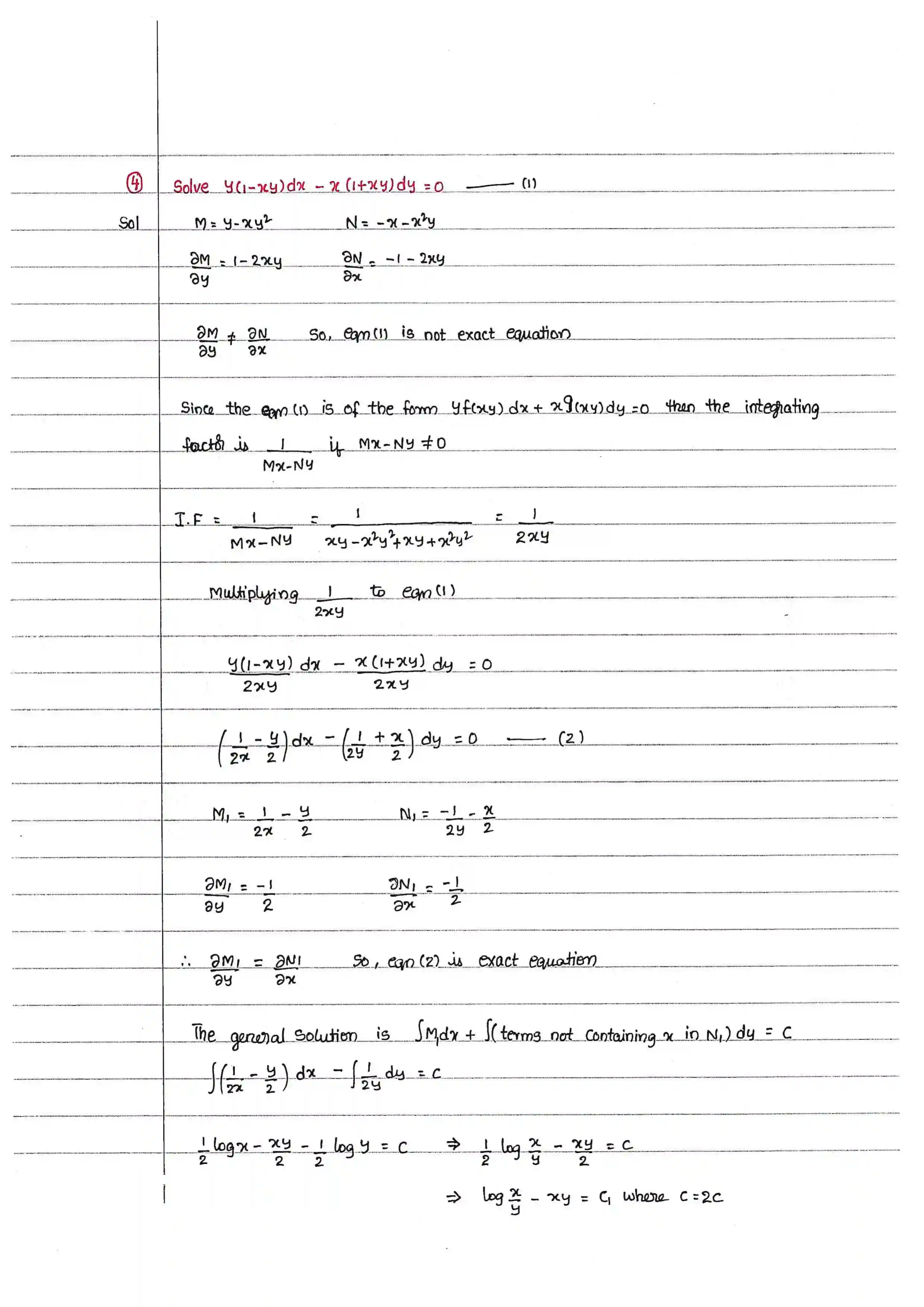
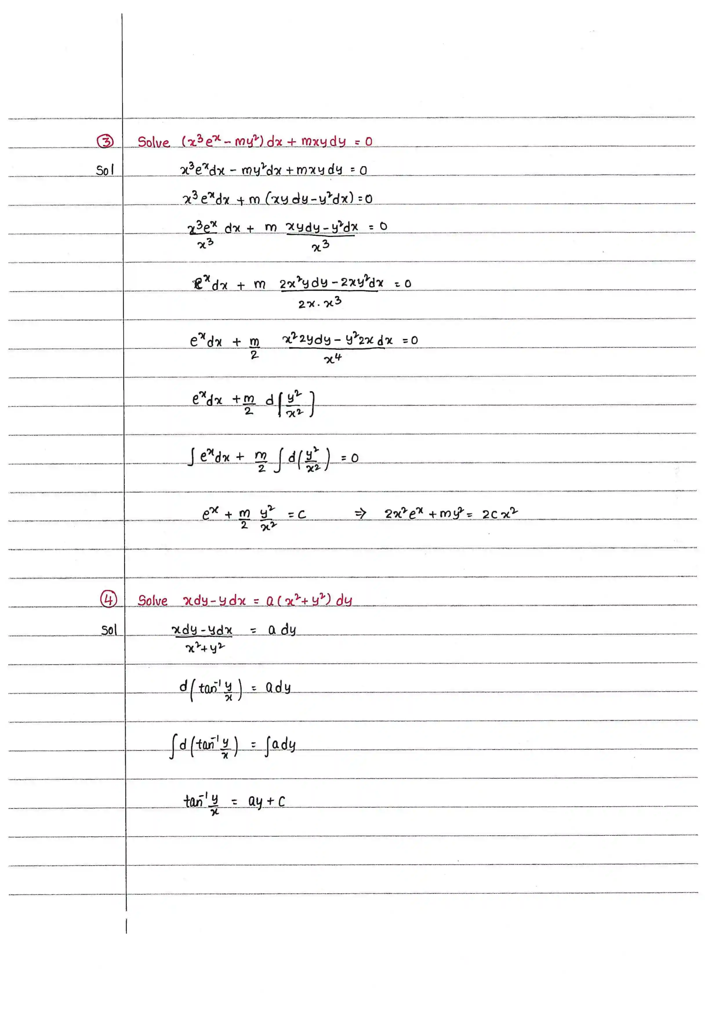
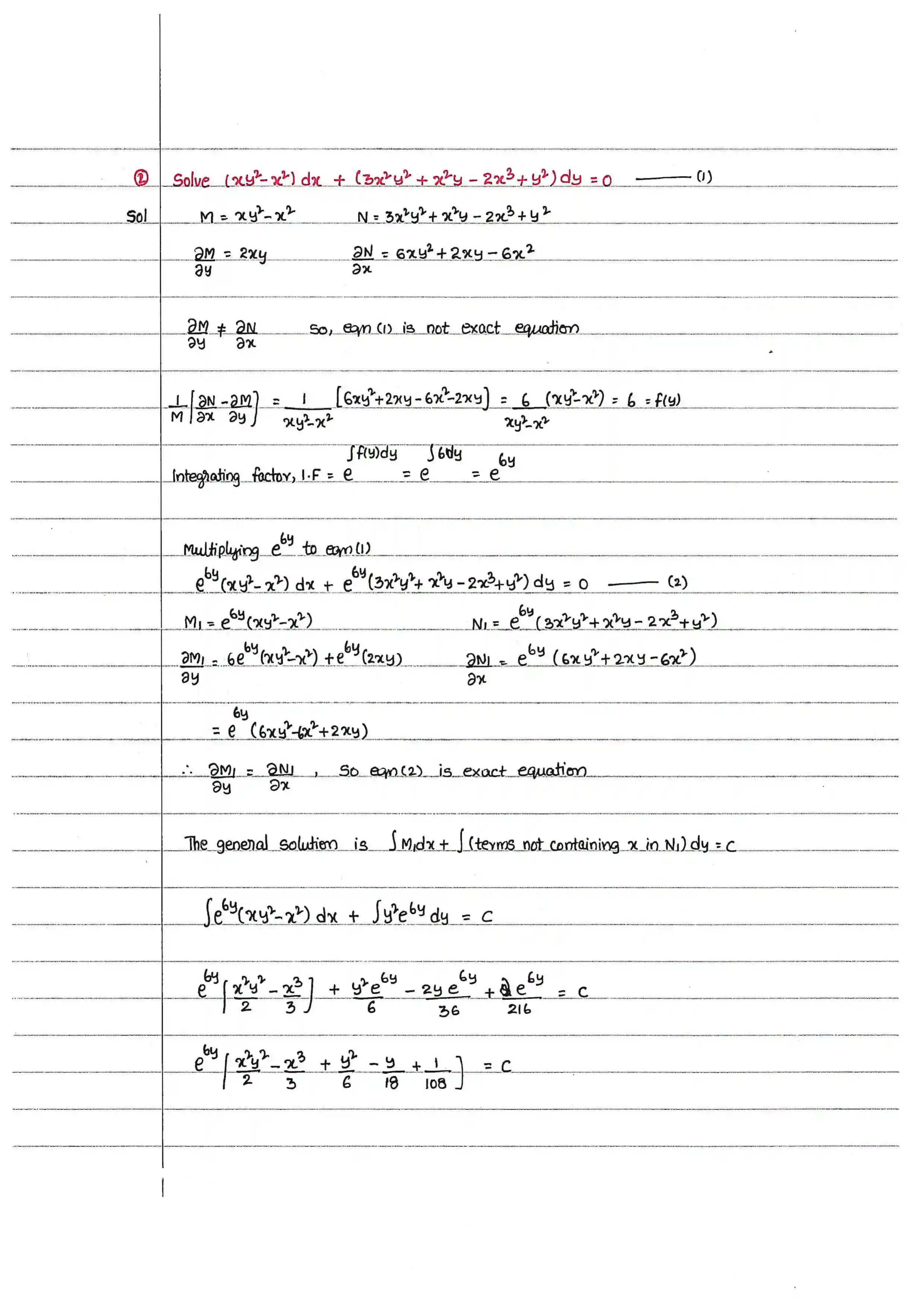
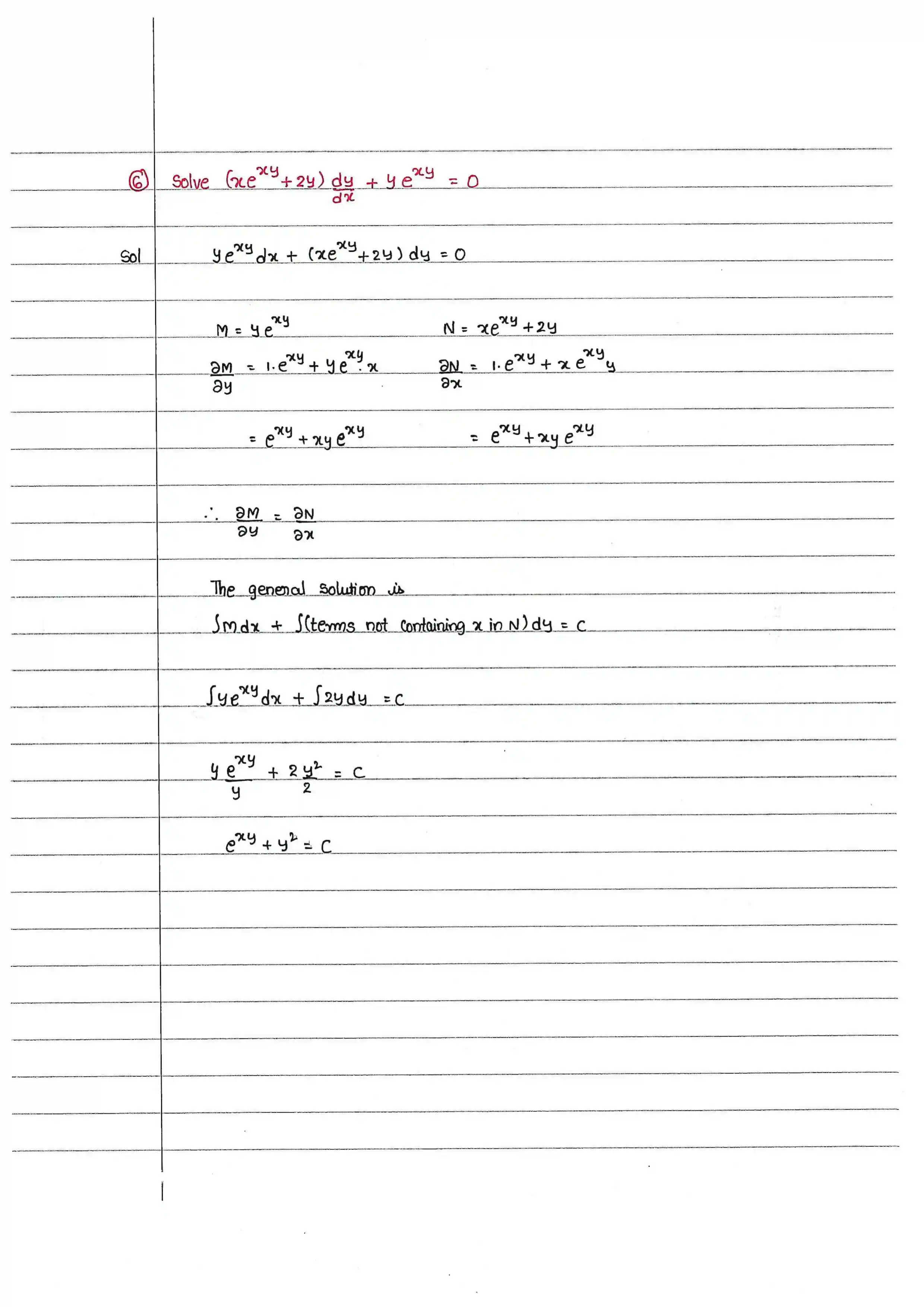
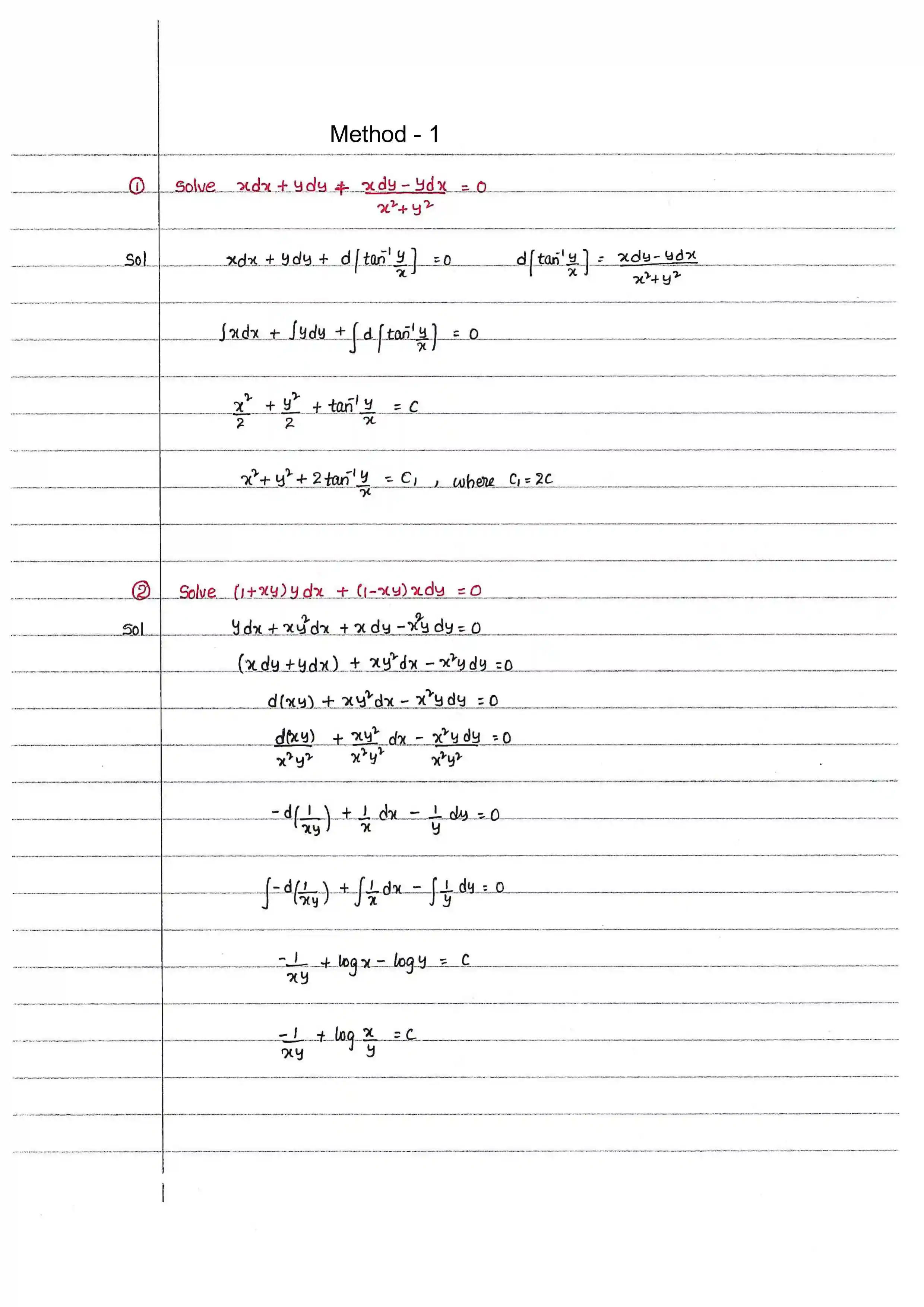
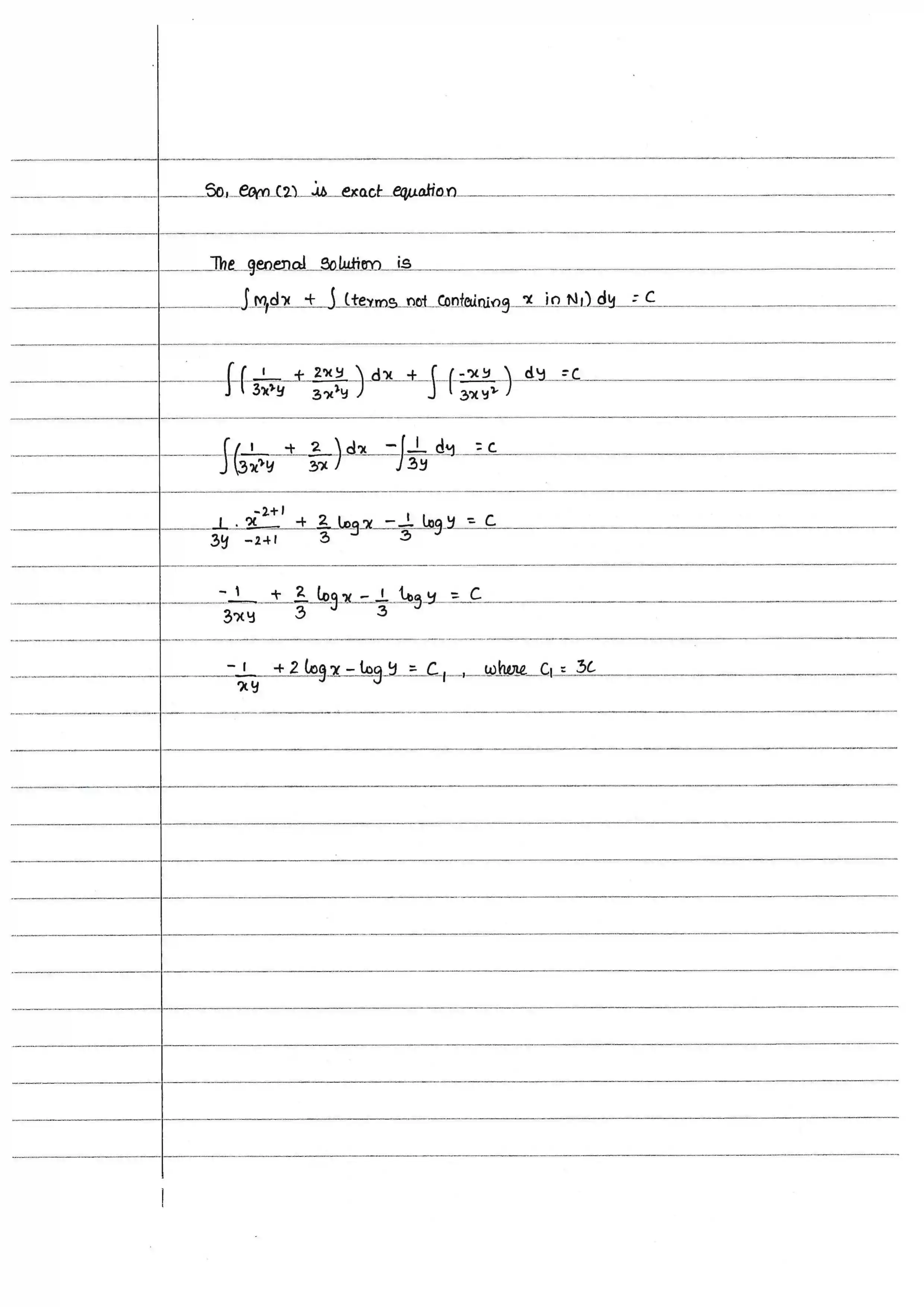
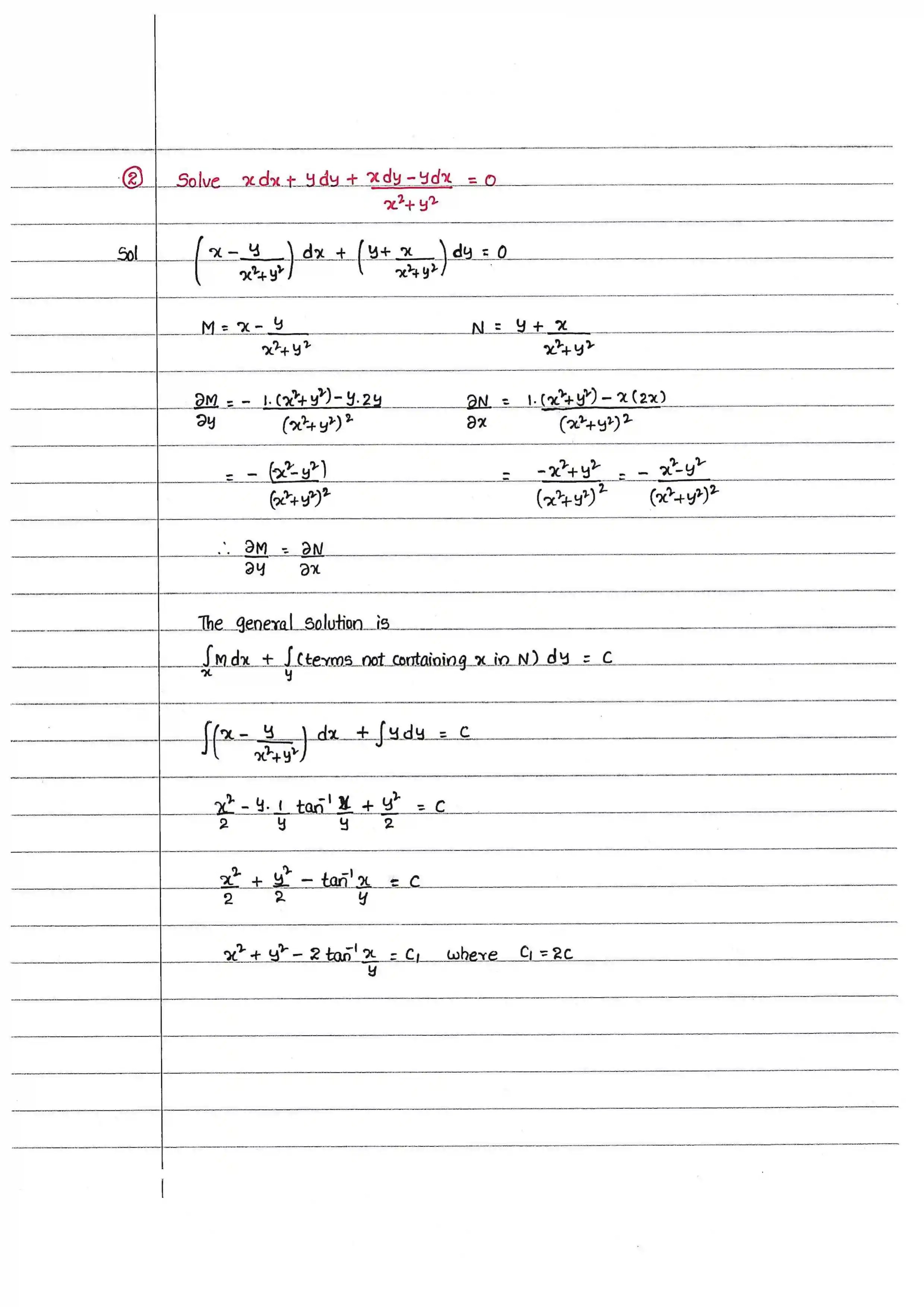
Exact Differential Equations
Notes: Notes-1
Notes: Notes-1