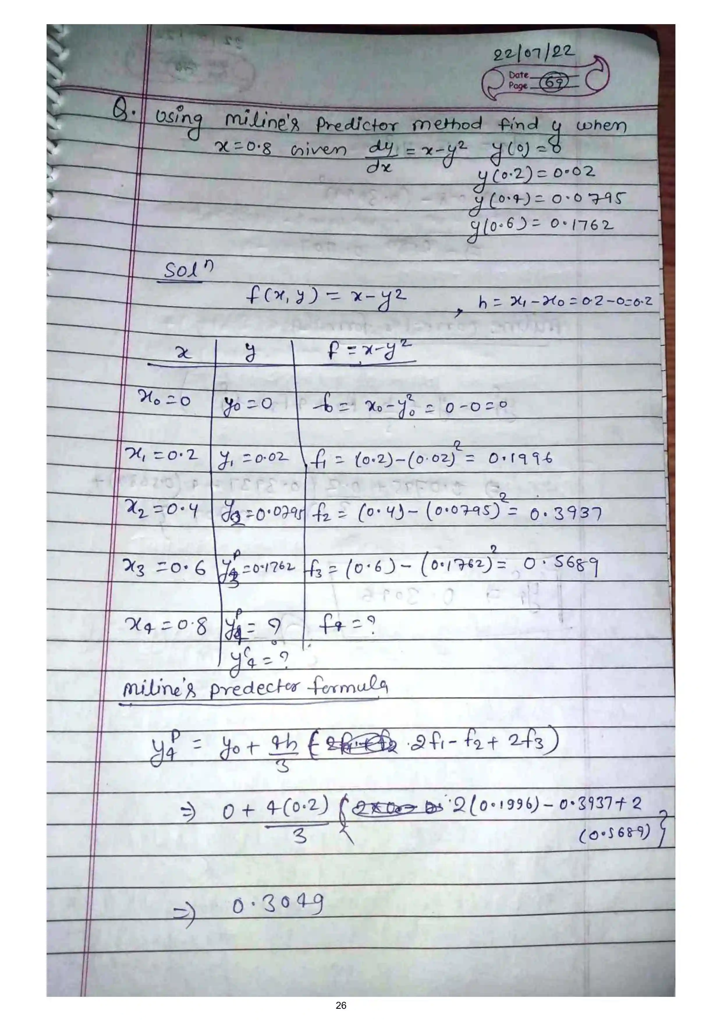
Numerical Solution of ODE
Notes: Notes-1
Notes: Notes-1