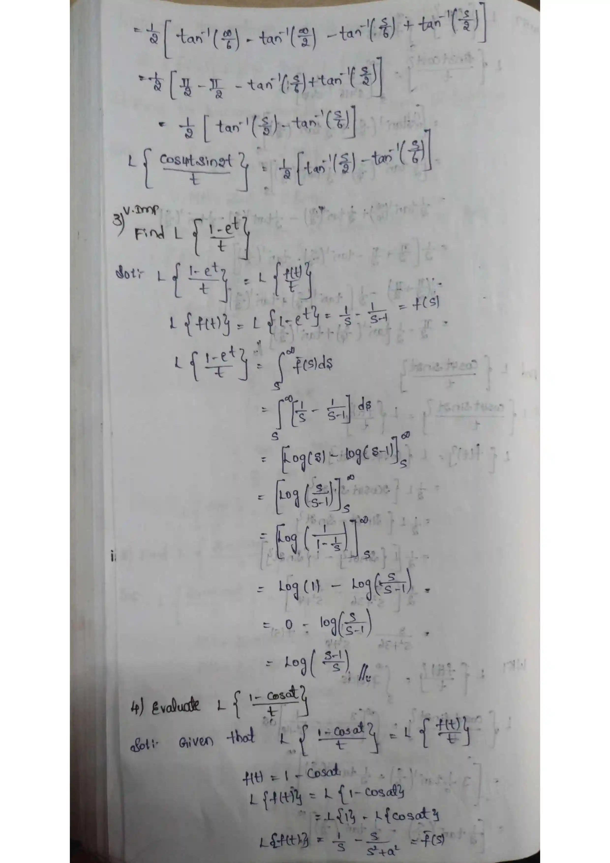
Laplace Transform
Notes: Notes-1
Notes: Notes-1