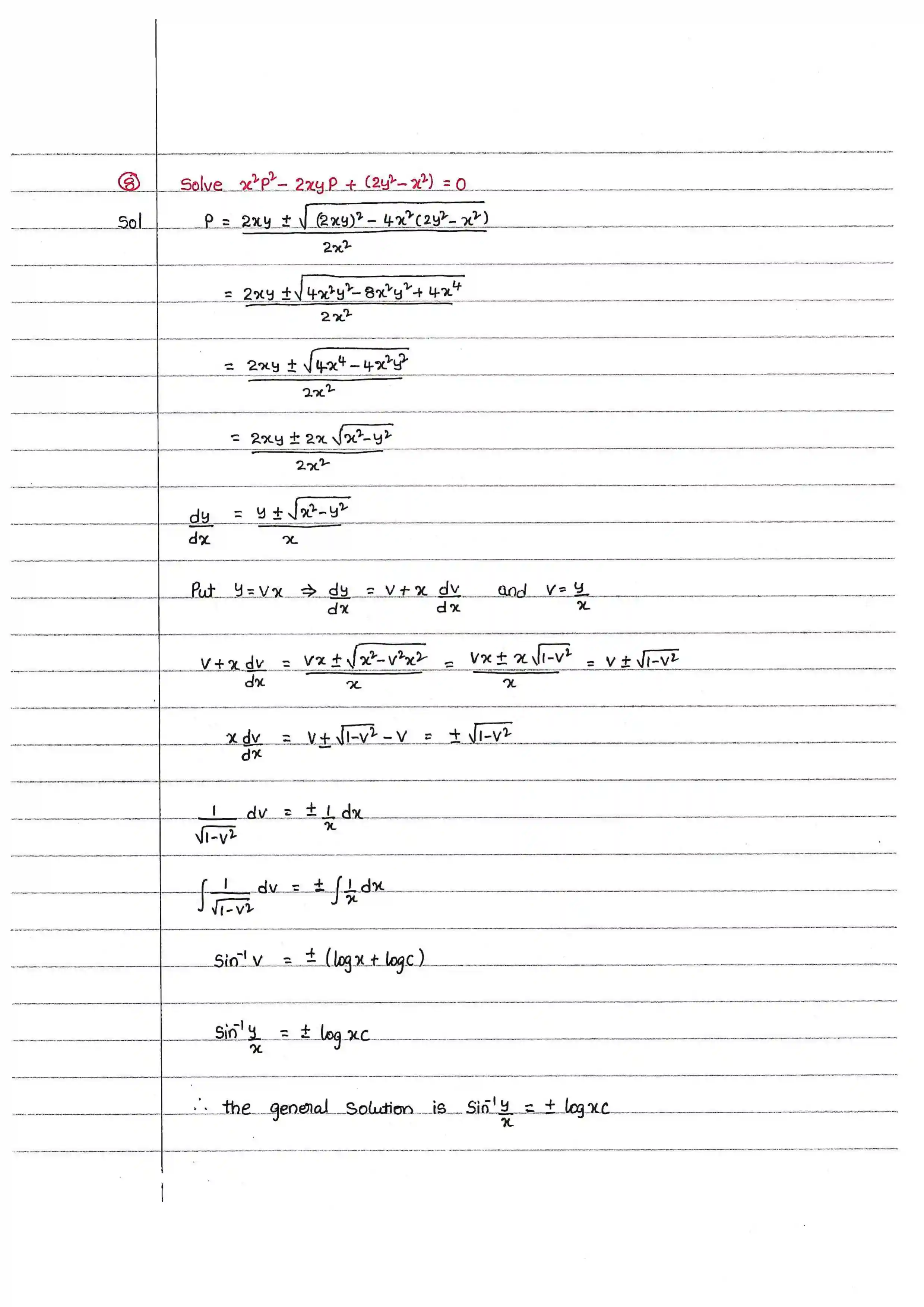
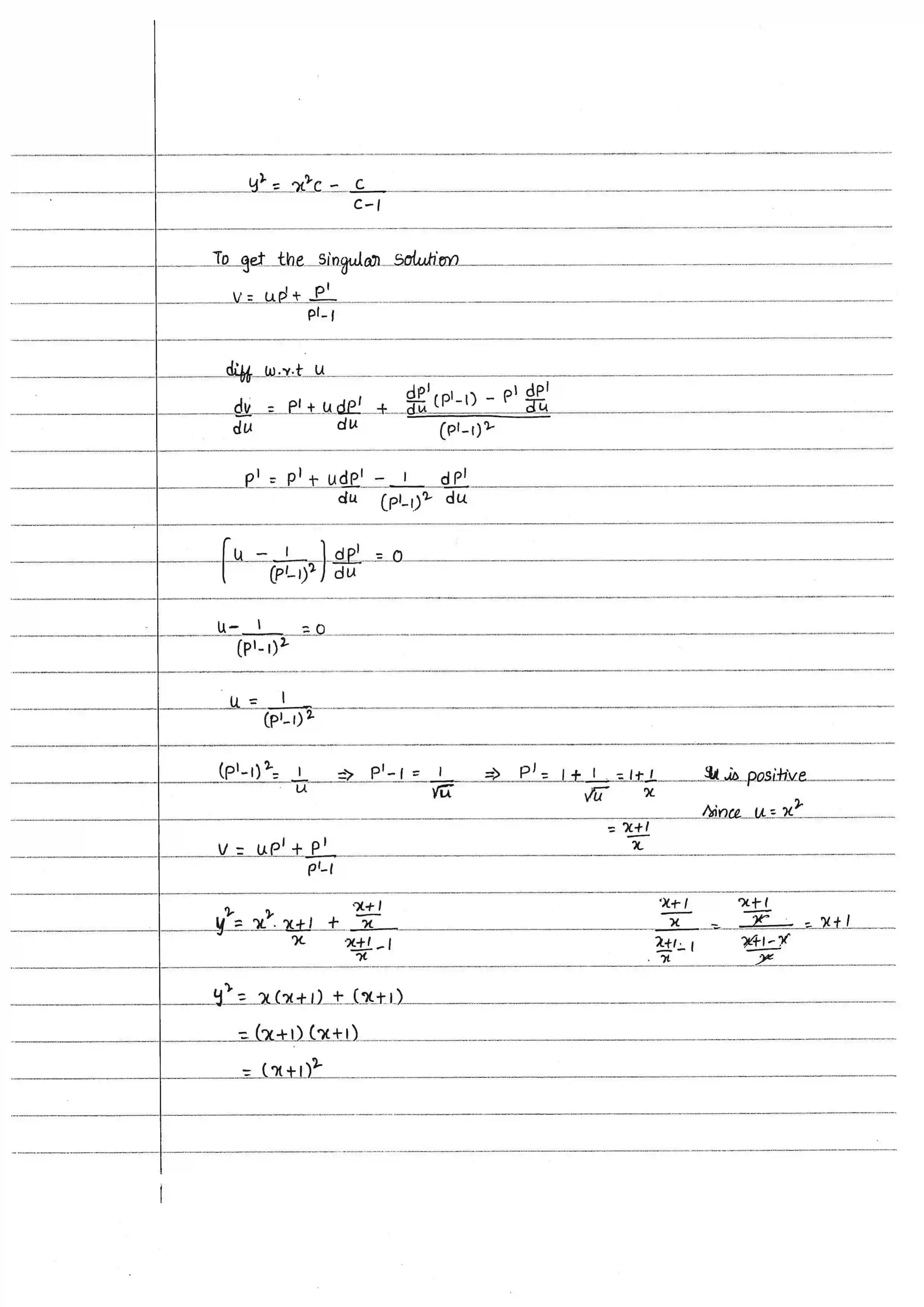
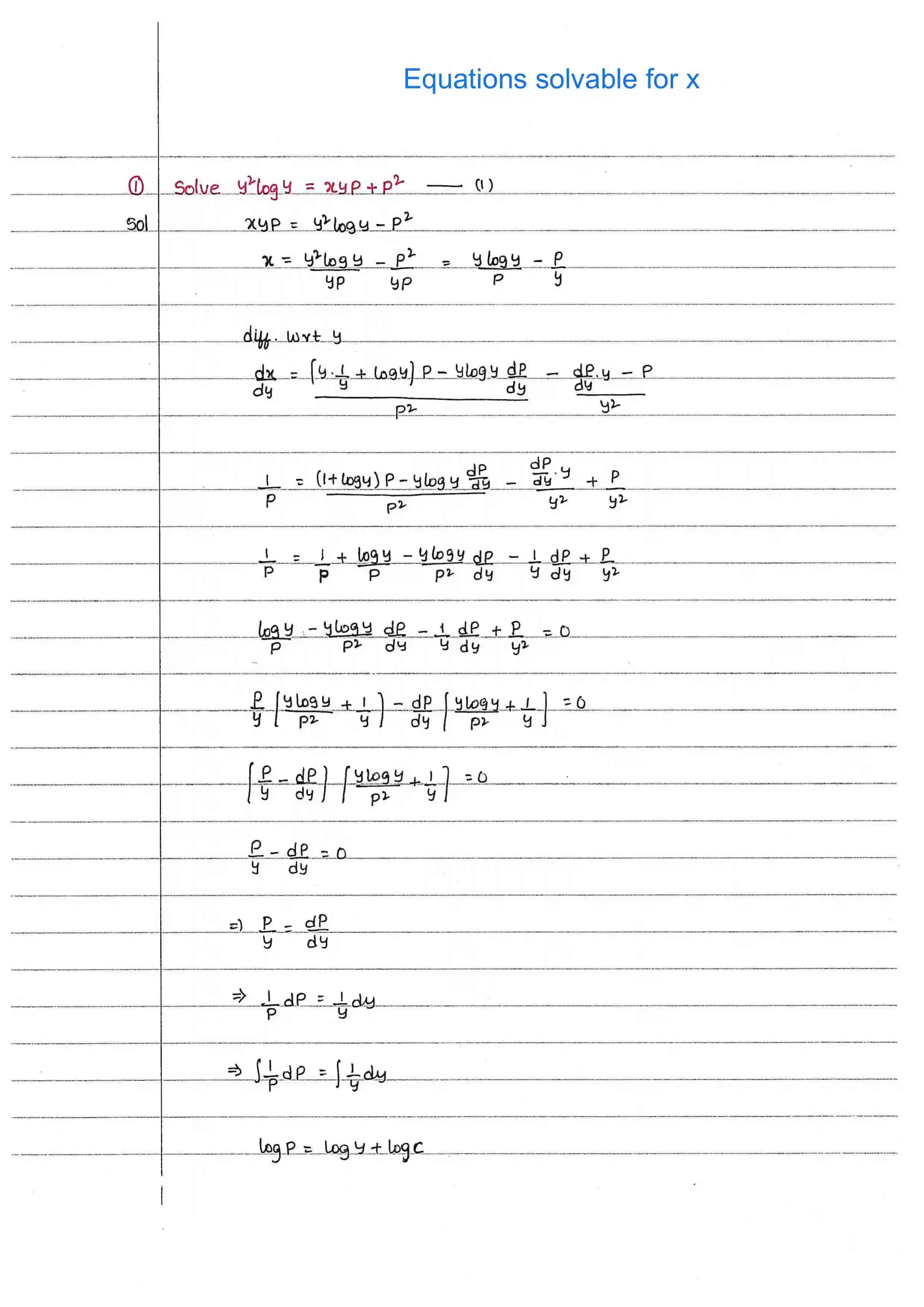
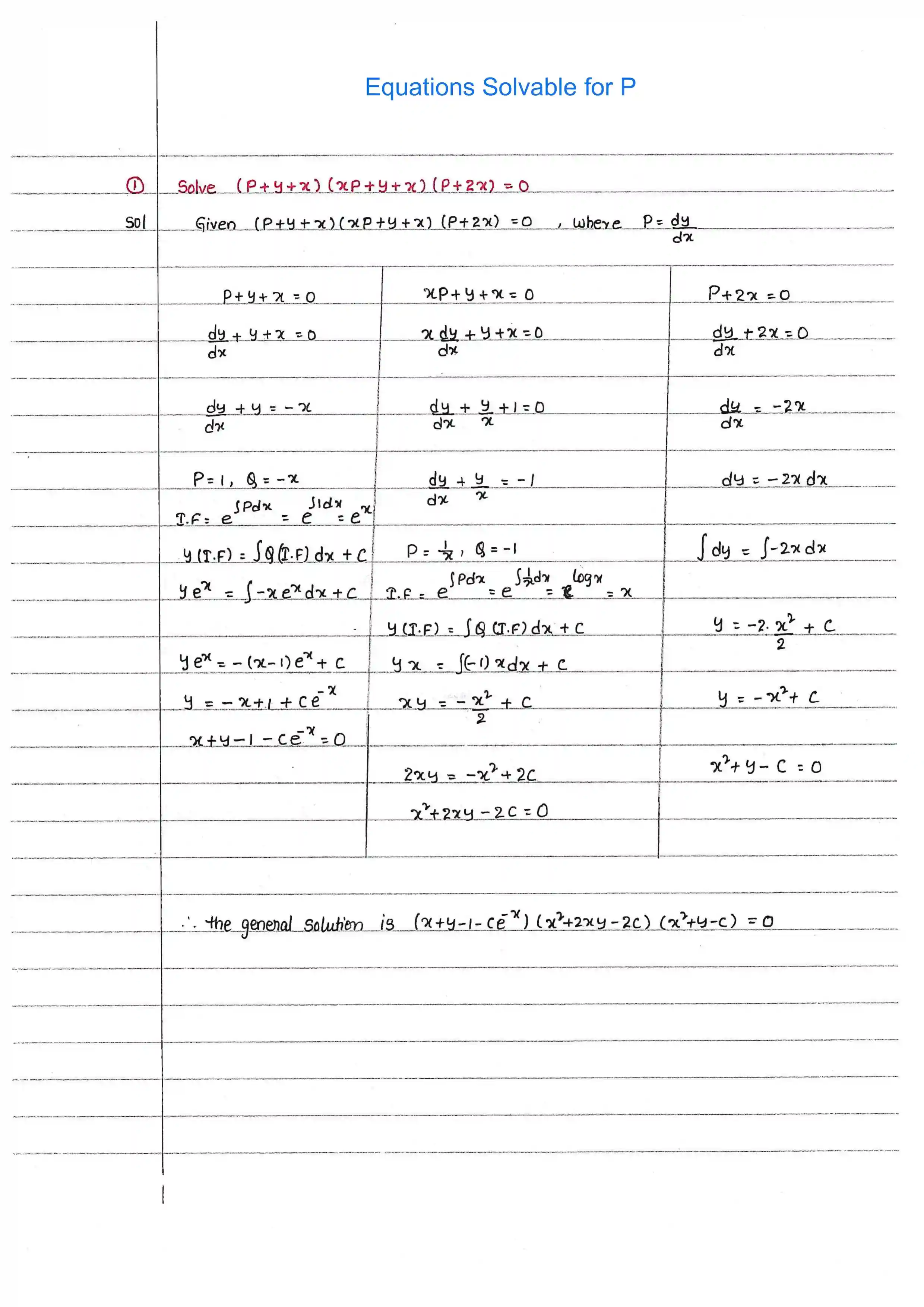
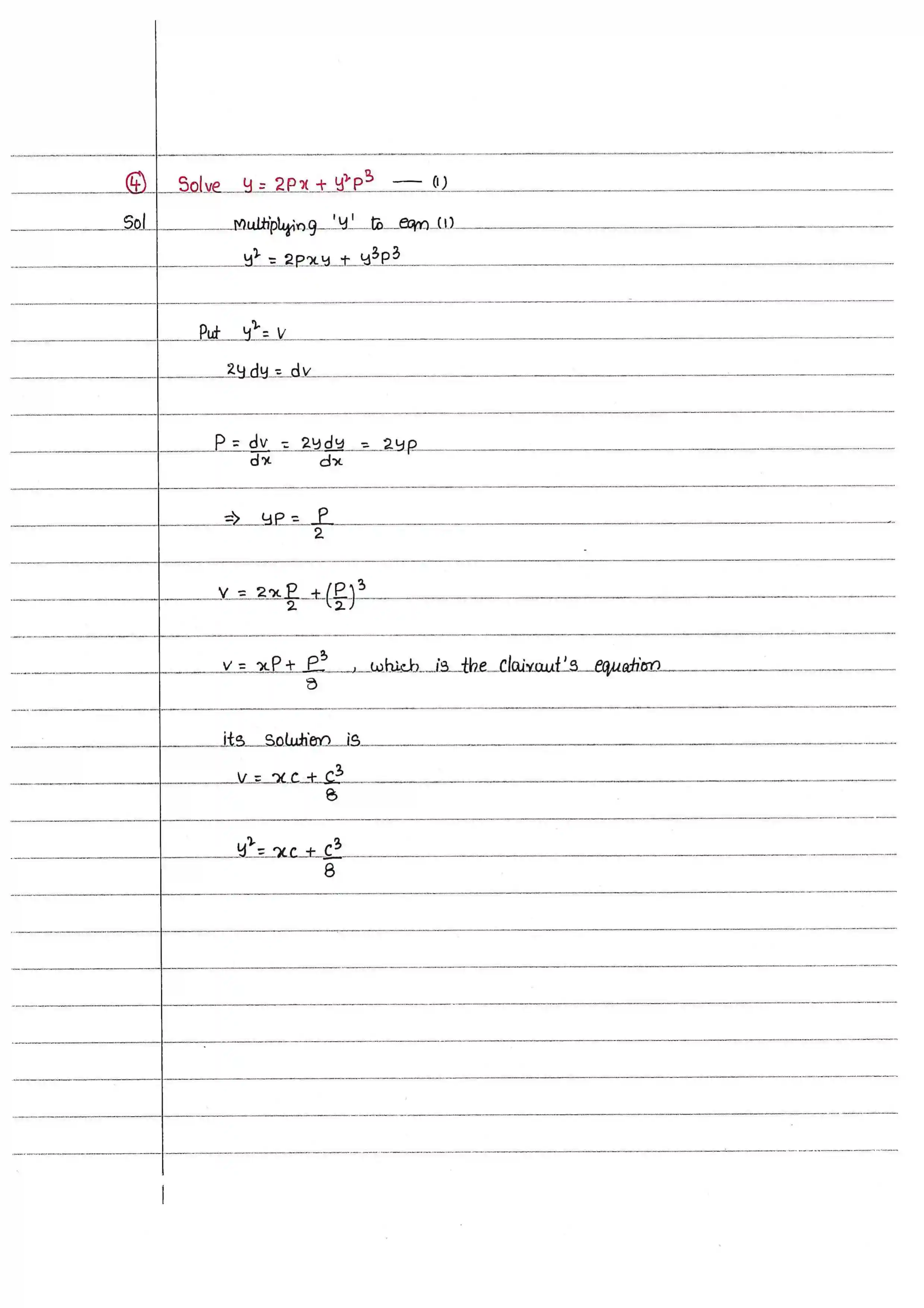
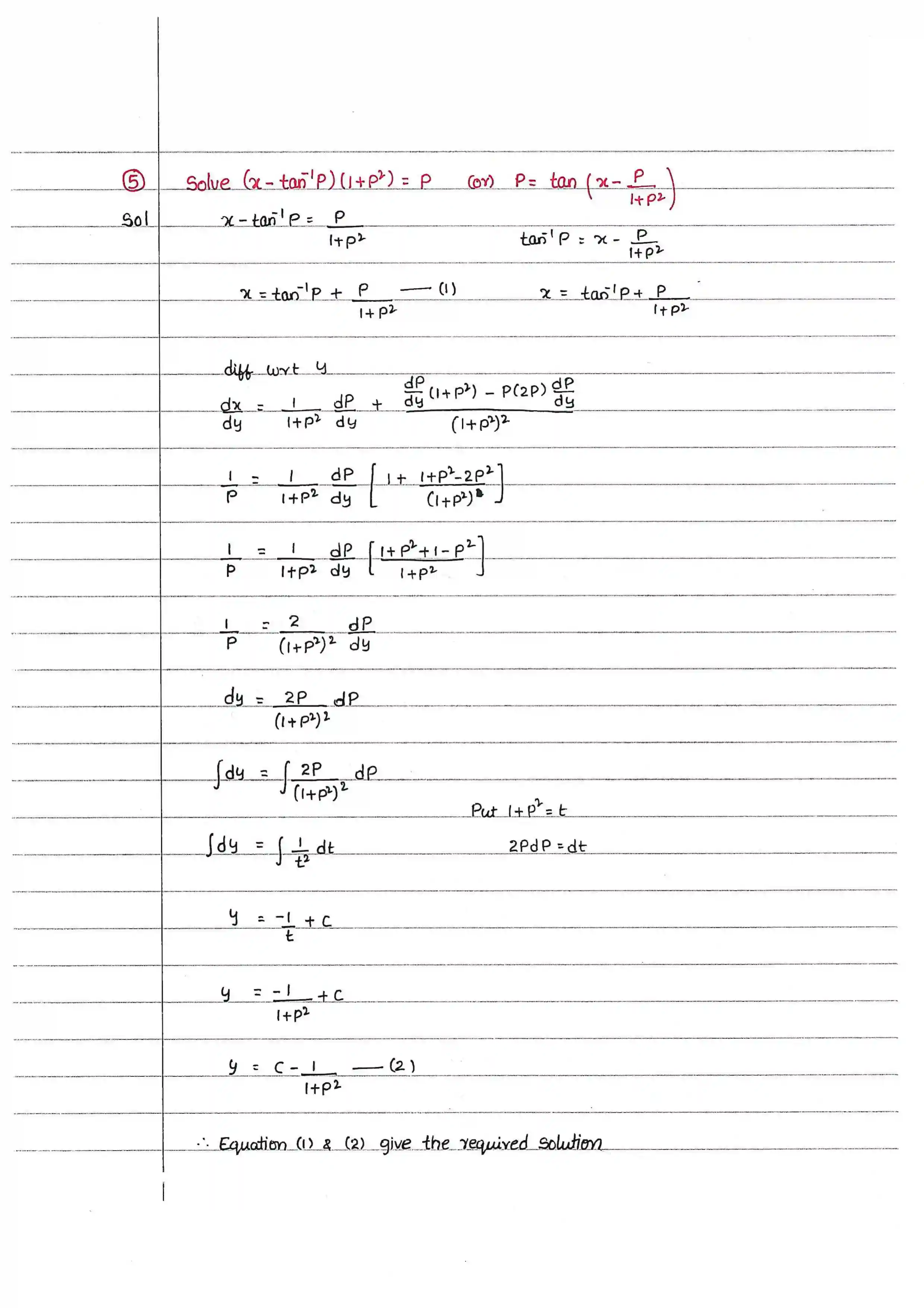
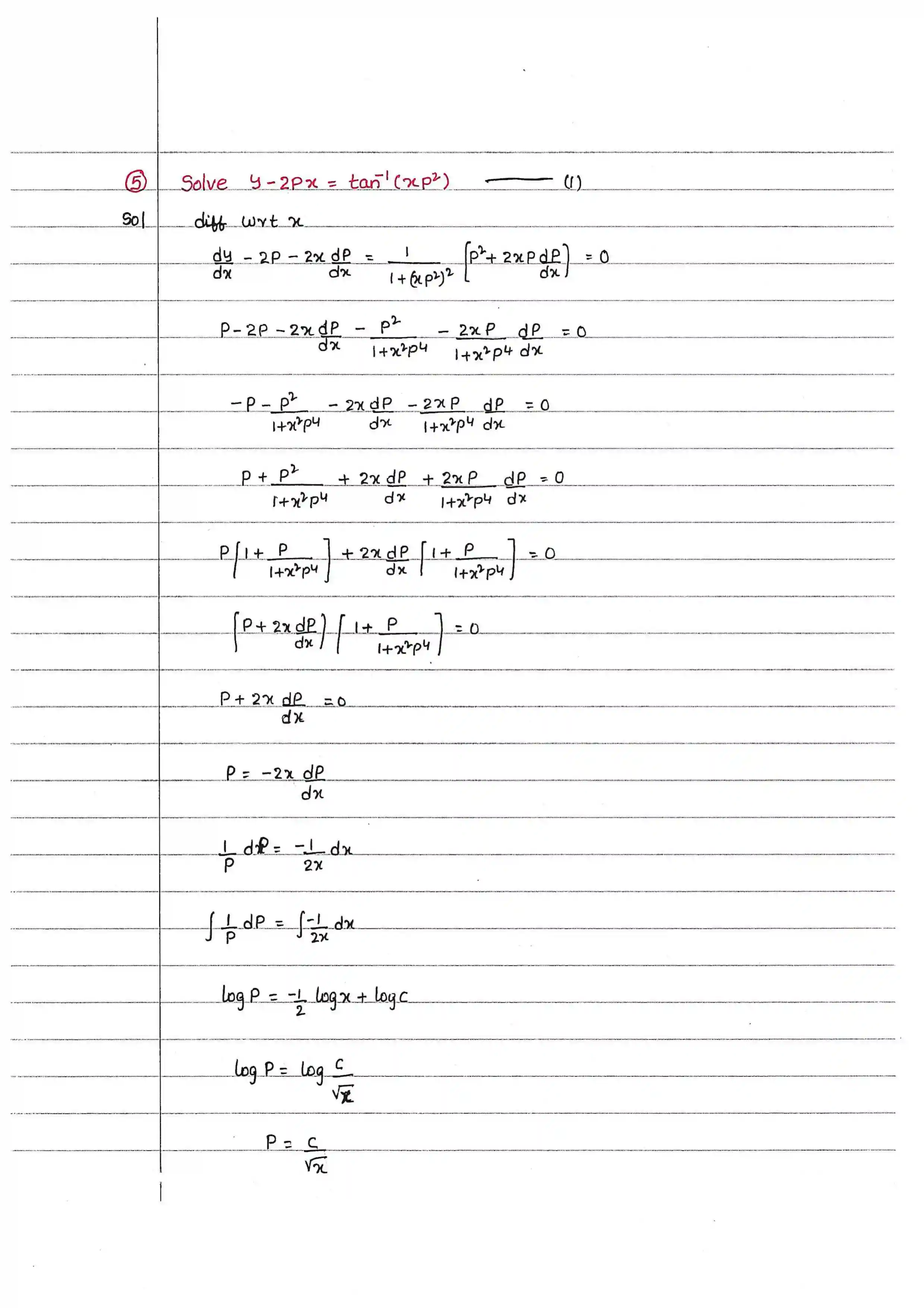
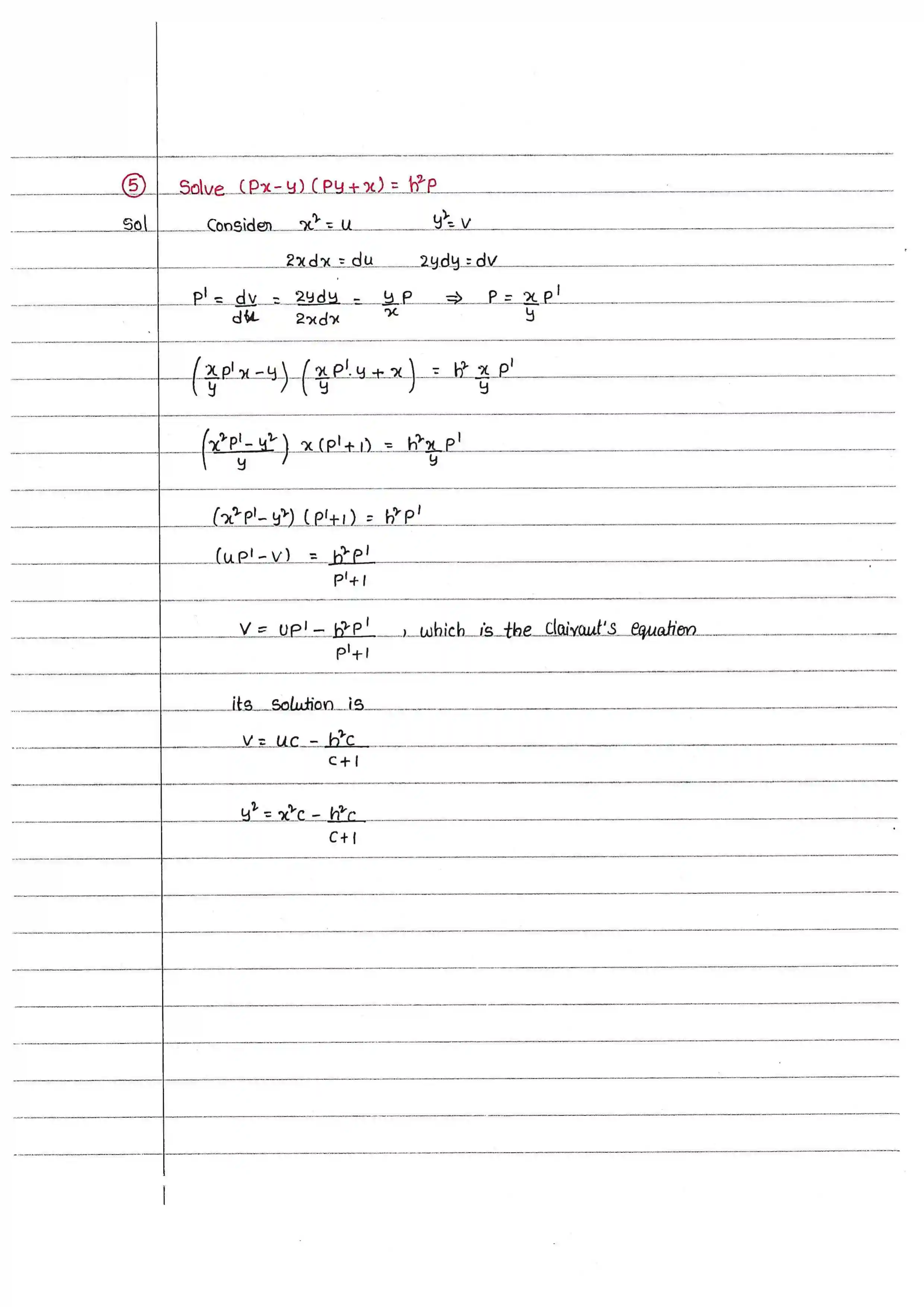
DE of First order and Higher Degree
Notes: Notes-1
Notes: Notes-1