logo

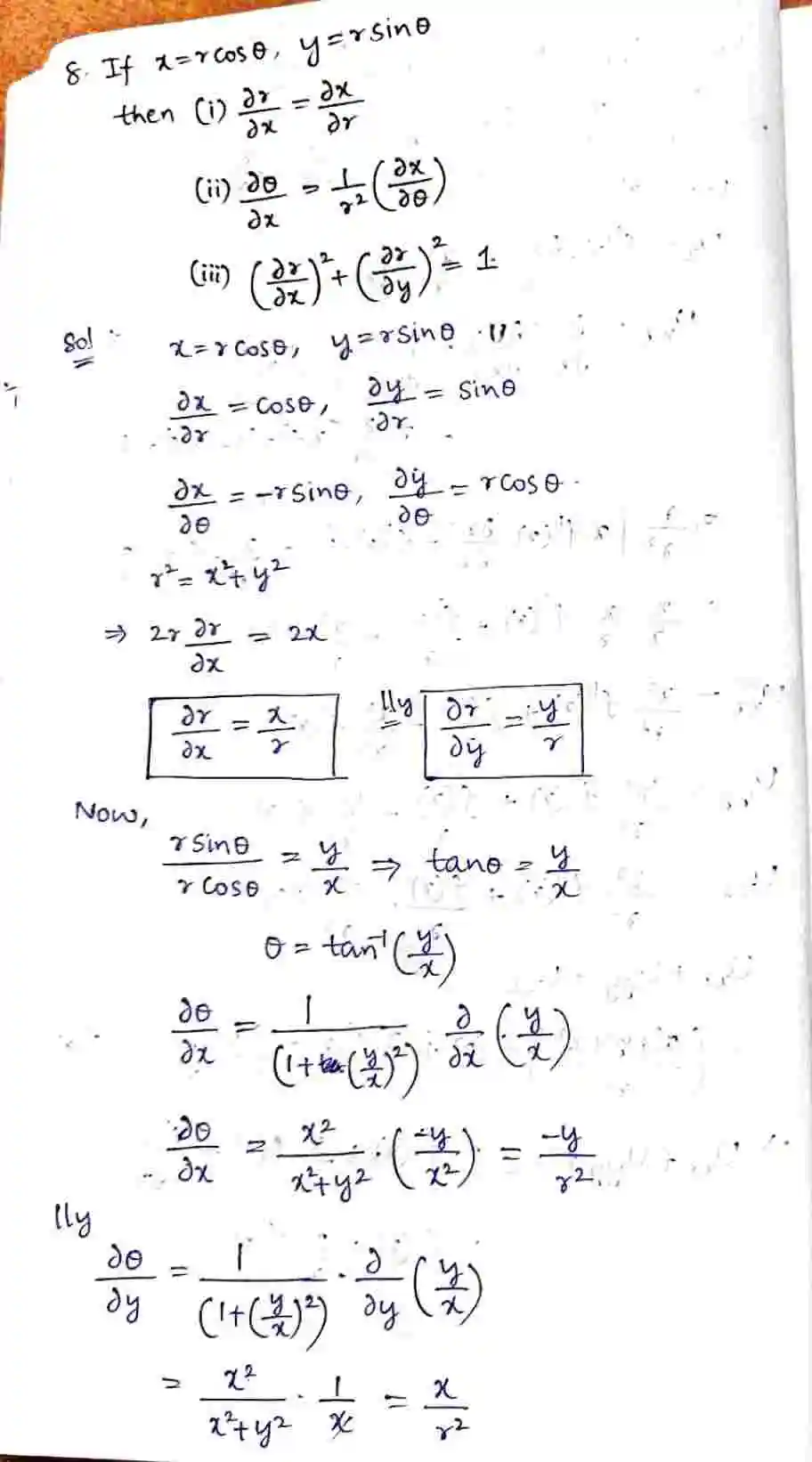
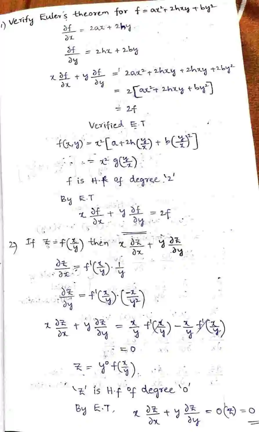
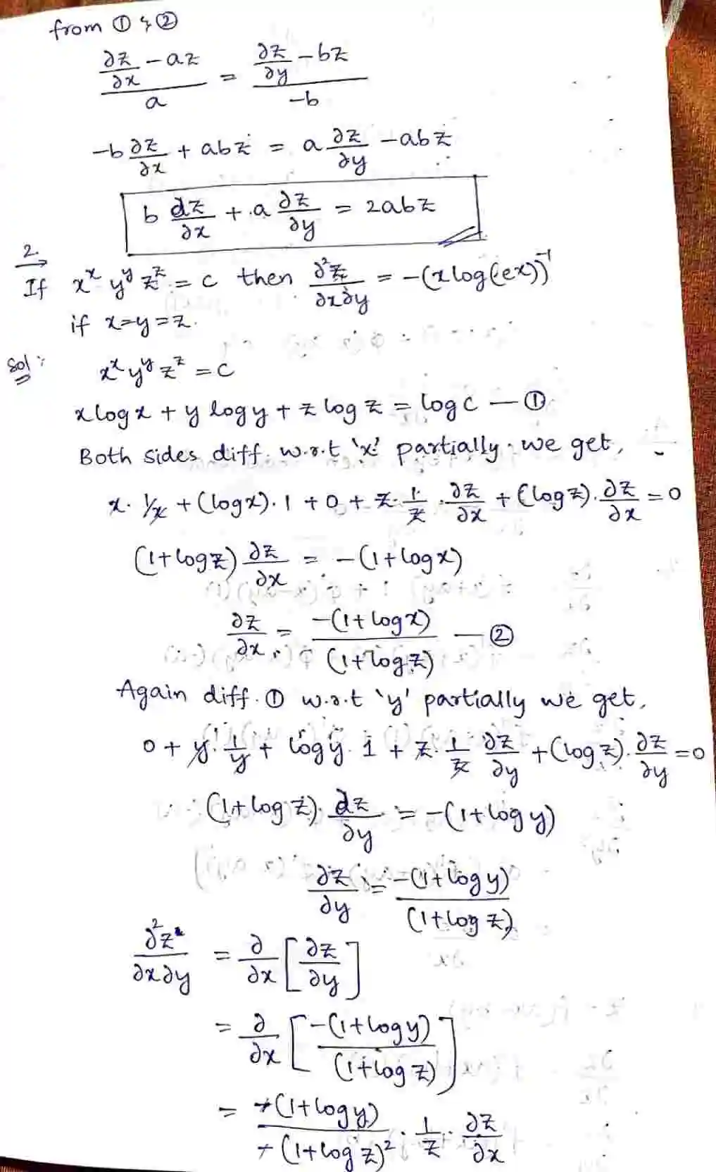
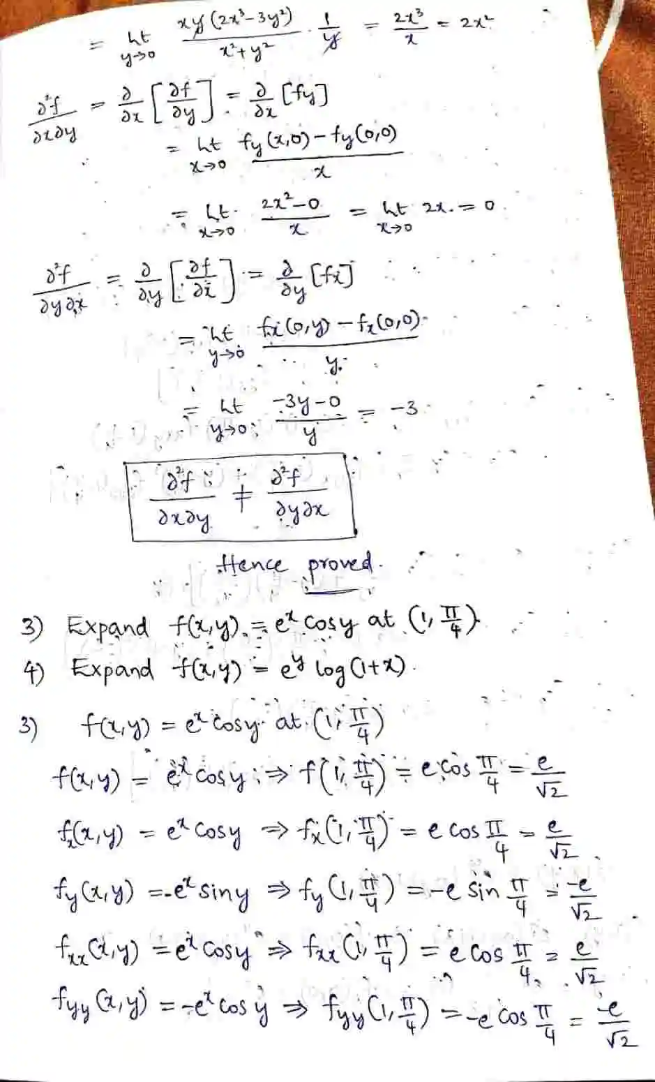
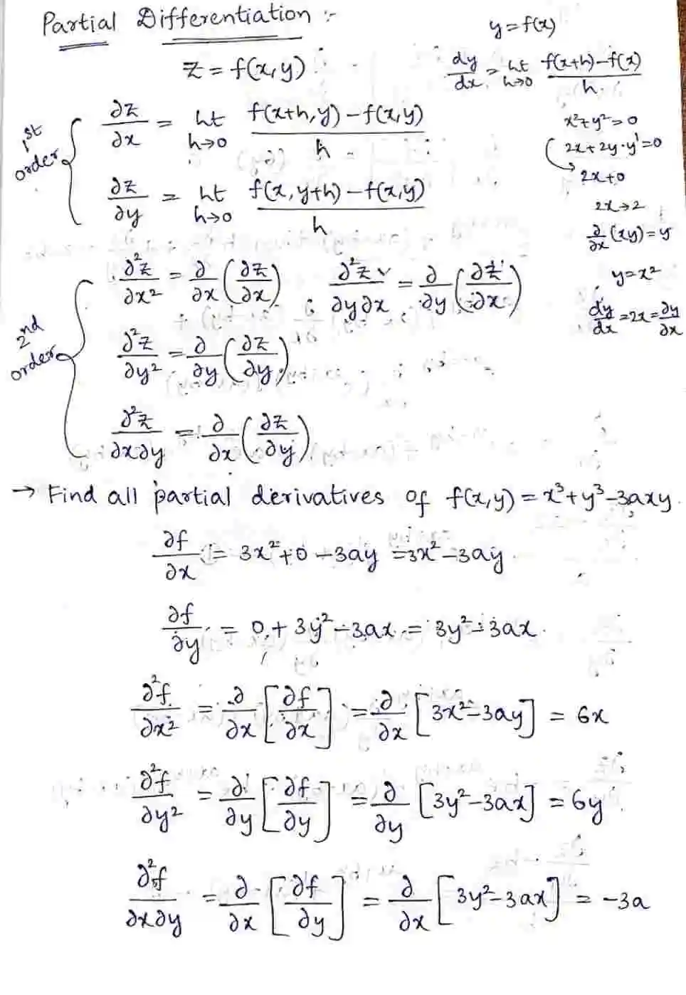
Partial Differentiation

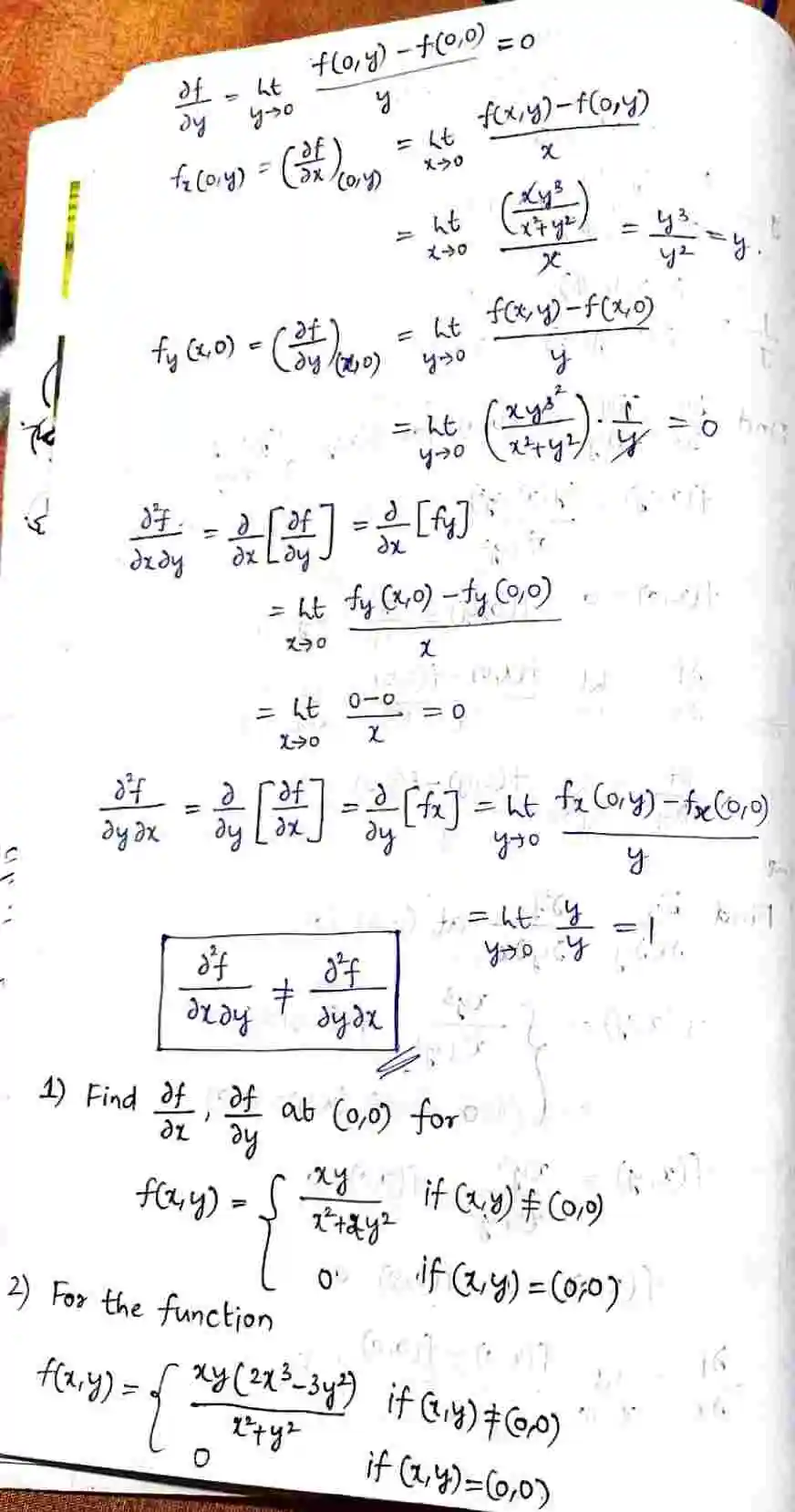
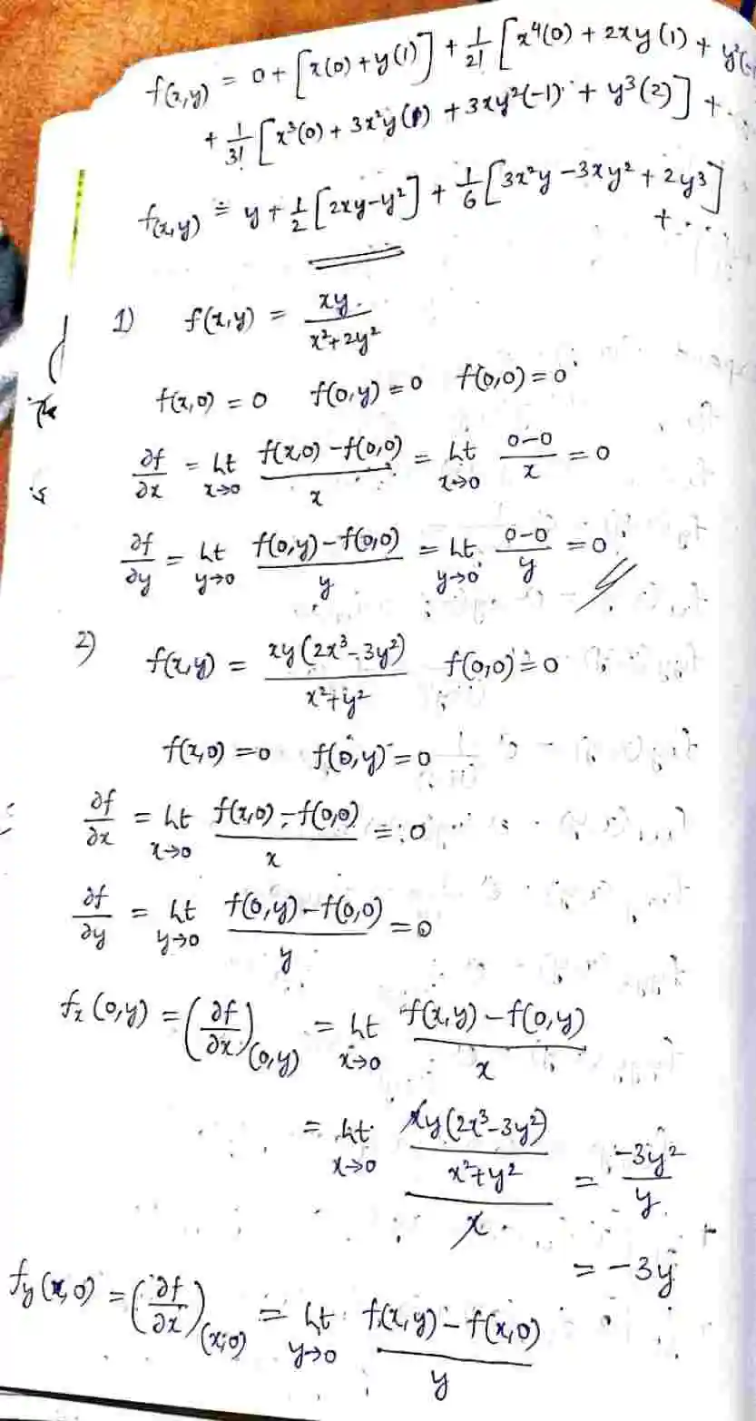
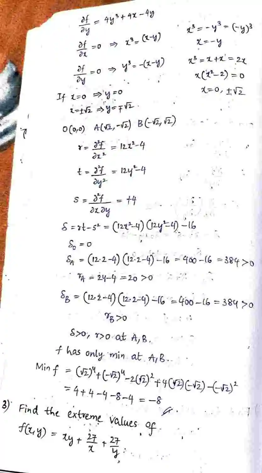
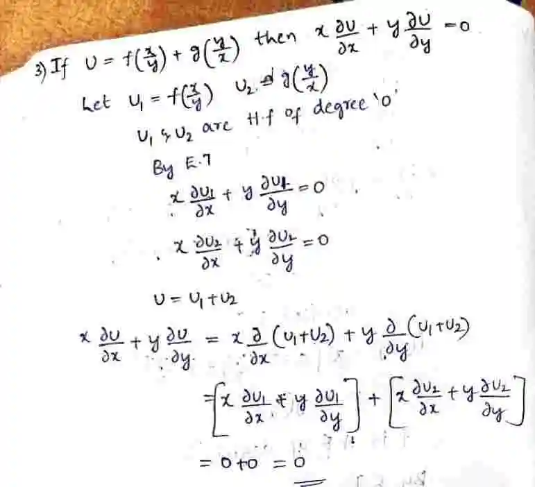
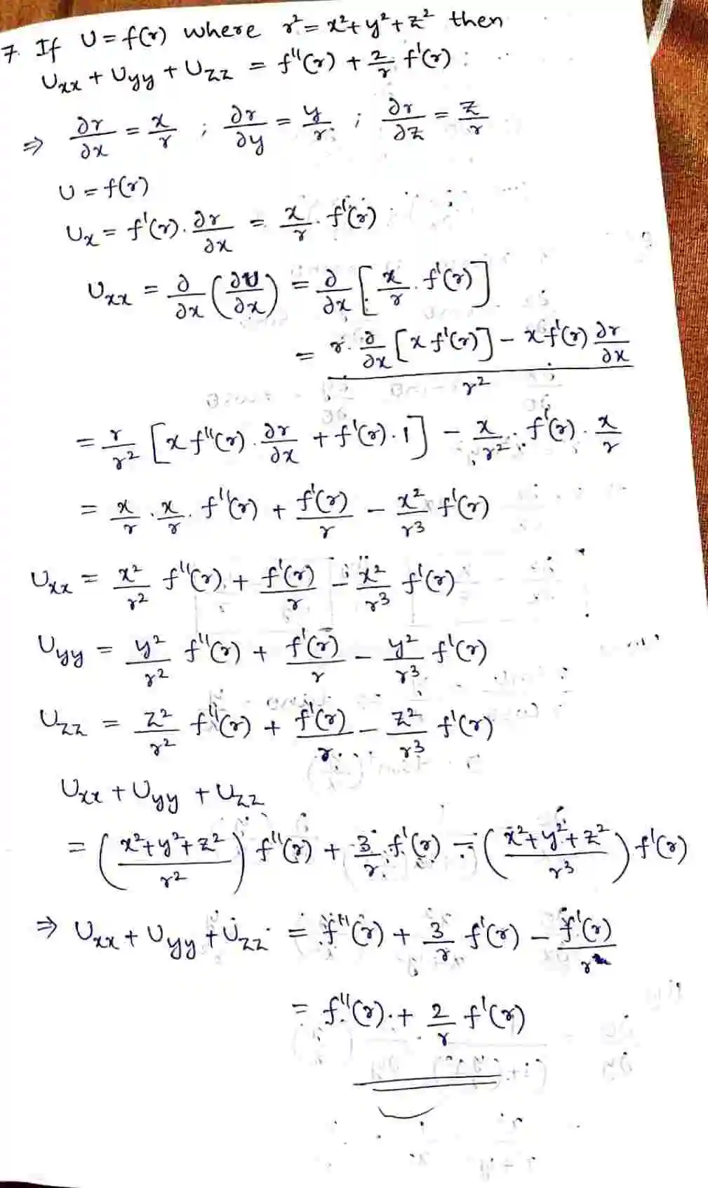
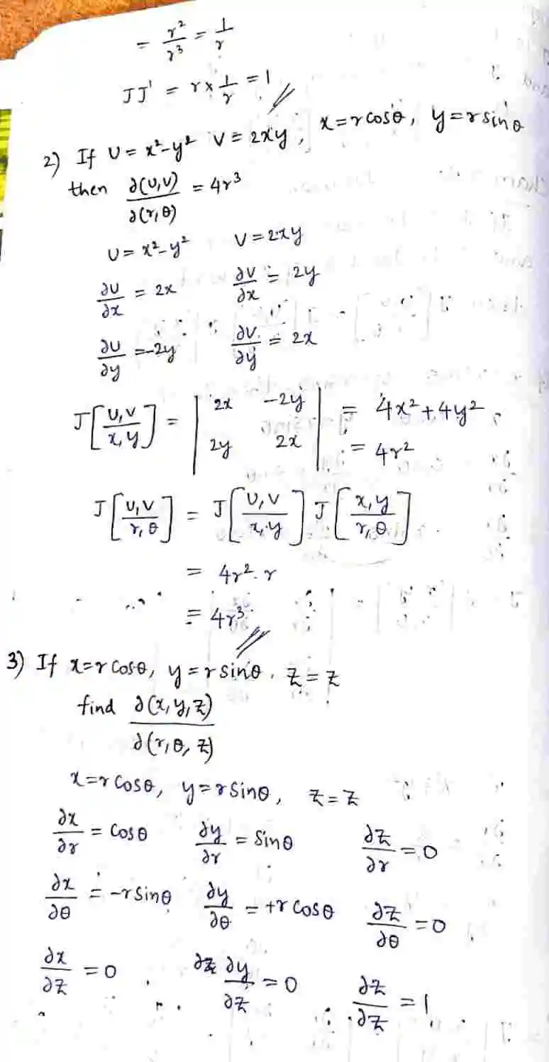
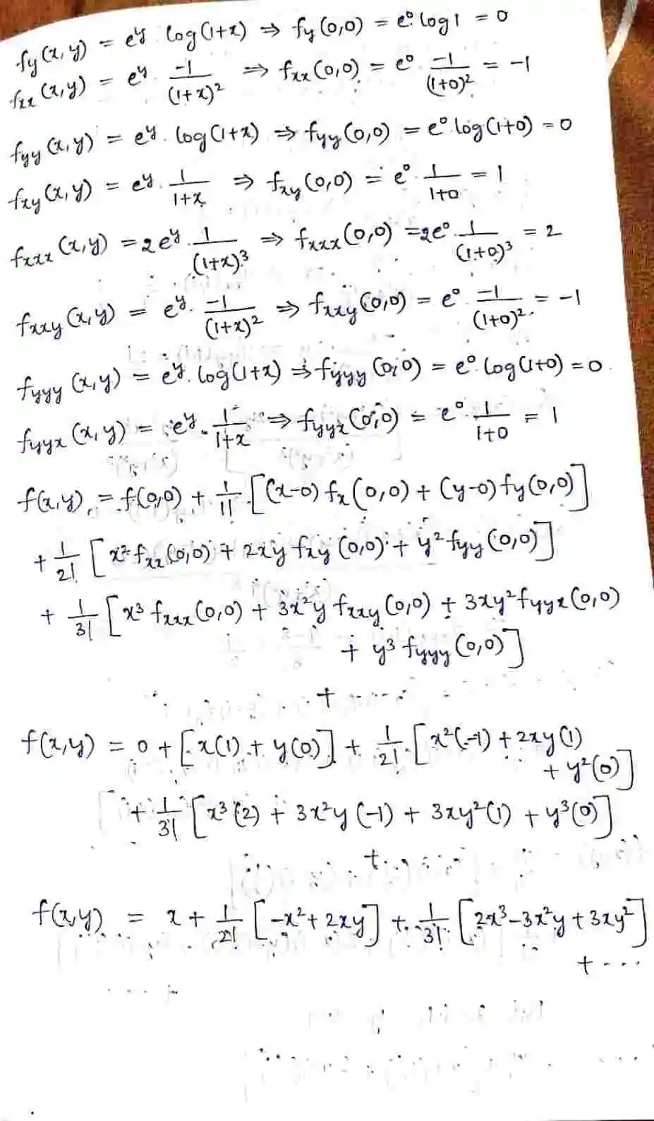
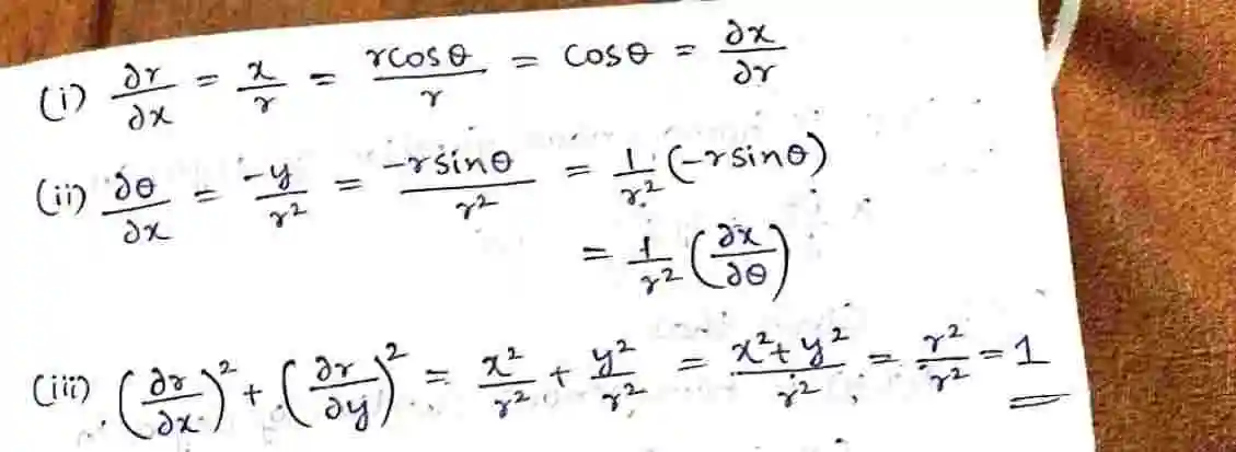
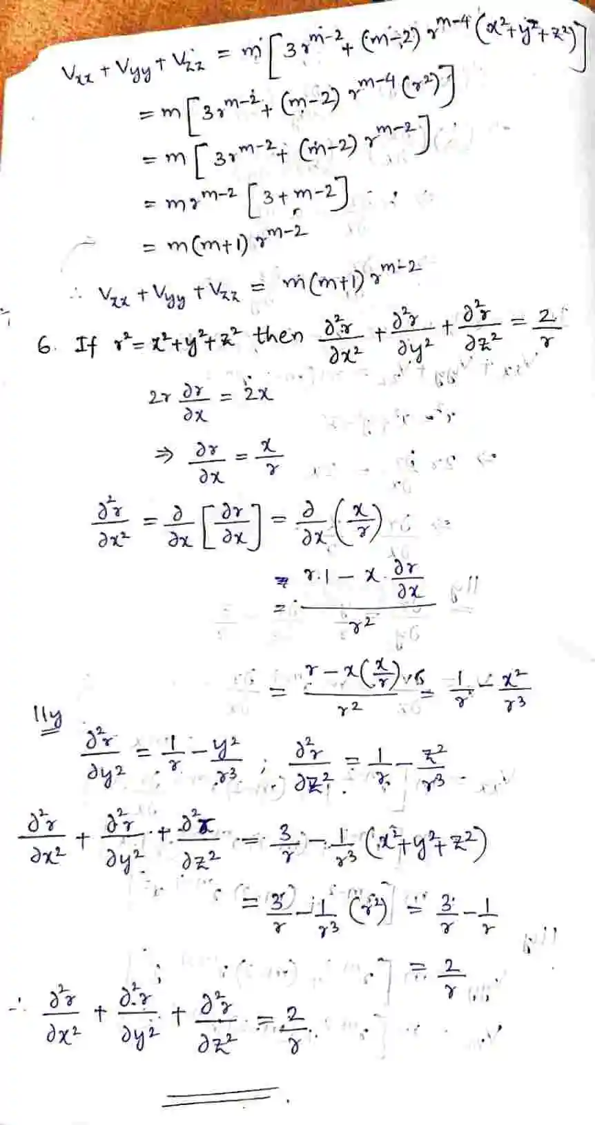
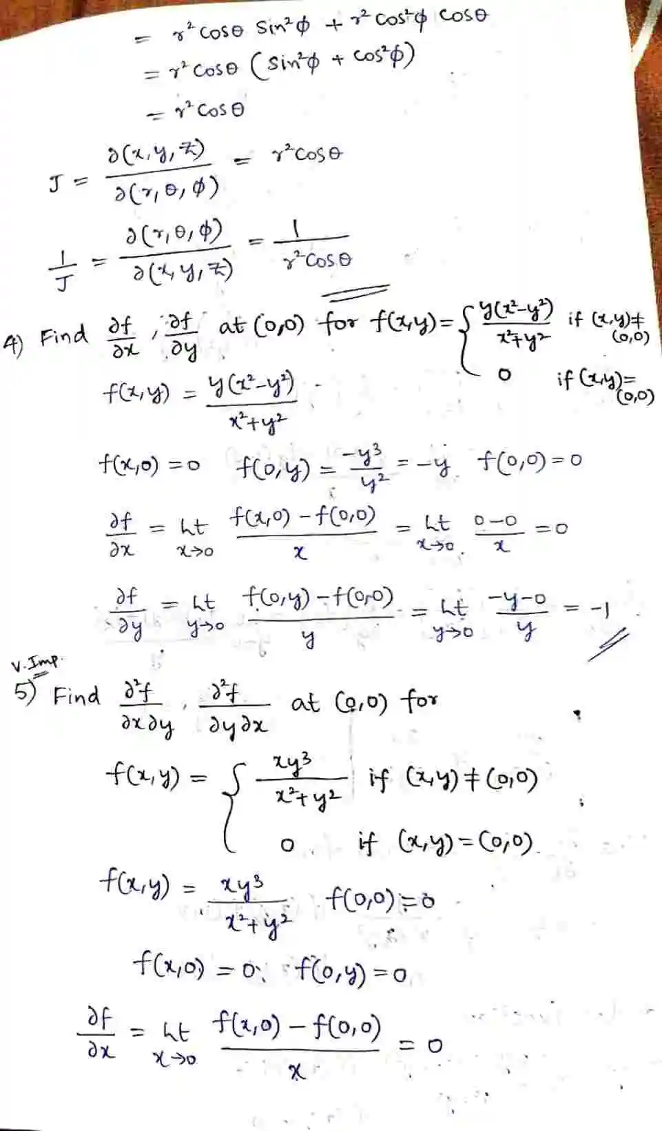
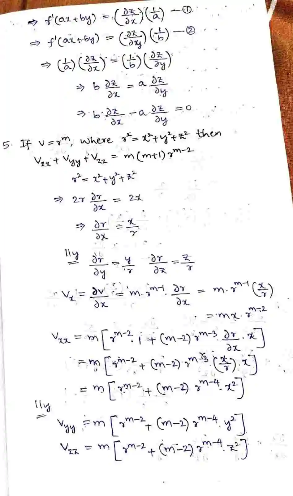
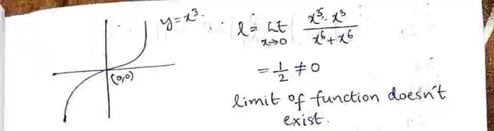
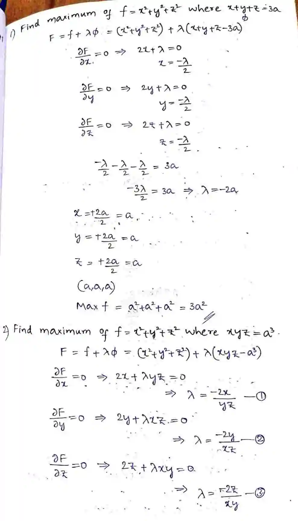
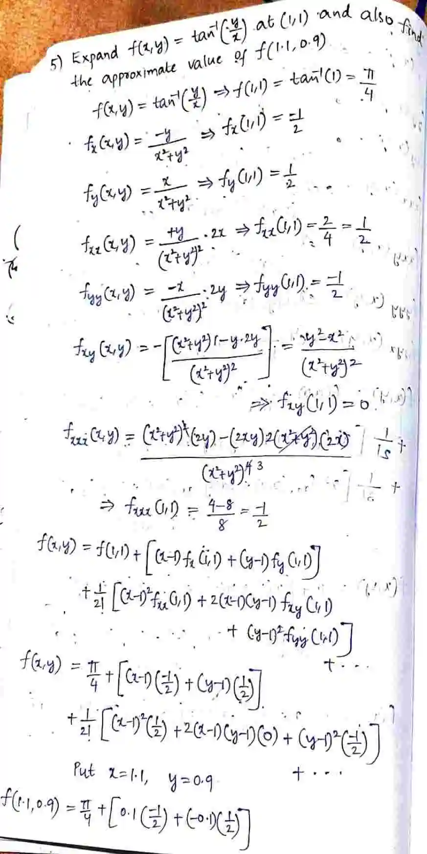
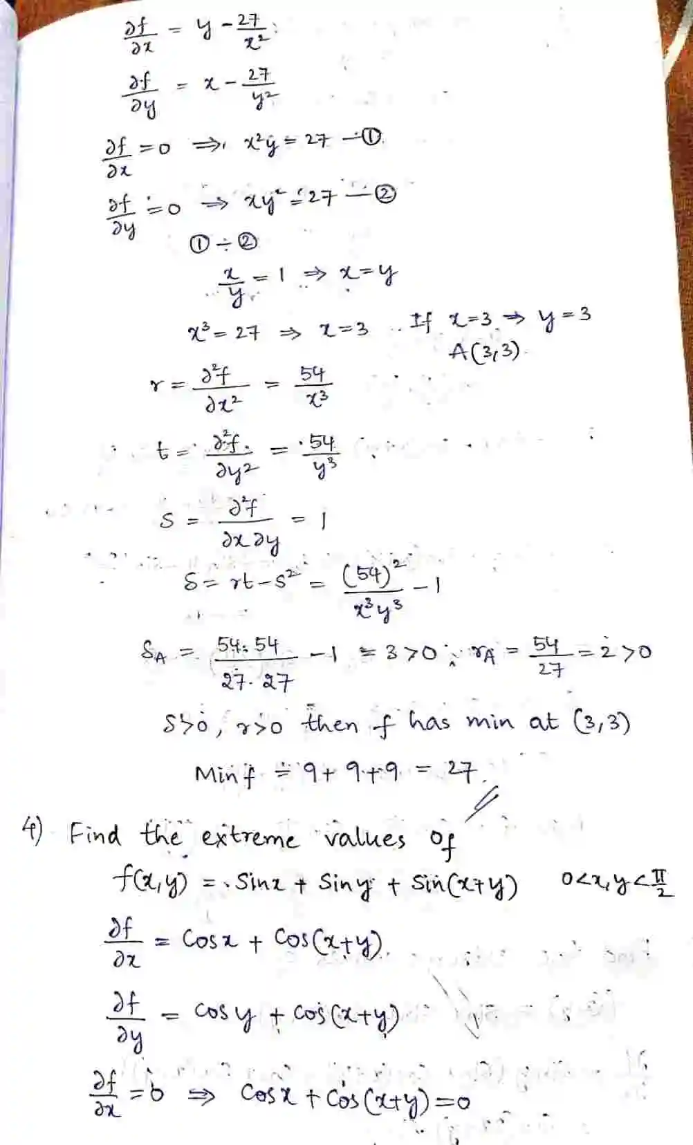
Notes: Notes-1