logo
Digital Notes

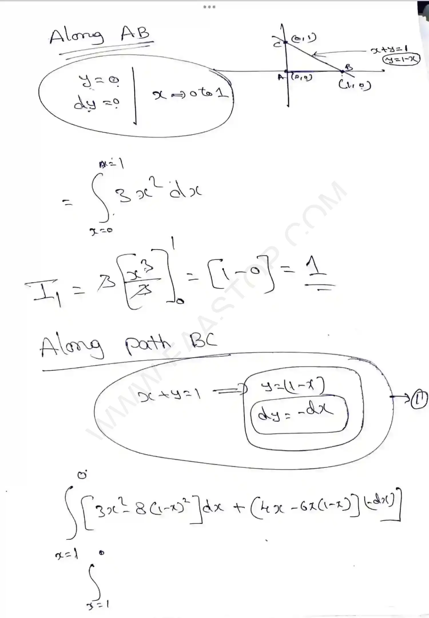
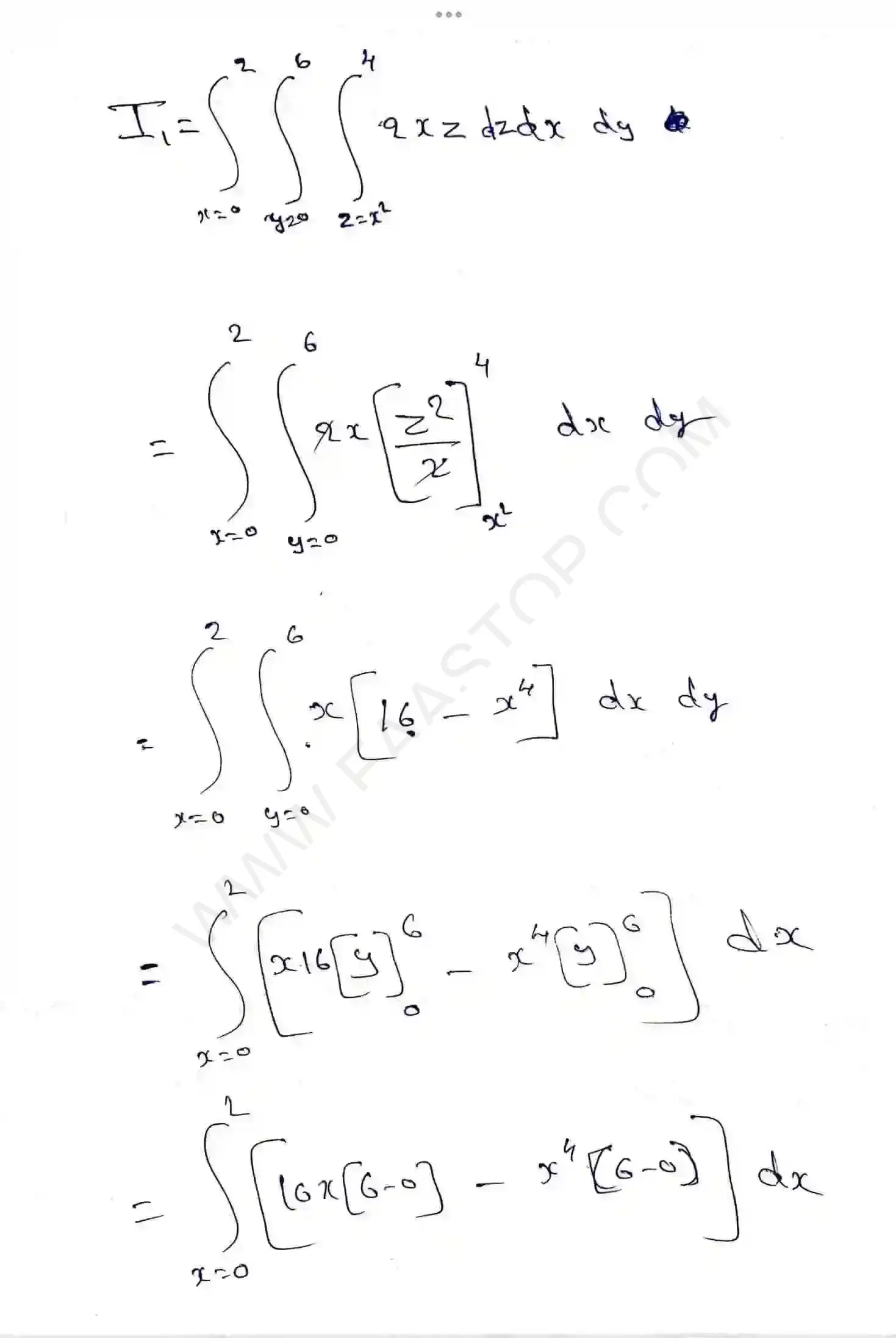
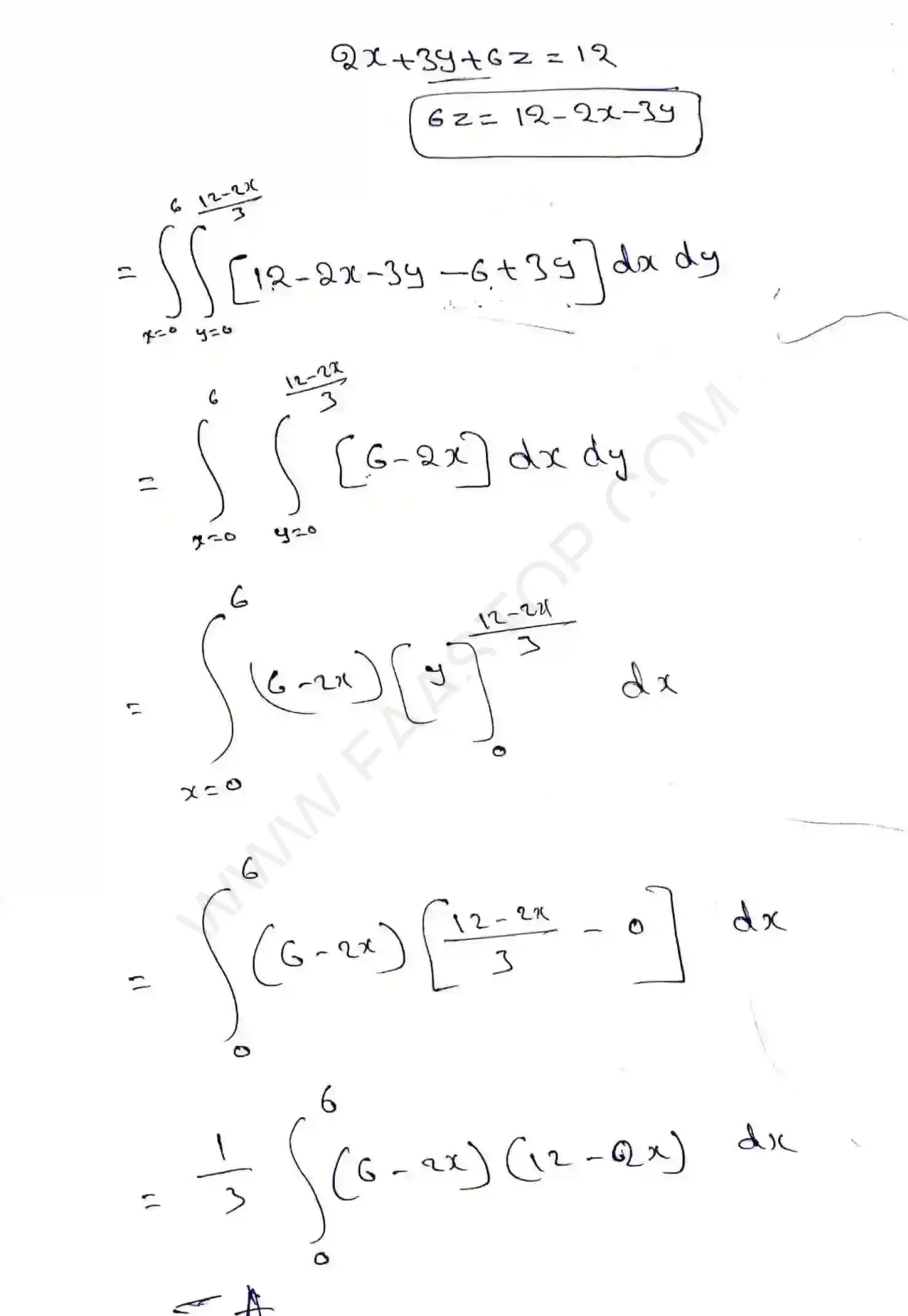
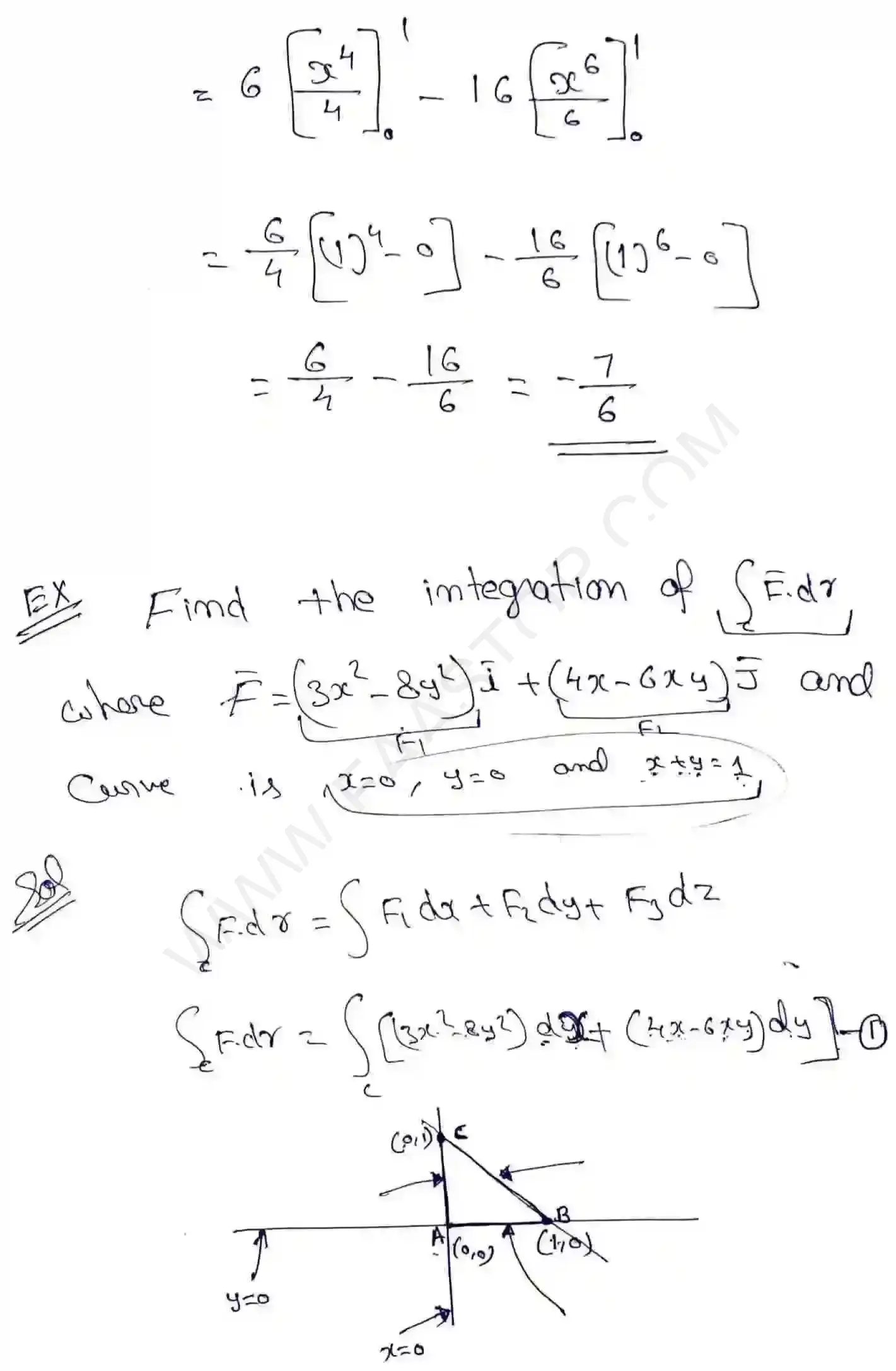
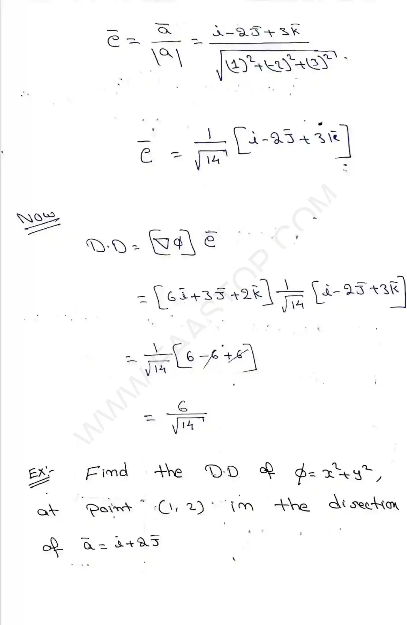
Vector calculus

ENGINEERING → Electronics and Communication Engineering → Engineering Mathematics → Maths Notes-2

Read handwritten PDF notes for Vector calculus. This chapter contains 30 pages of handwritten study materials.

30 Total Pages
PDF Format
100% Free Access
logo