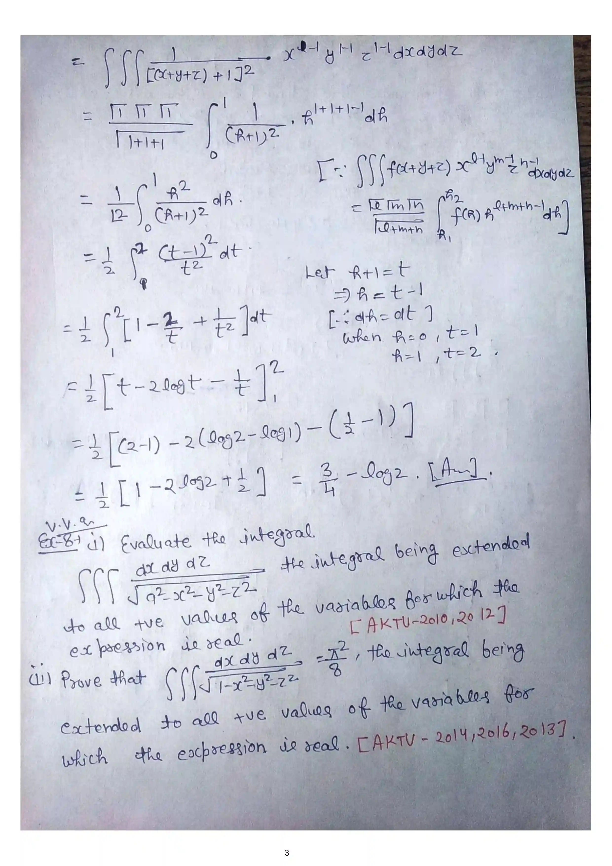
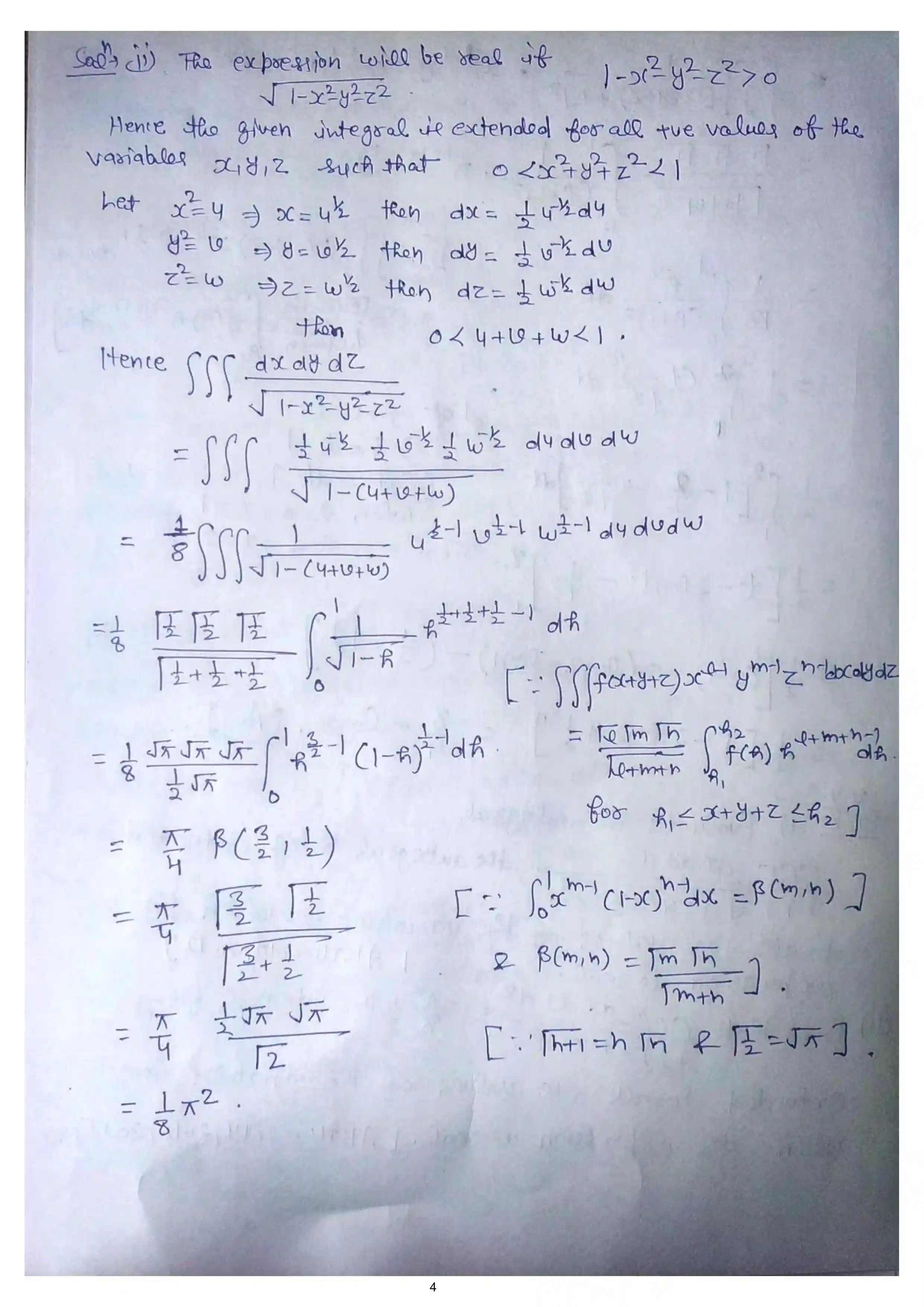
Beta Gama Function
Notes: Notes-1
Notes: Notes-1