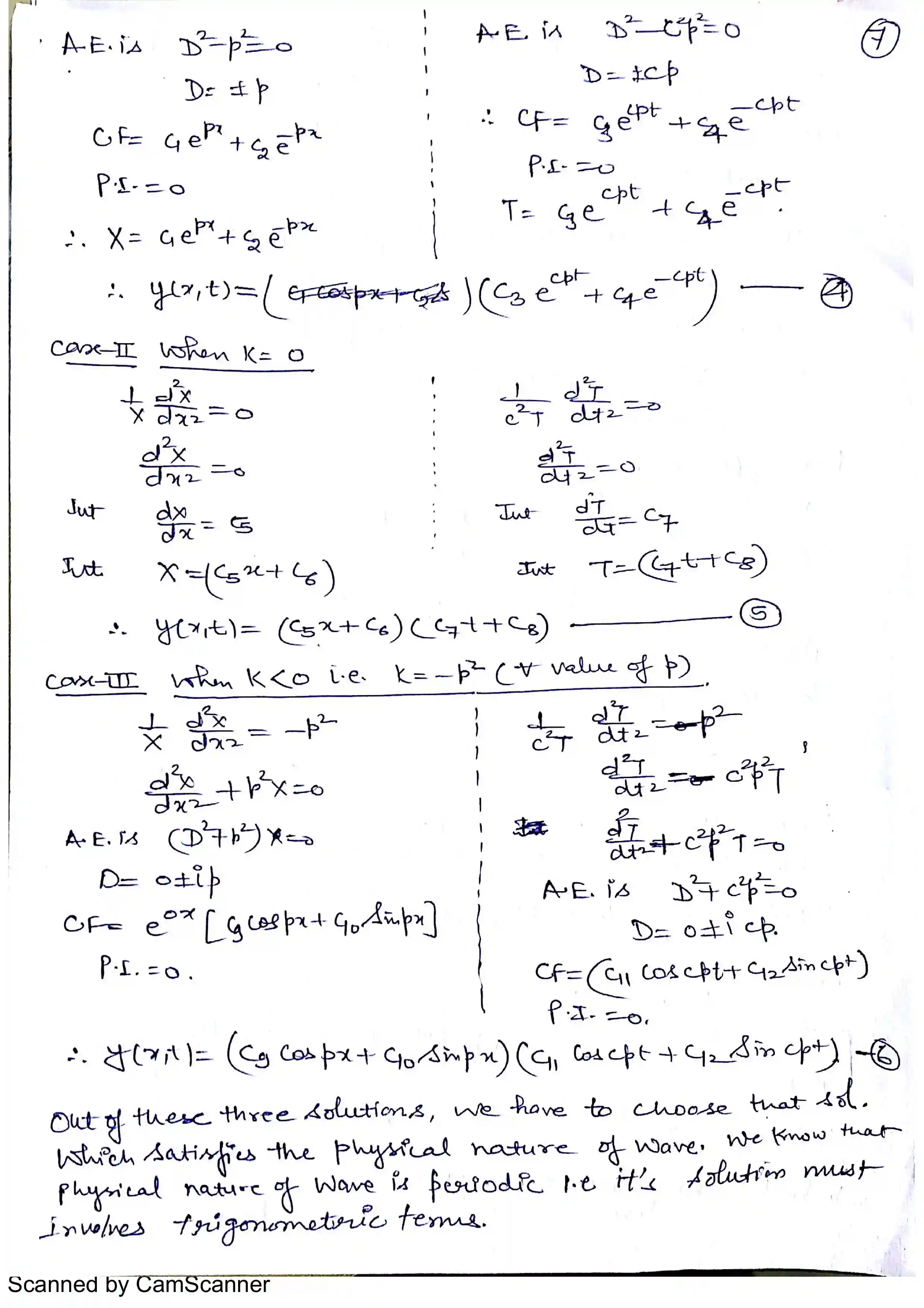
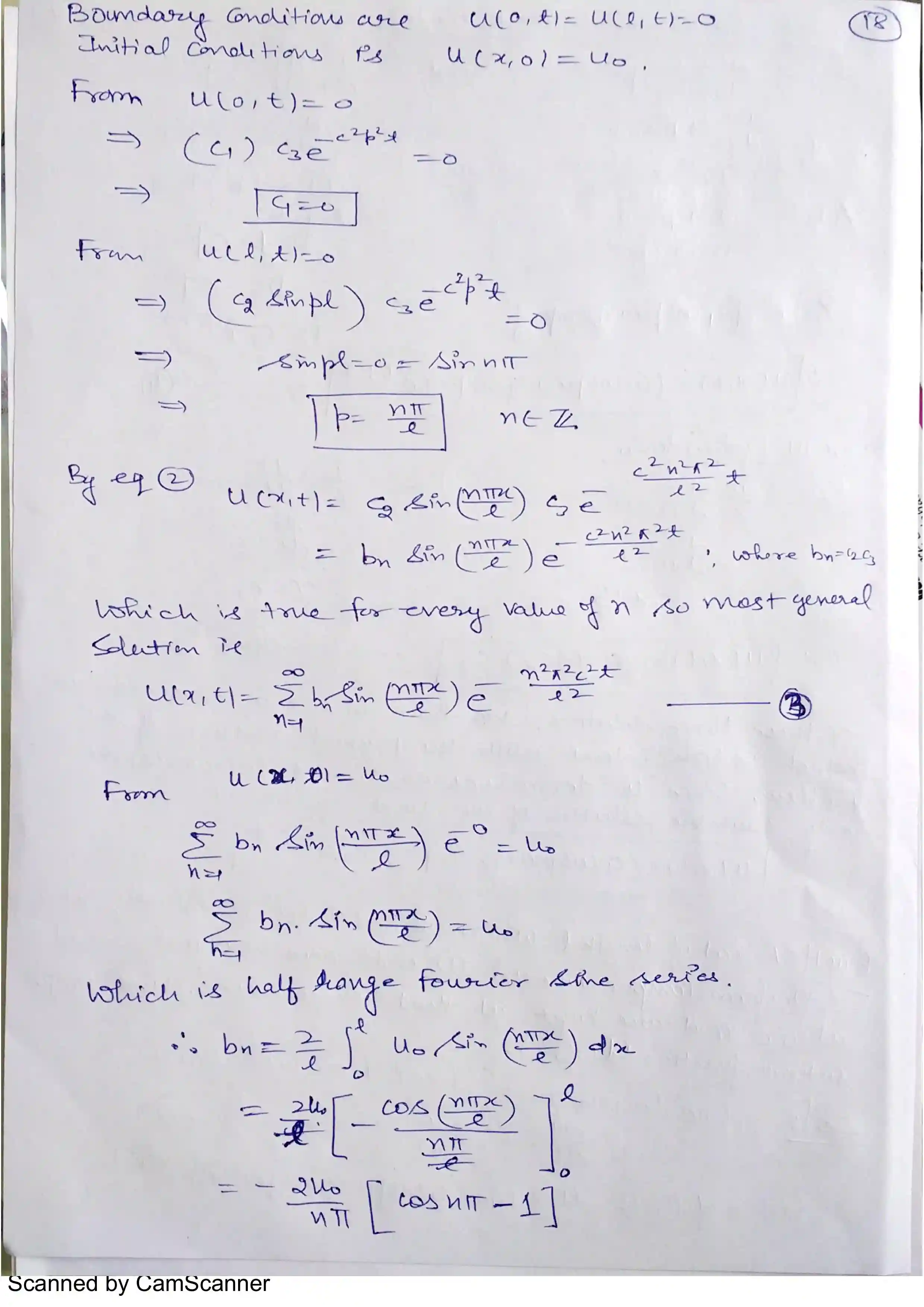
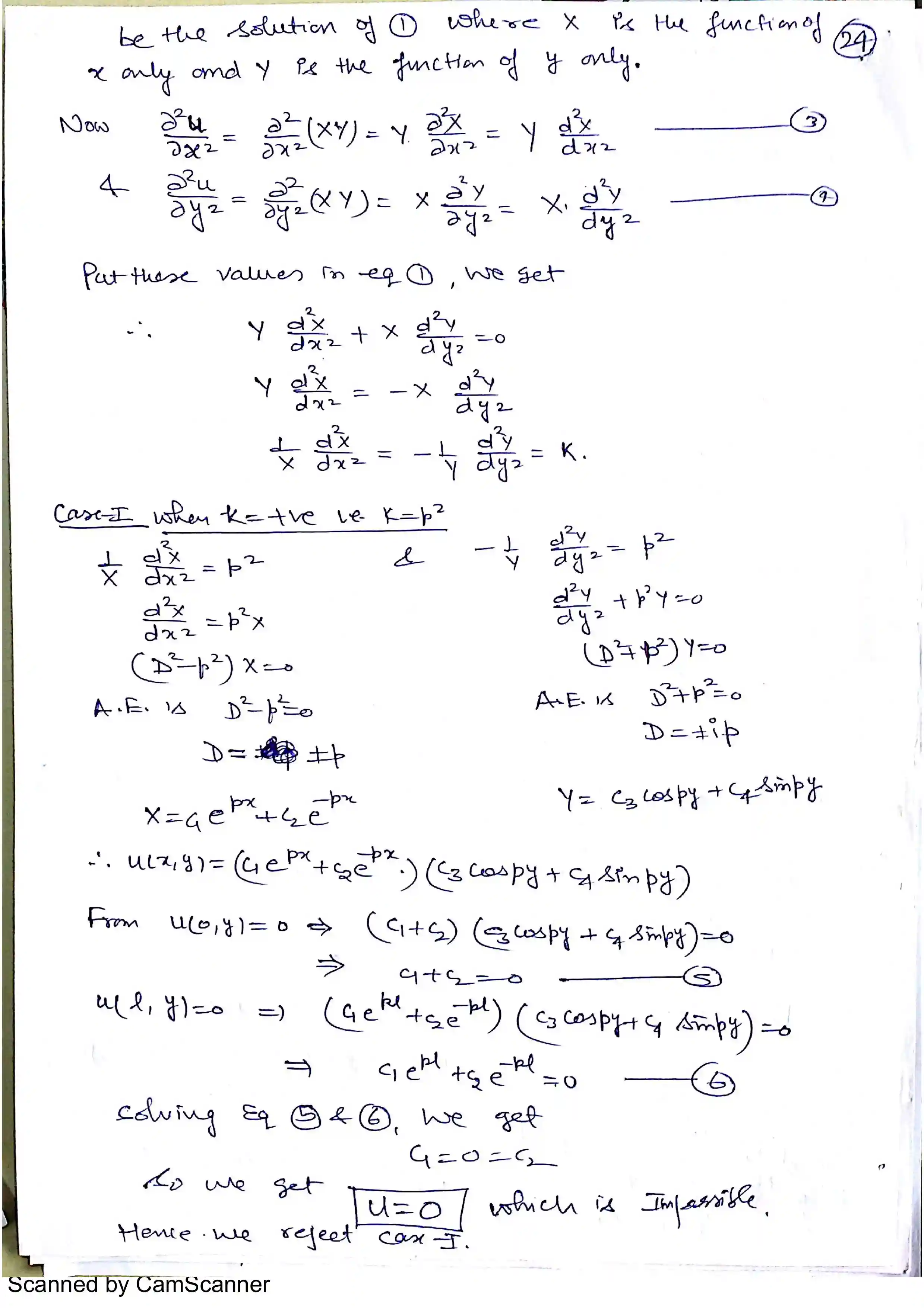
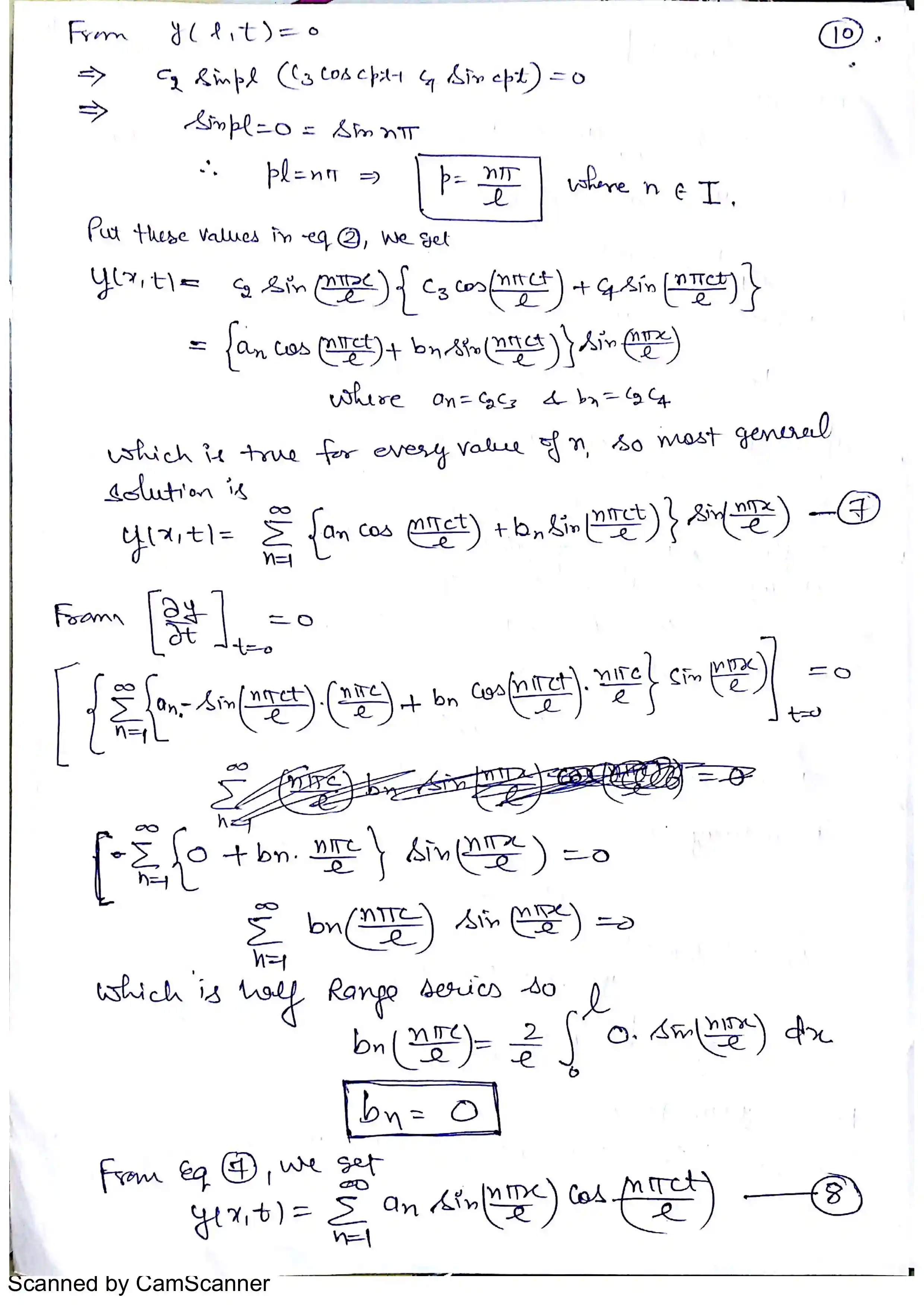
PDE (Continue..)
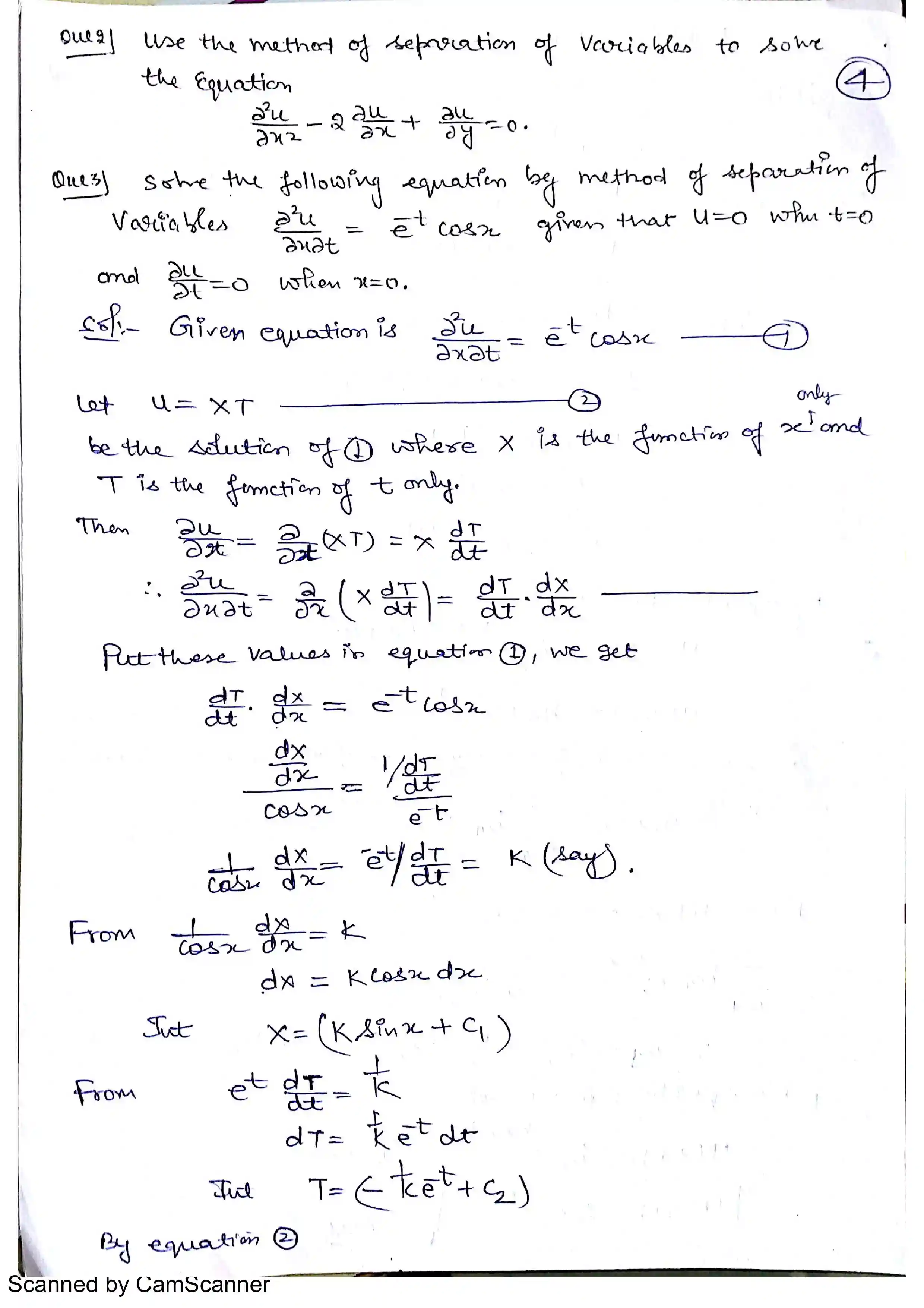
Notes: Notes-1
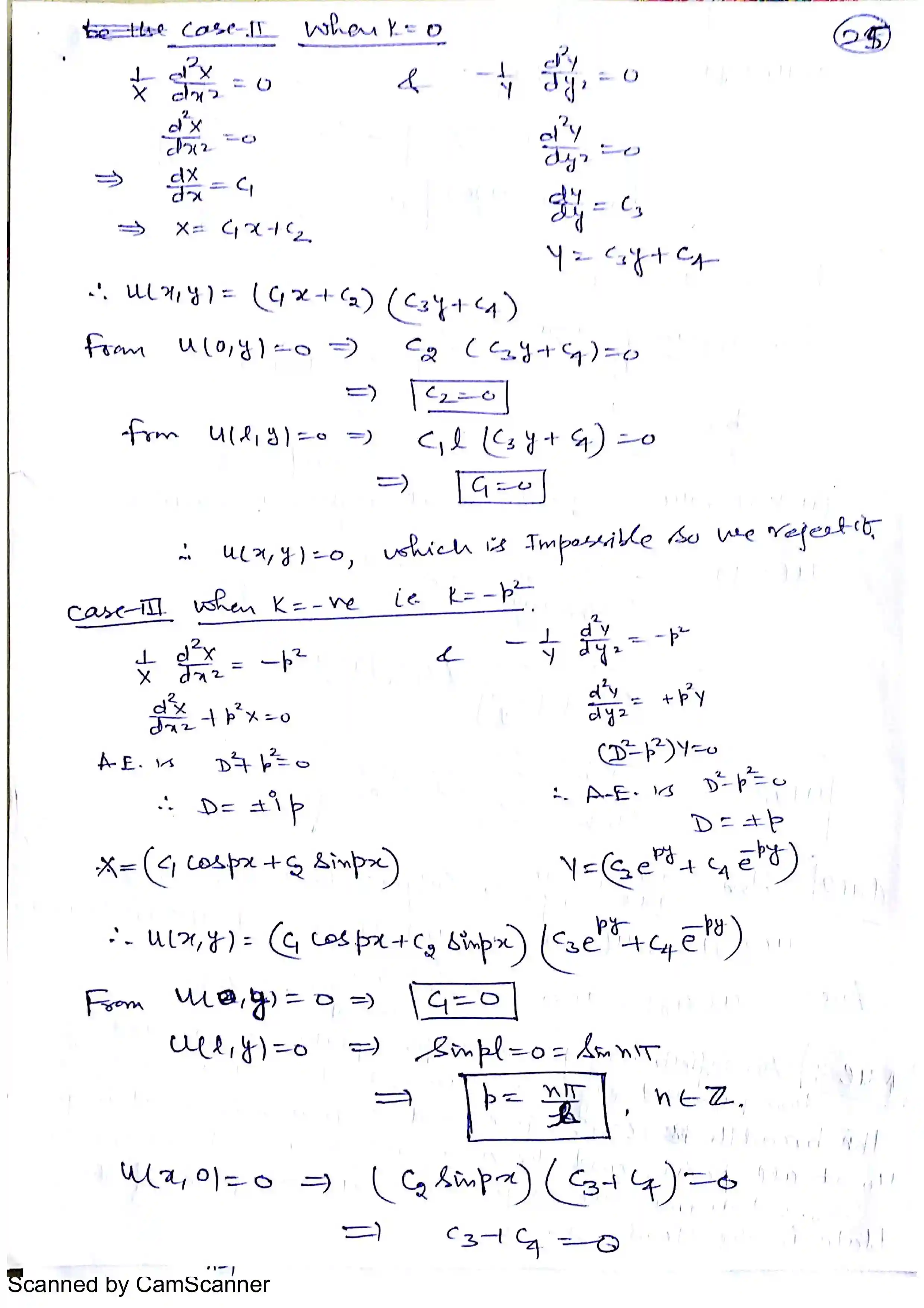
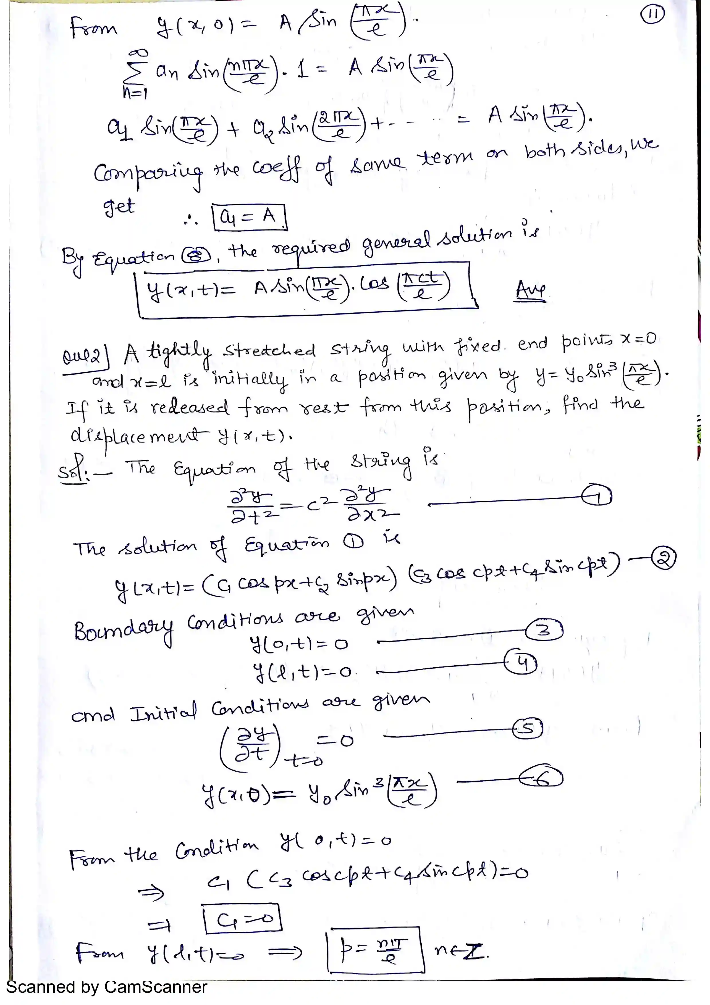
Notes: Notes-1