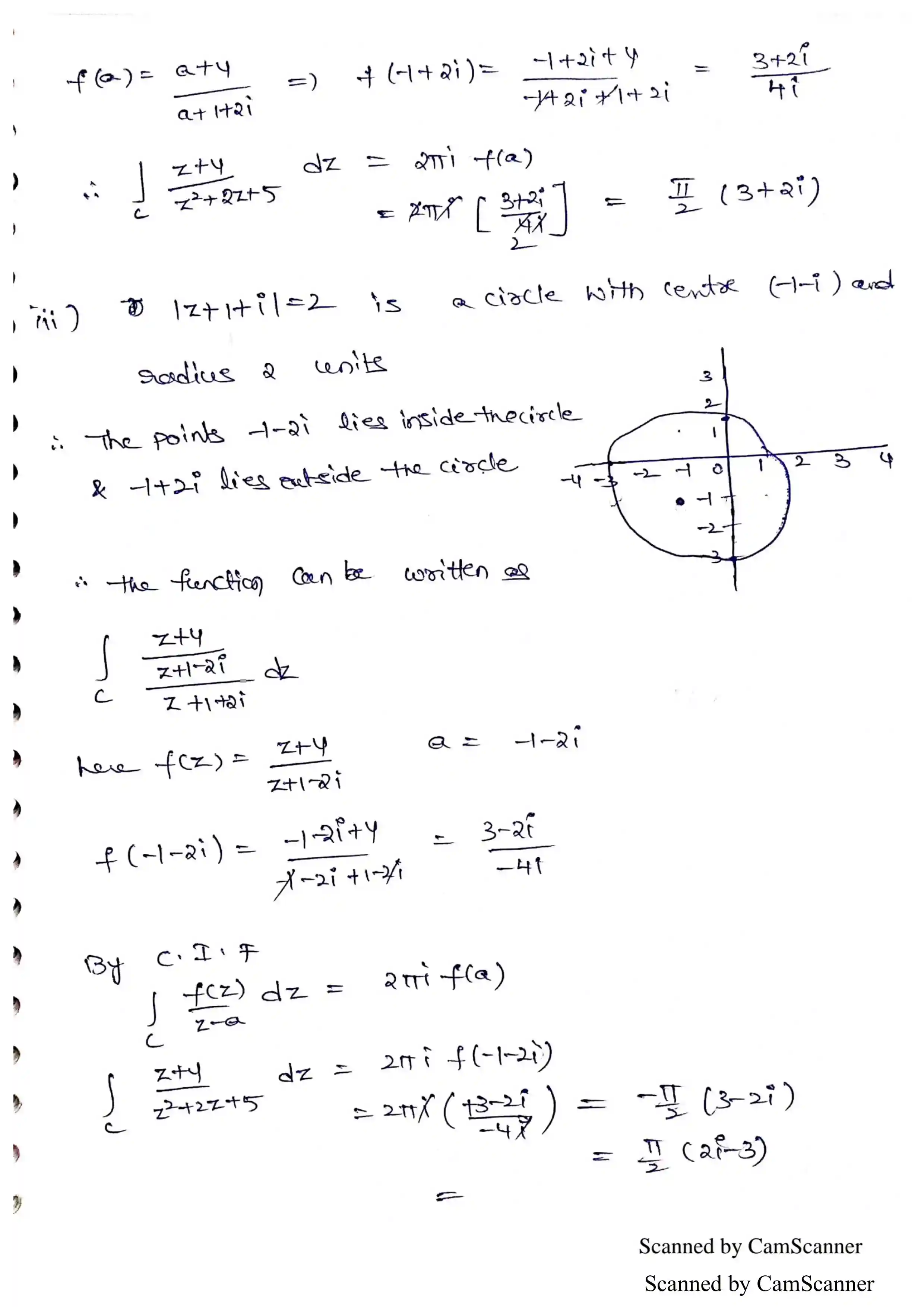
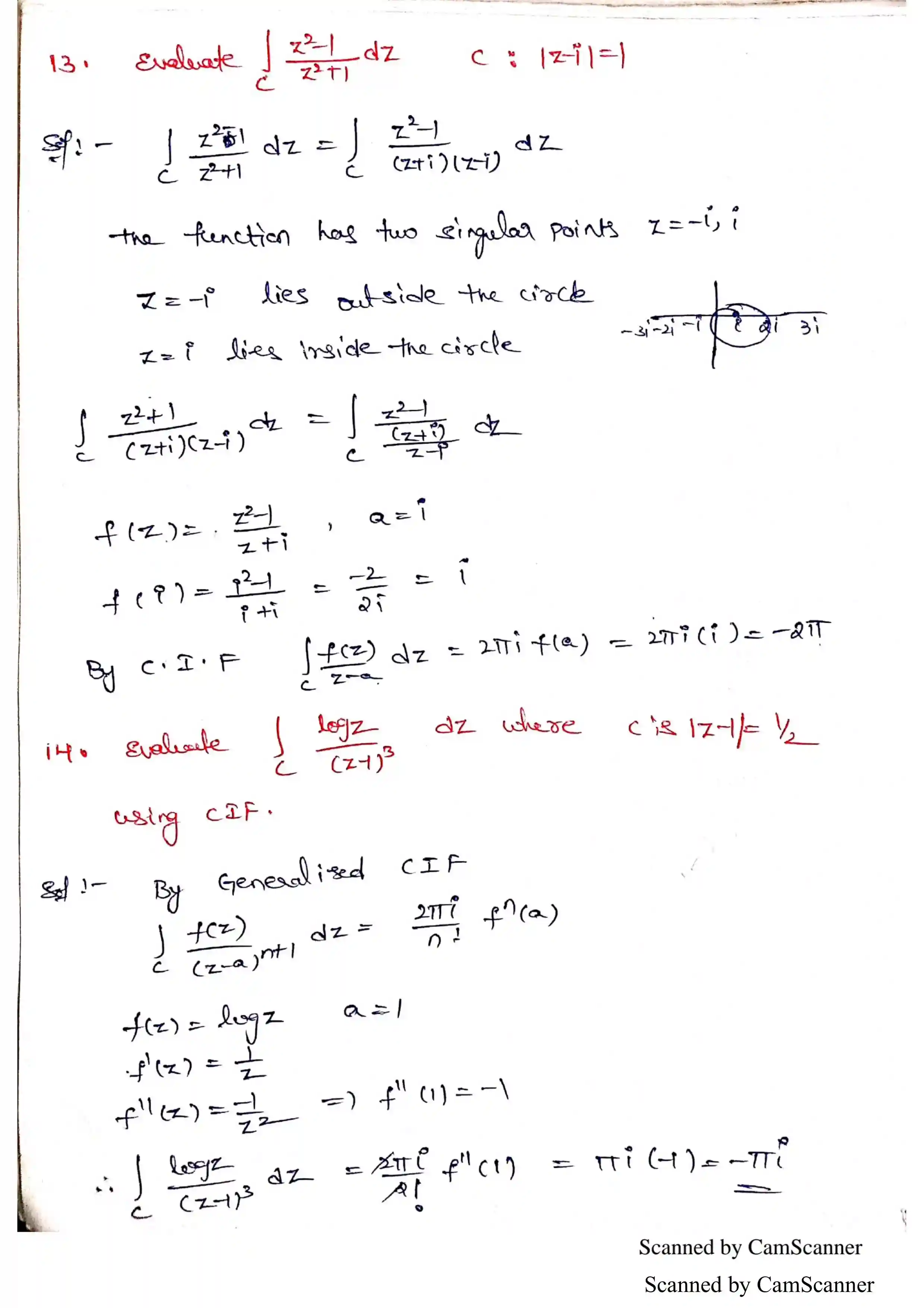
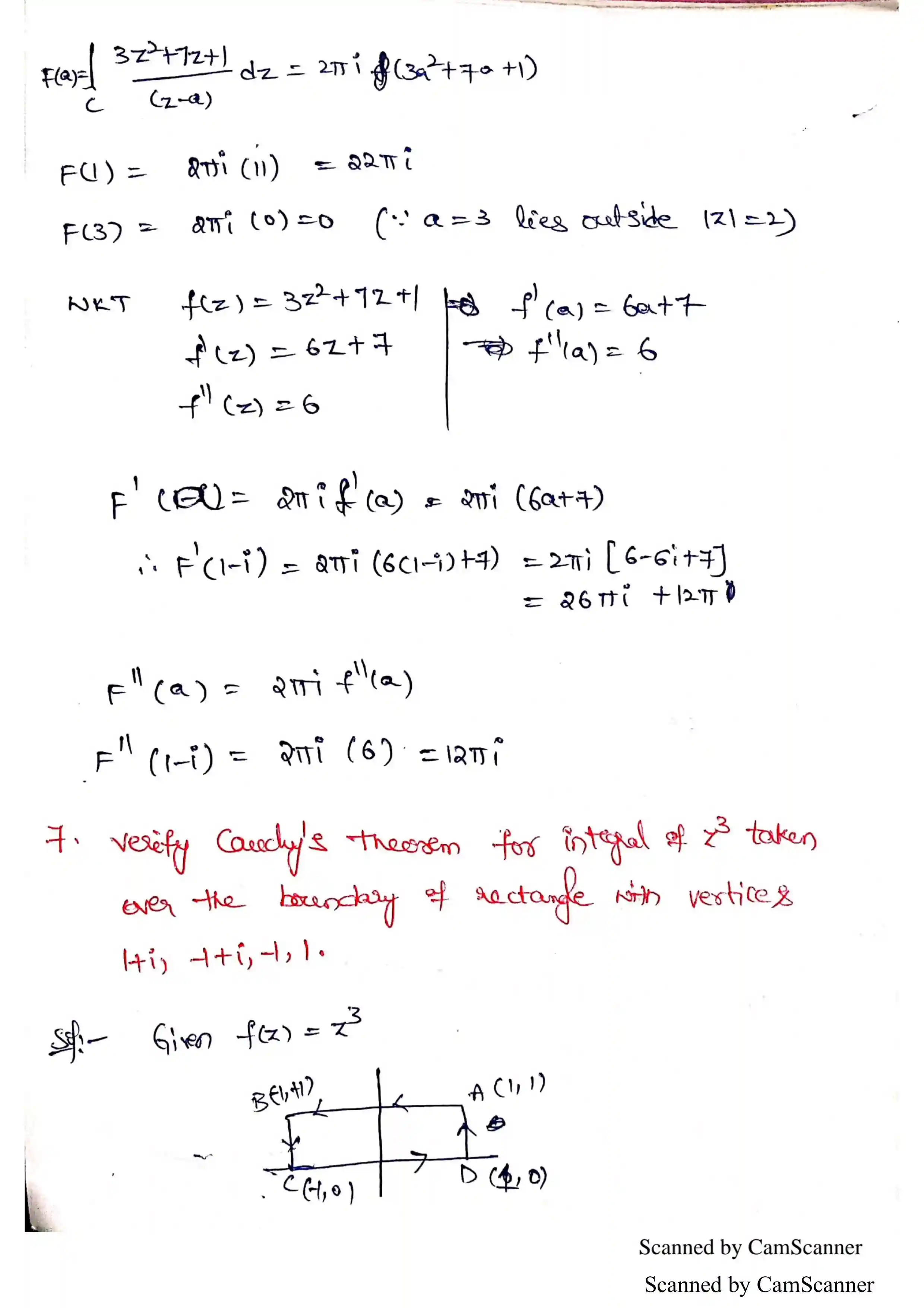
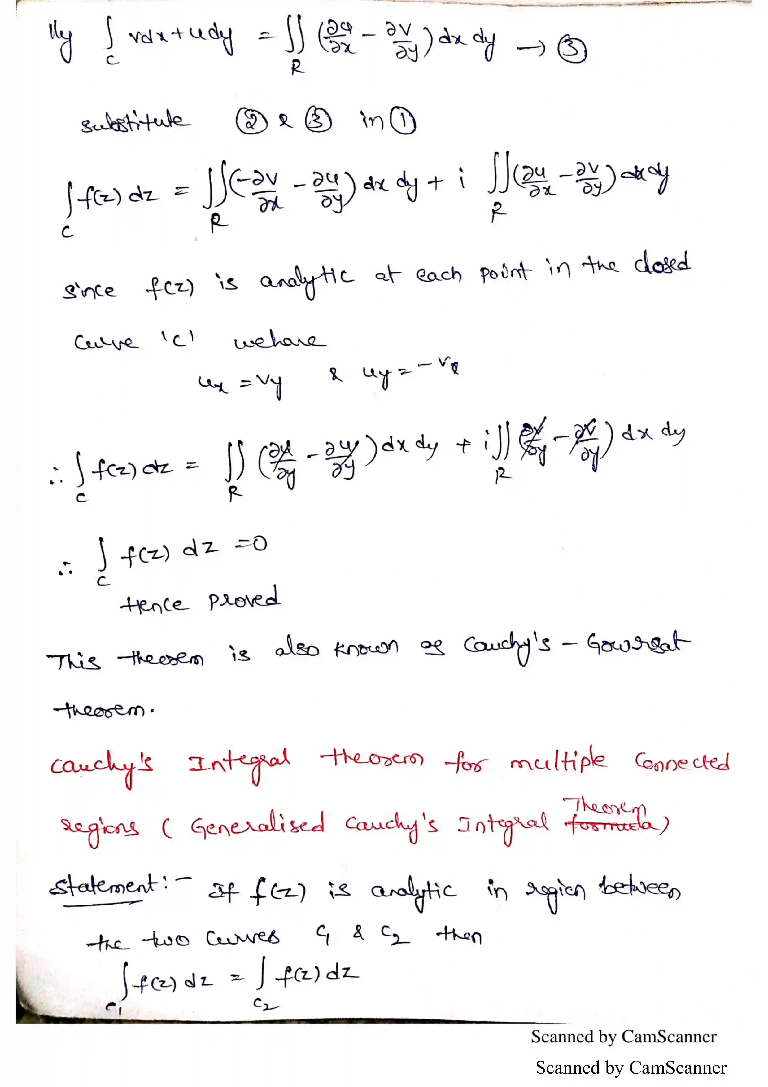
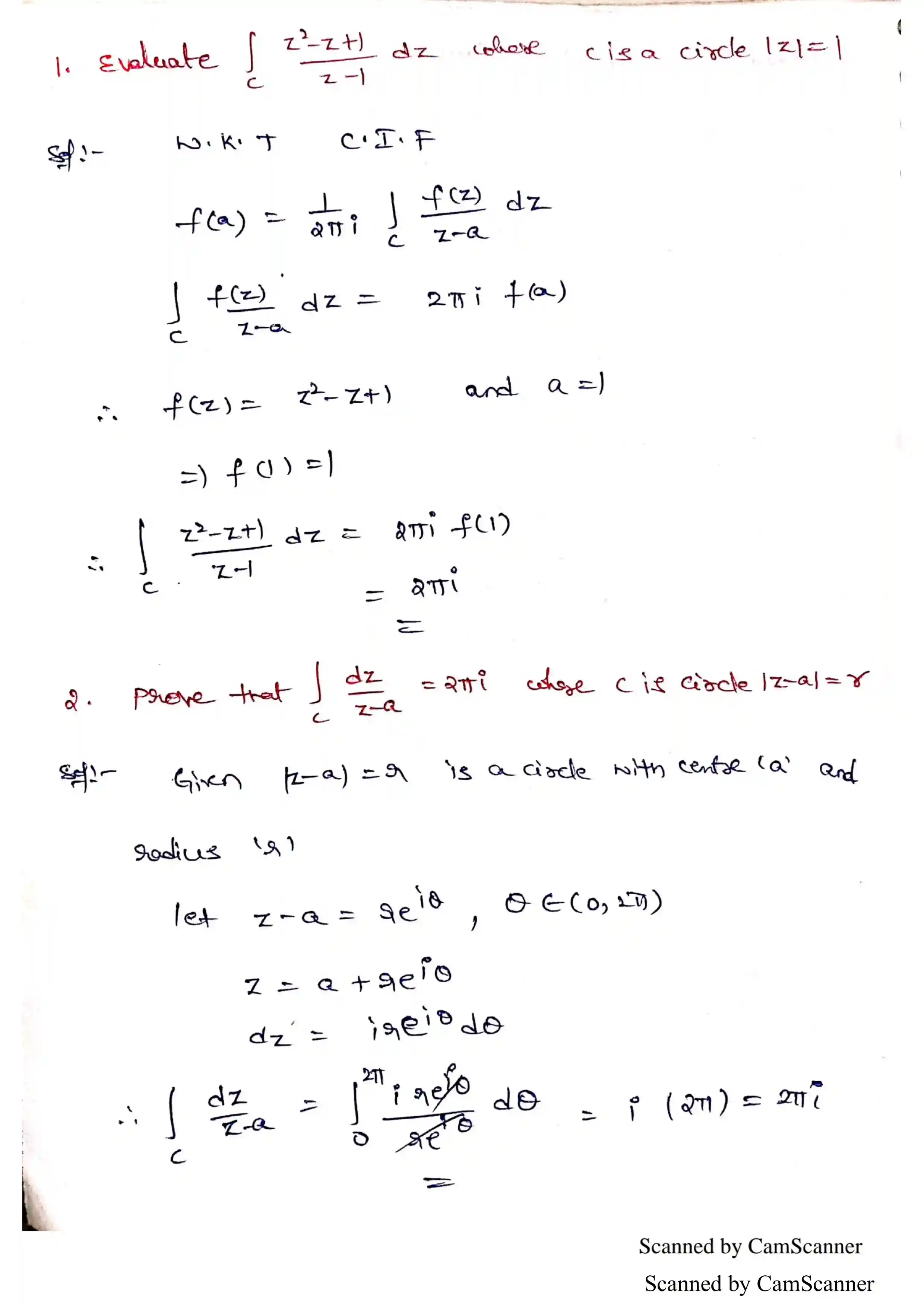
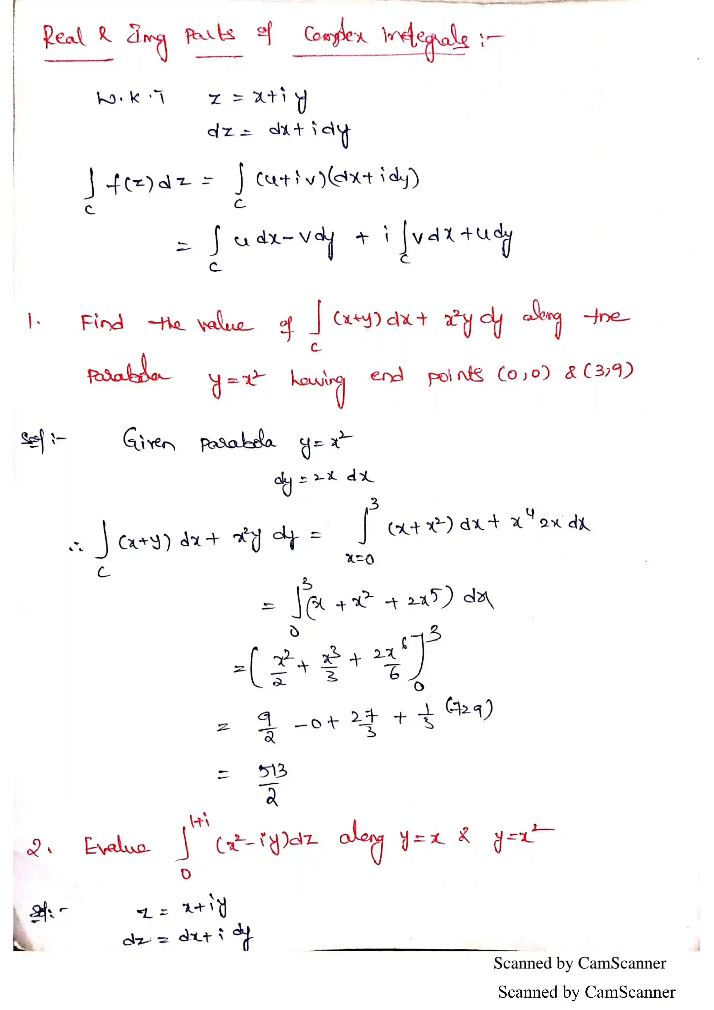
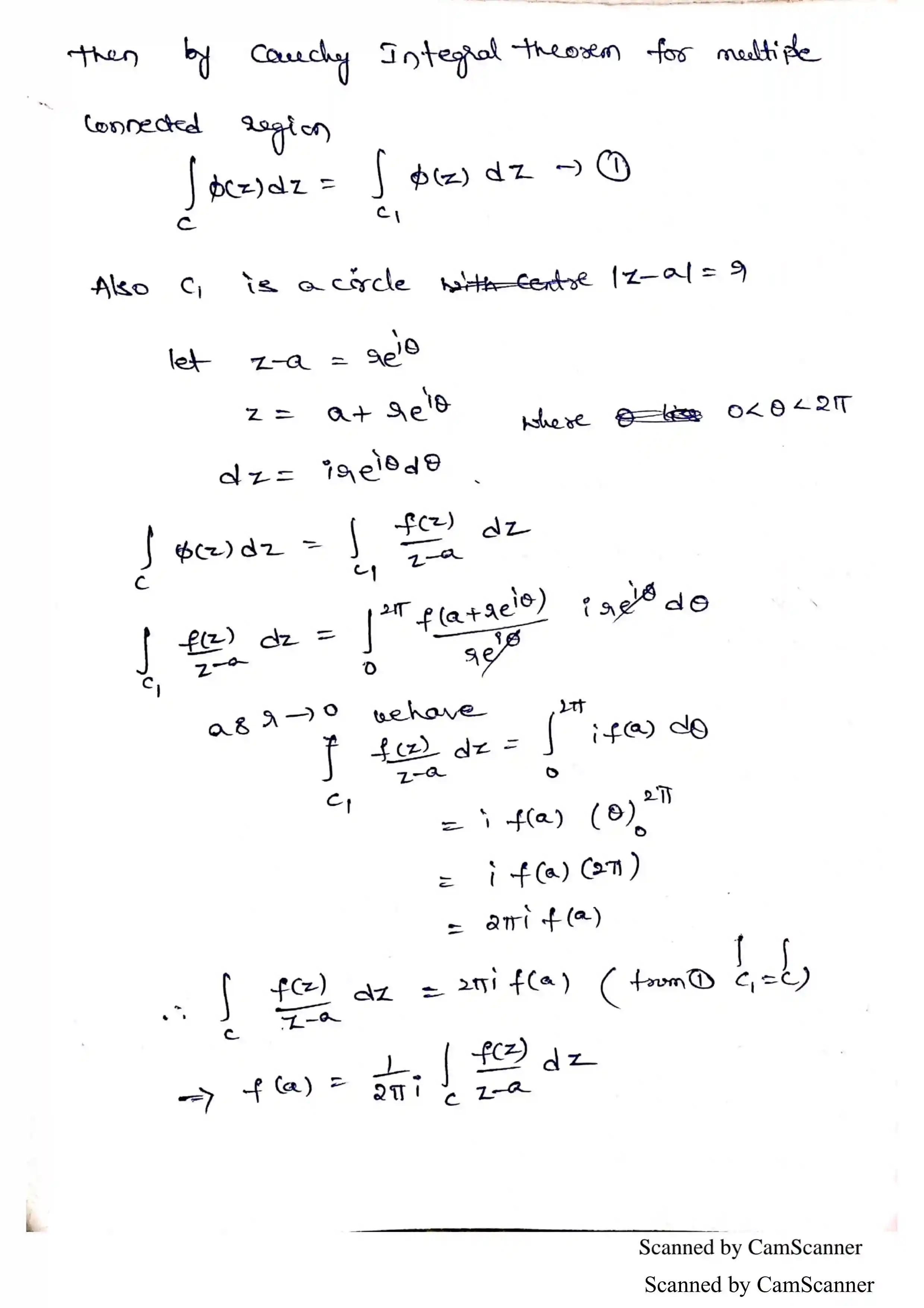
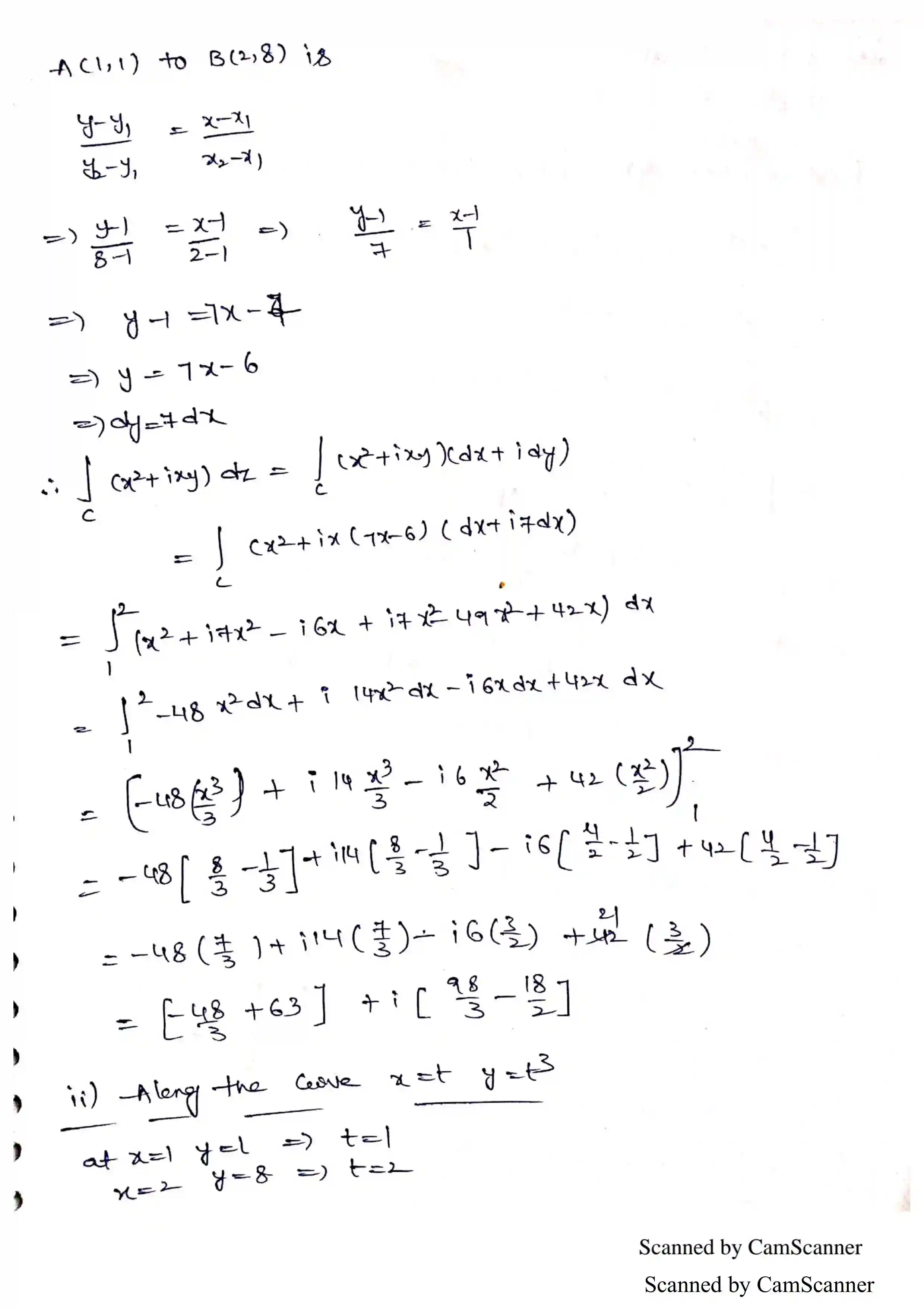
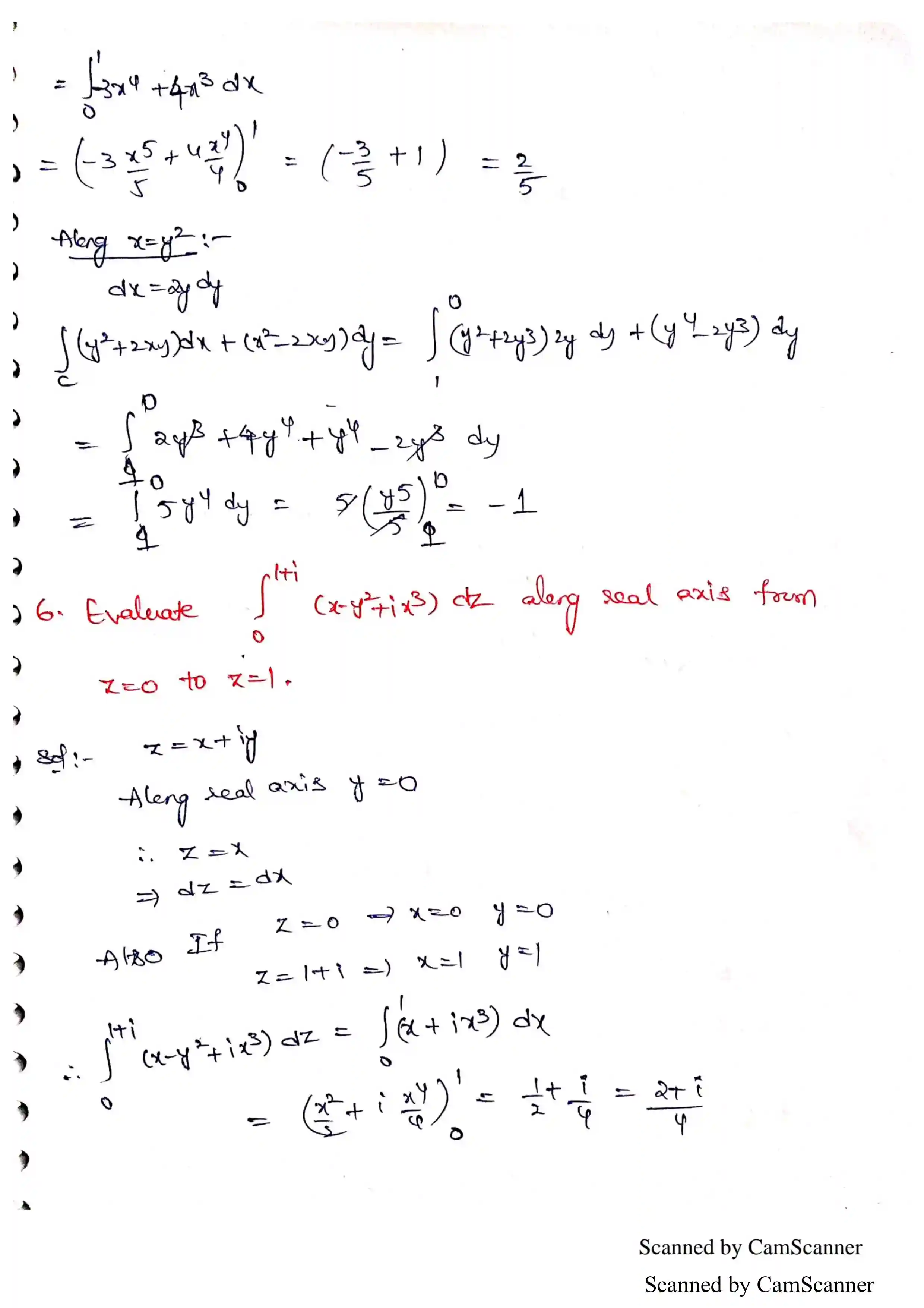
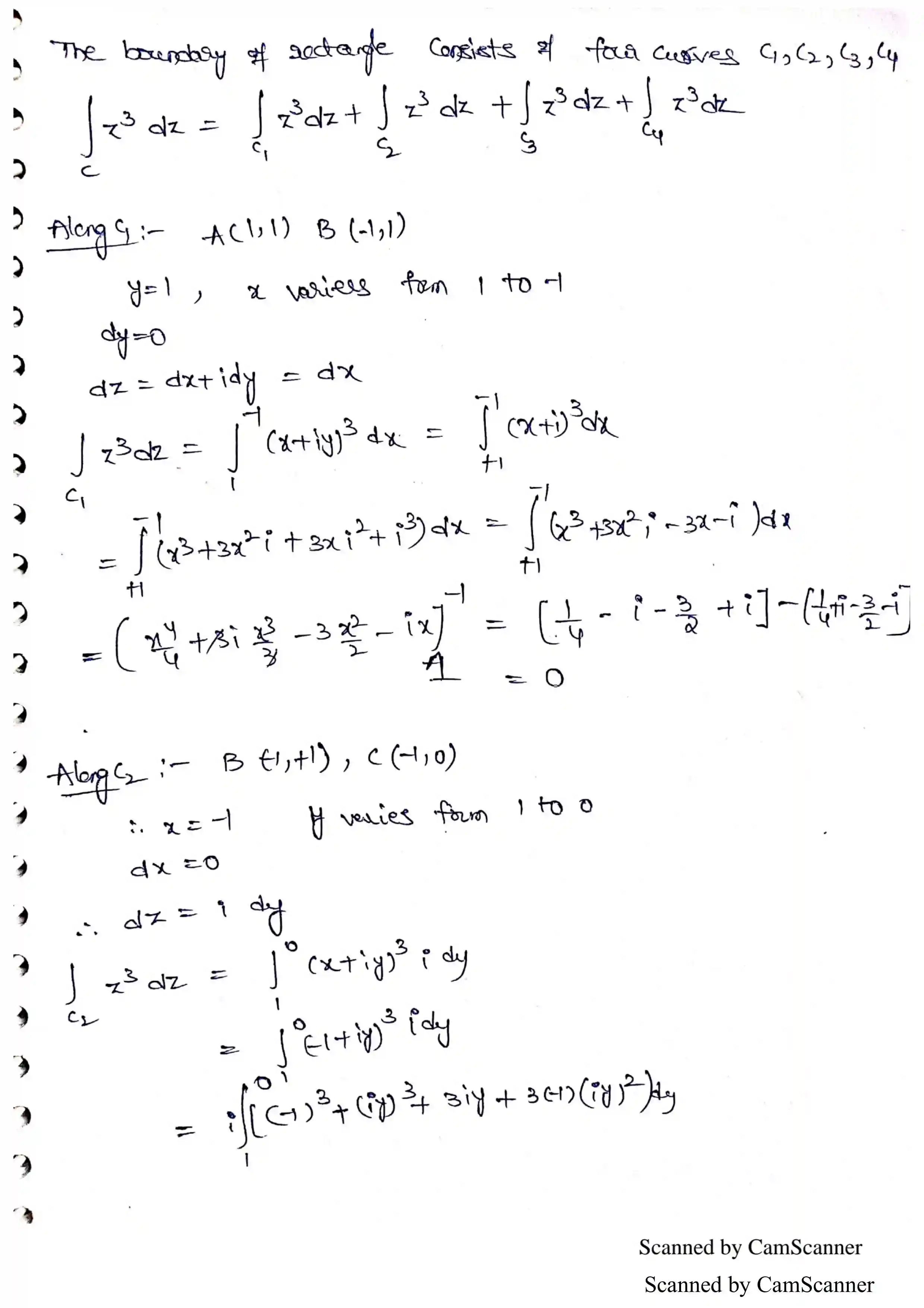
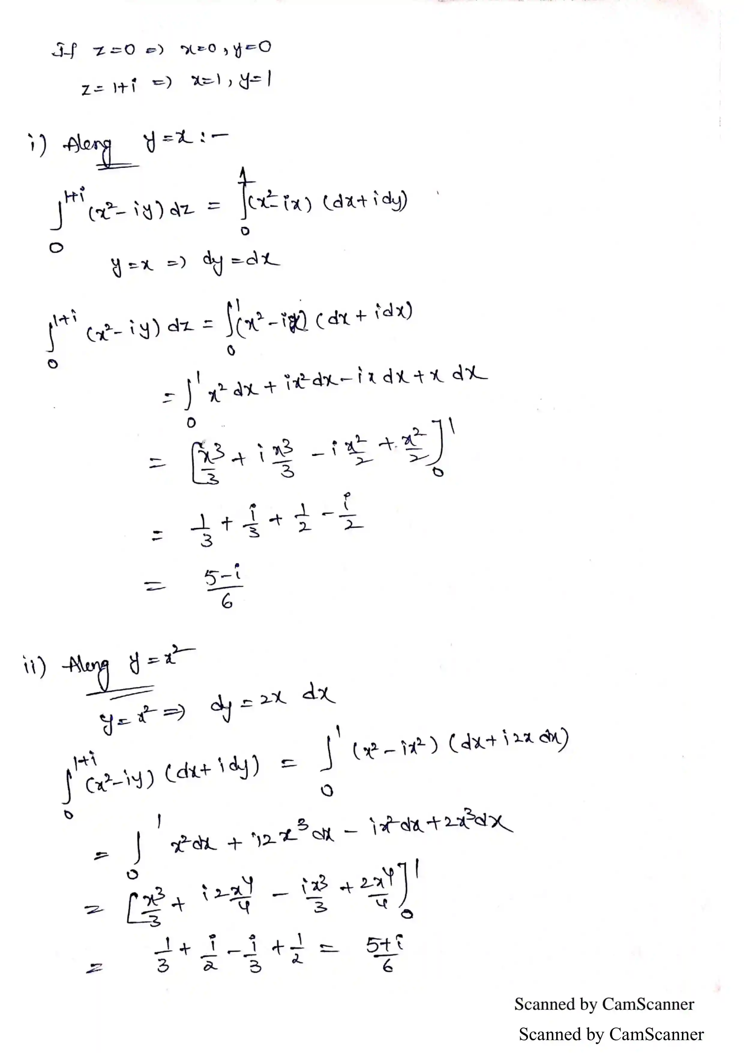
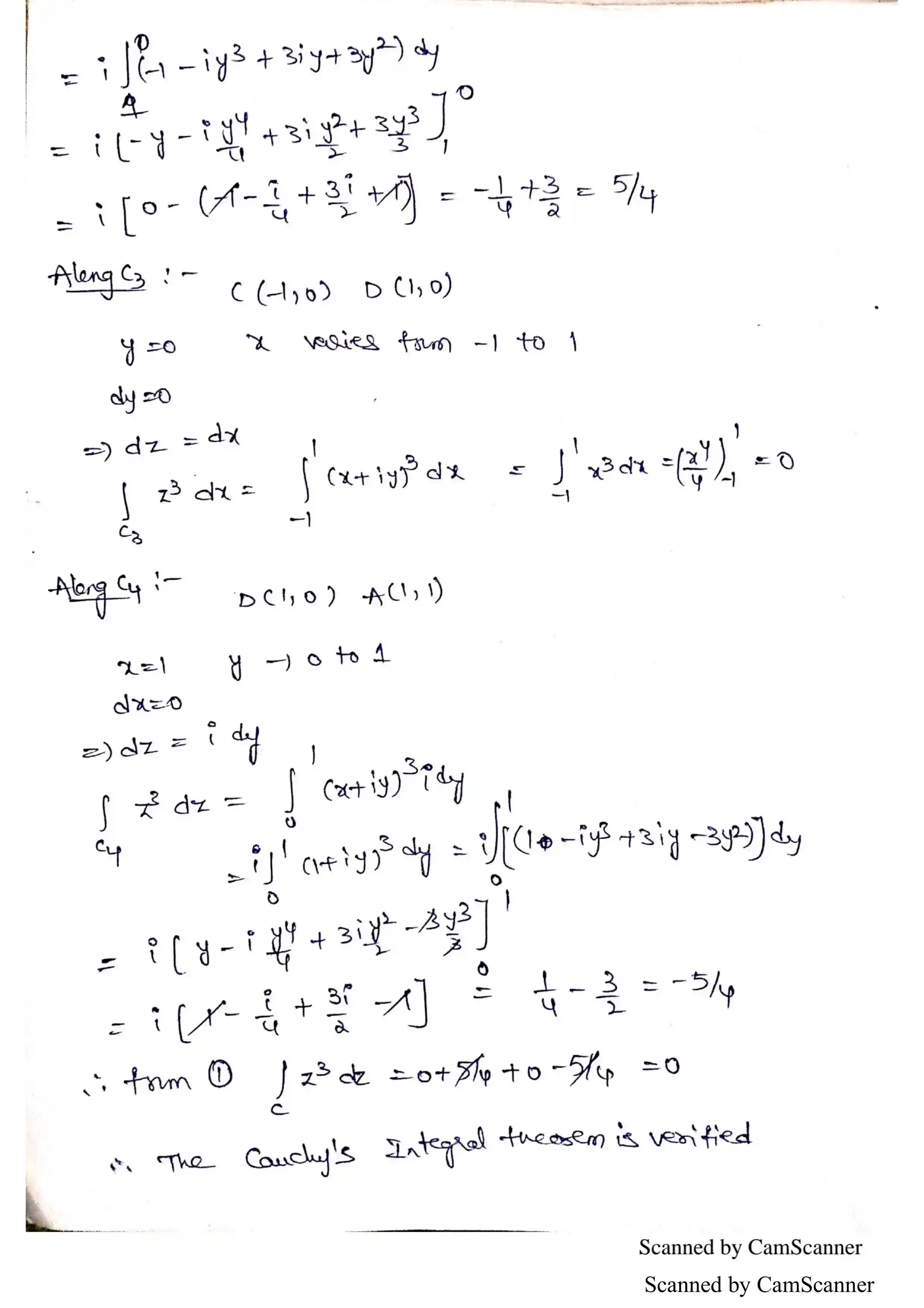
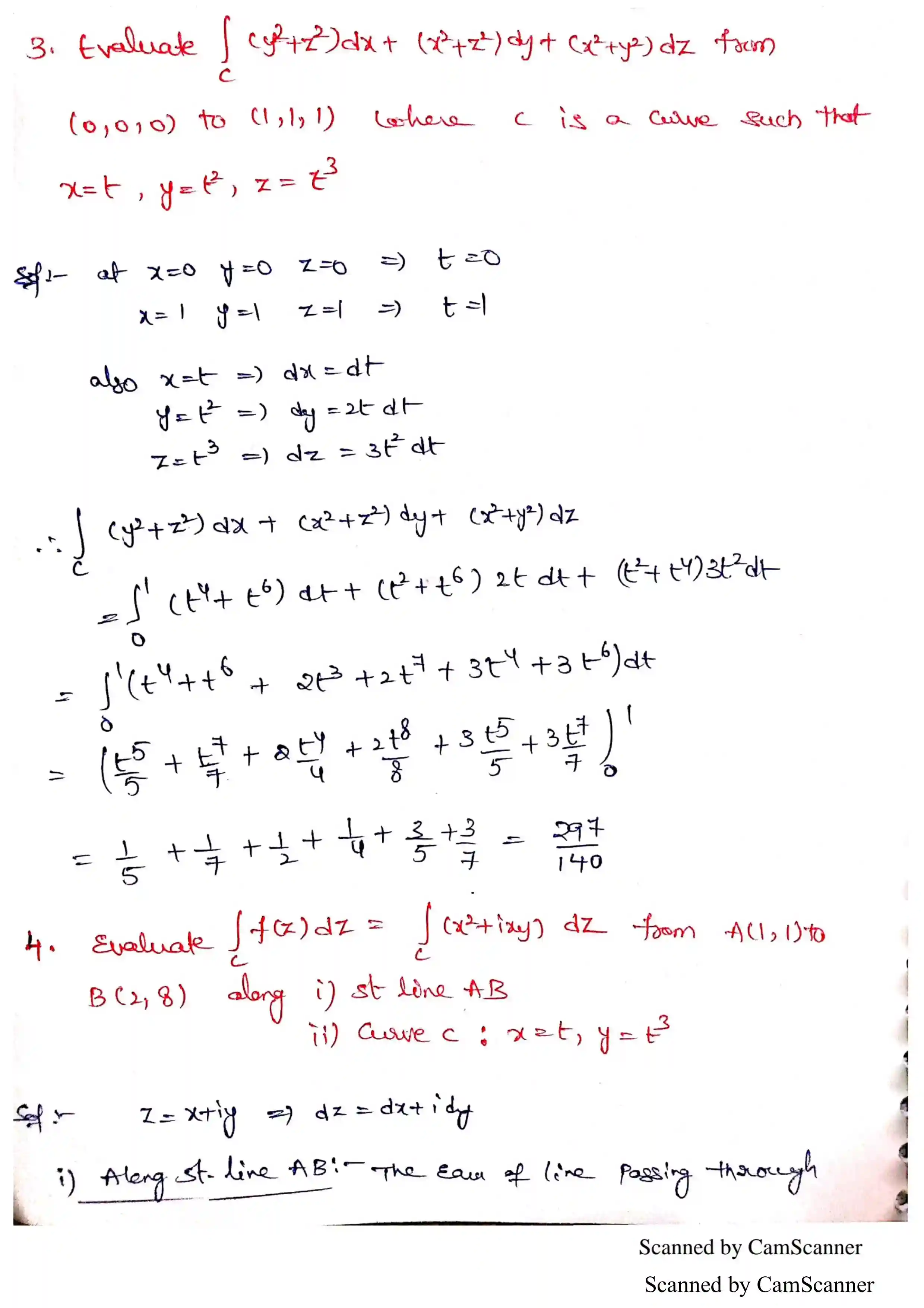
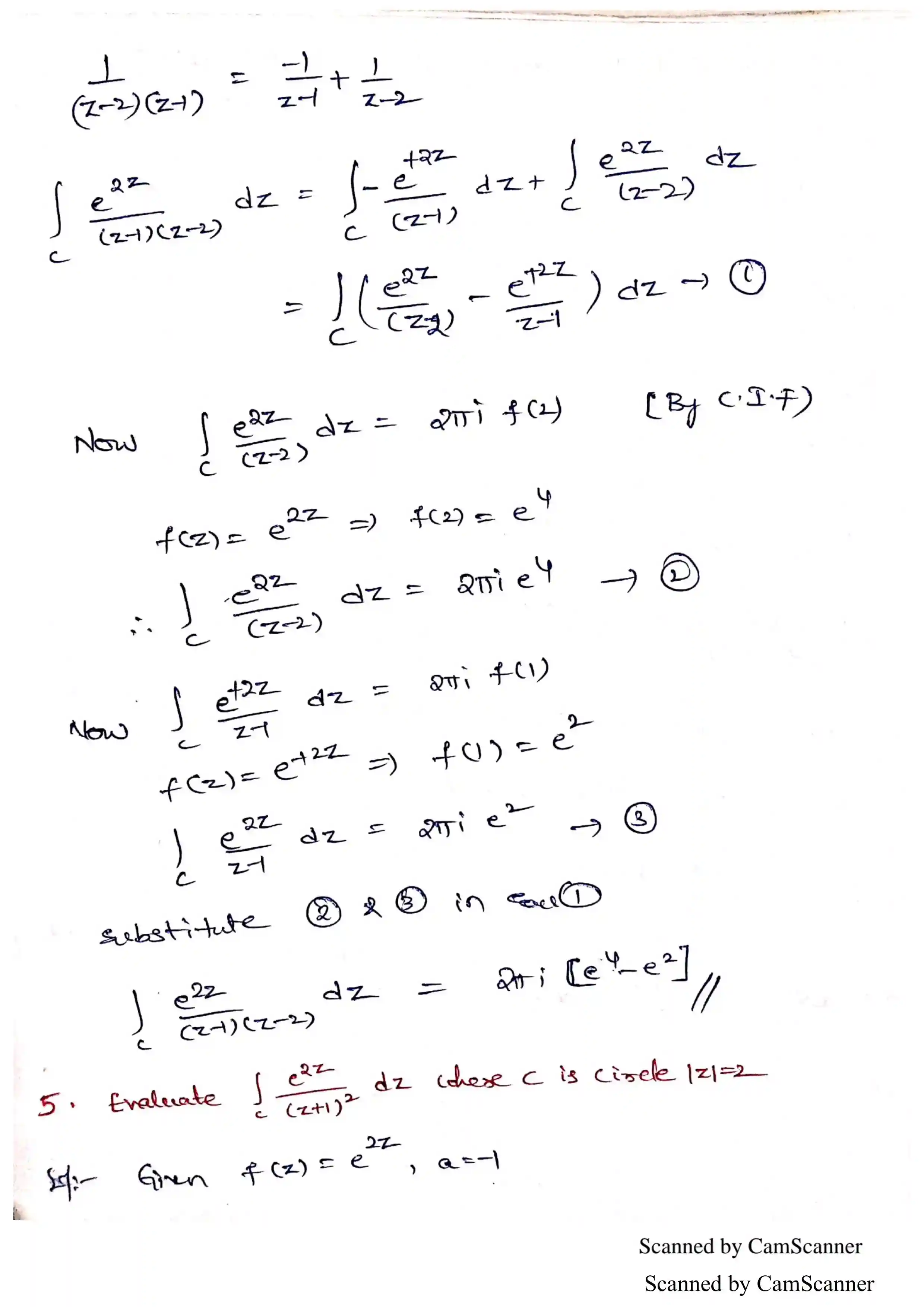
Complex Integration
Notes: Notes-1
Notes: Notes-1