Home
Digital Notes
Hand Notes
Back
All Chapters
All Notes
All Subjects
All Branches
All Fields
All Chapters
Hand Notes
Applications Of Differential Equations
Beta Gama Function
Complex Integration
DE of First order and Higher Degree
Differential Calculus
Eigen Values and eigen vectors
Exact Differential Equations
First order Differential Equations
Functions Of Complex Variable
Higher Order DE (Continue)
Higher Order Differential Equation
Interpolation
Inverse Laplace Transform
Laplace Transform
Linear And Bernoulli's Differential Equations
Multiple Integrals
Numerical Integration
Numerical Solution of ODE
Numerical solution of algebraic eq
PDE (Continue..)
Partial Differential Equation
Partial Differentiation
Rank_of_matrix (current)
Sequence And Series
Solving_system_of_equations
Vector Differentiation
Vector Integration
All Notes Sets
BEE Notes-1
C Notes-1
CD Notes-1
COA Notes-1
DAA Notes-1
DM Notes-1
DSP Notes-1
ES Notes-1
JAVA Notes-1
LDIC Notes-1
P and S Notes-1
TOA Notes-1
COA Notes-2
DM Notes-2
LDIC Notes-2
Maths Notes-2
P and S Notes-2
PHY Notes-2
PTSP Notes-1
DE Notes-1
DM Notes-3
EDC Notes-1
EMF Notes-1
Manikantta Reddy Sir's Notes
NA Notes-1
SS Notes-1
DM Notes-4
Shrenik jain sir's notes
DM Notes-5
Notes-1 (current)
Notes-1
PHY Notes-1
All Subjects
Engineering Physics
Probability And Statistics
C Programming
Engineering Mathematics (current)
All Branches
Civil Engineering
Computers Science And Engineering
Electrical And Electronics Engineering
Electronics and Communication Engineering
Mechanical Engineering (current)
All Fields
ENGINEERING
Pharmacy
← Previous
All Chapters
Next →
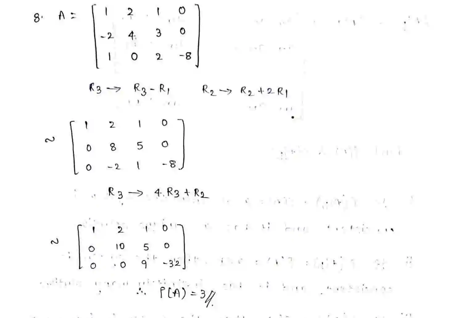
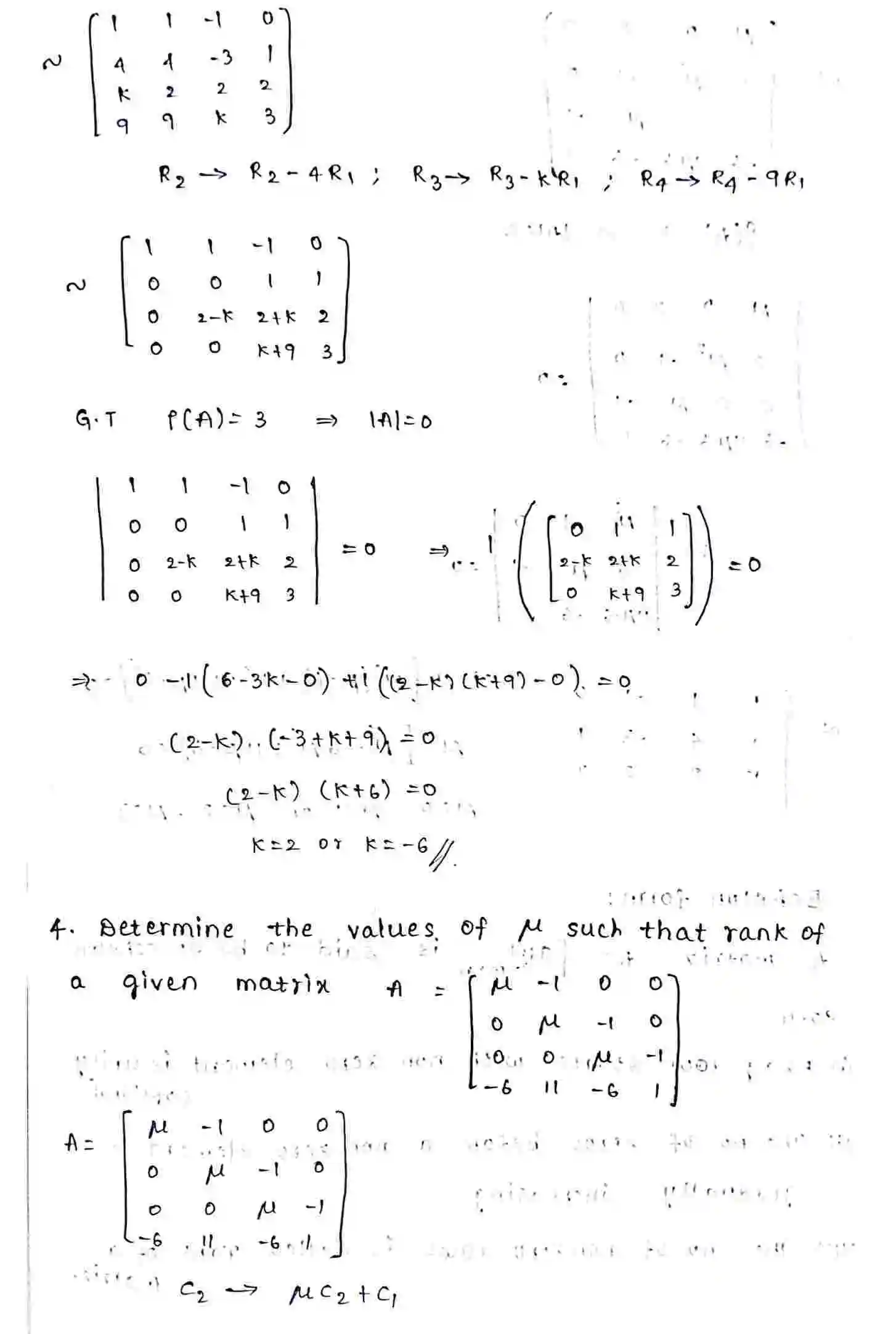
Rank_of_matrix
Notes:
Notes-1
← Previous Chapter
All Chapters
Next Chapter →