logo
Digital Notes

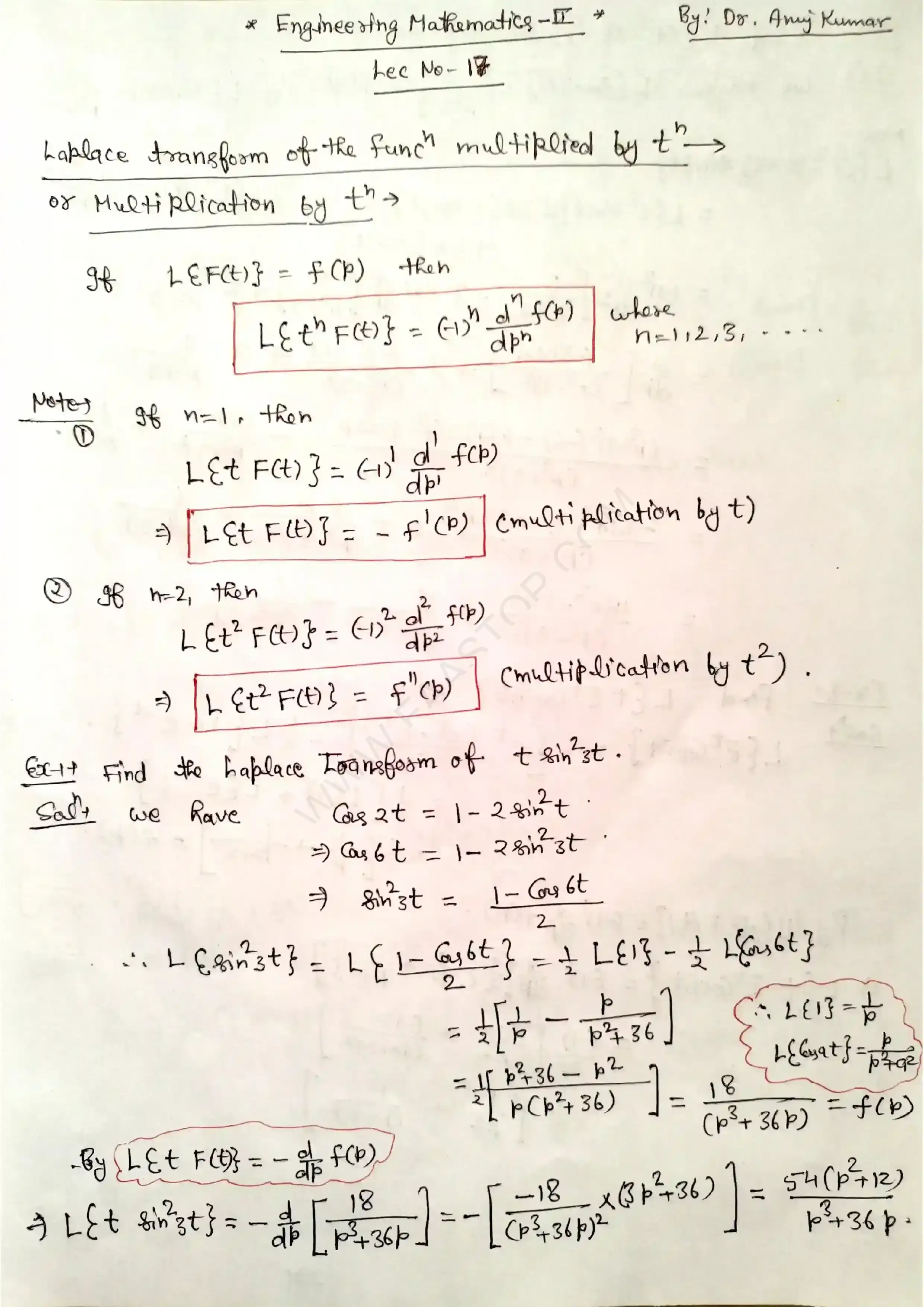
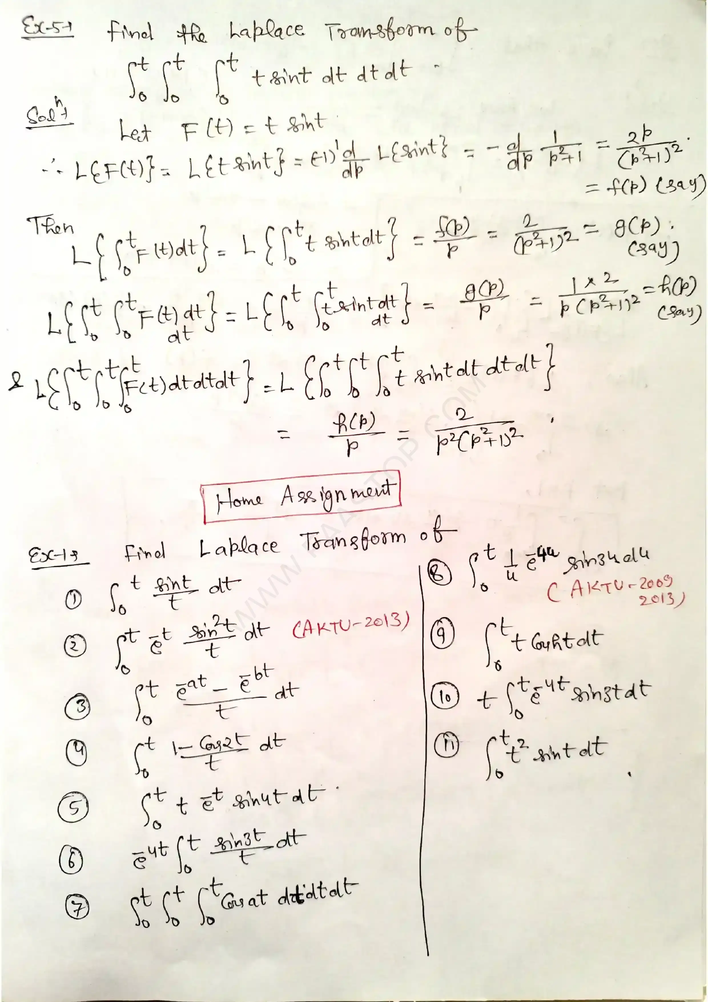
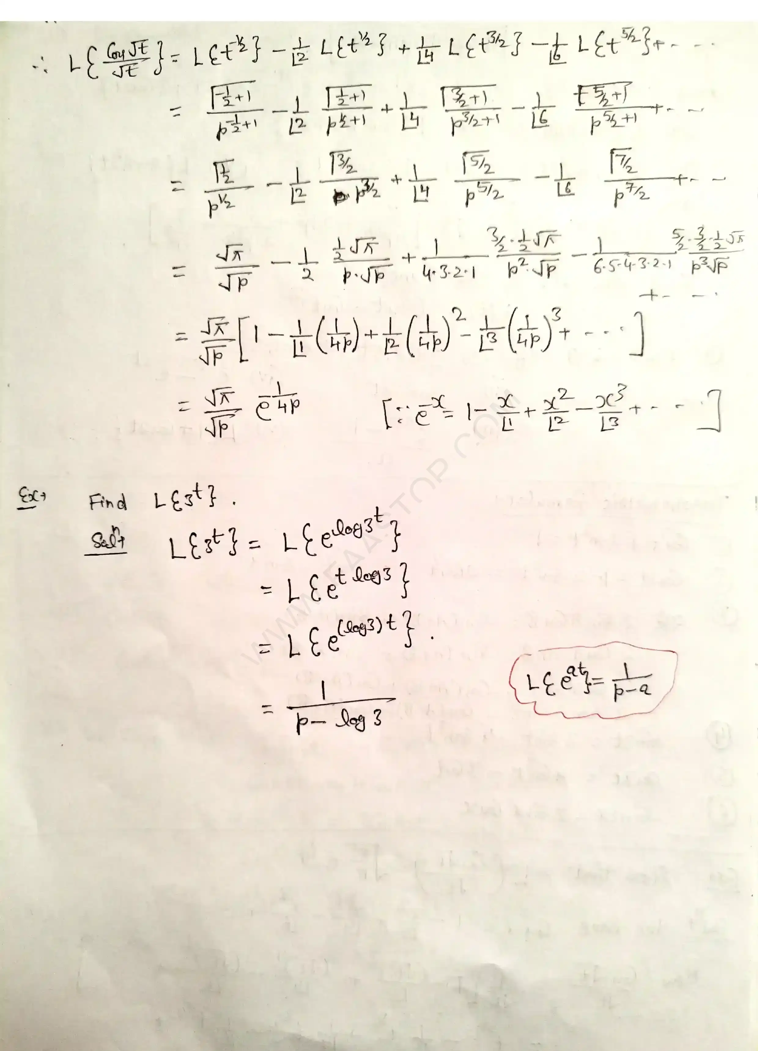
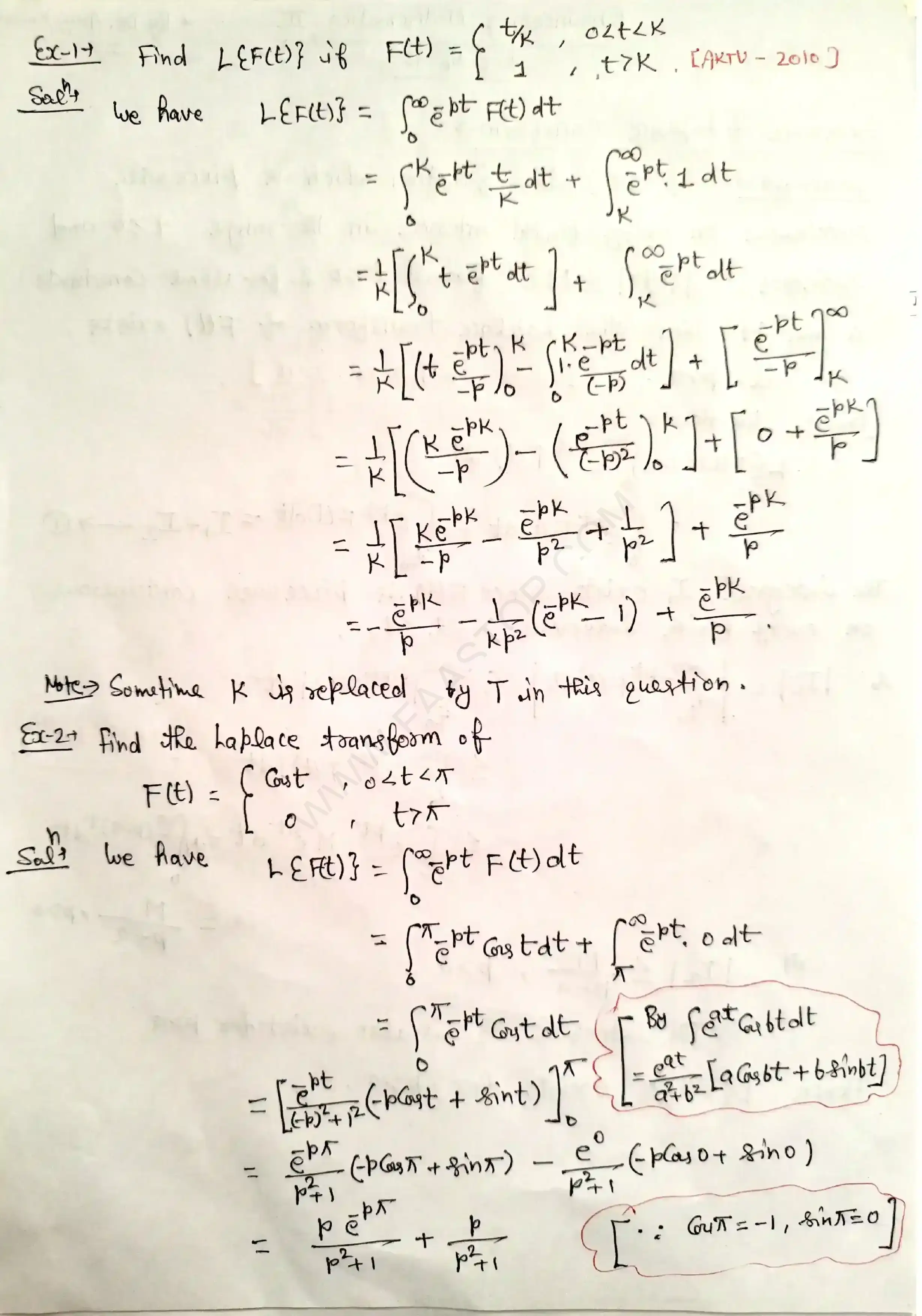
Laplace Transform

ENGINEERING → Electronics and Communication Engineering → Engineering Mathematics → Maths Notes-2

Read handwritten PDF notes for Laplace Transform. This chapter contains 46 pages of handwritten study materials.

46 Total Pages
PDF Format
100% Free Access
logo