logo
Digital Notes

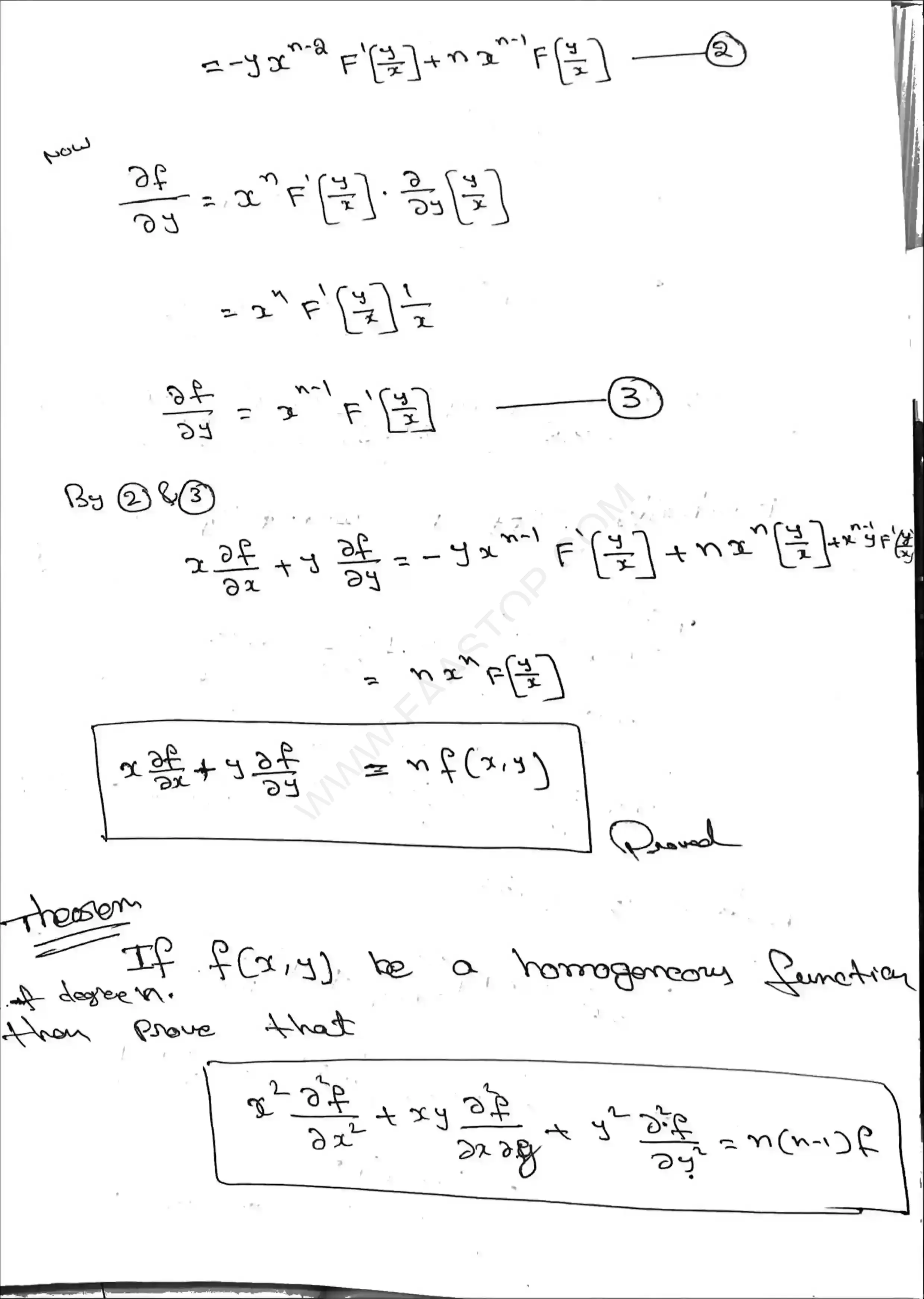
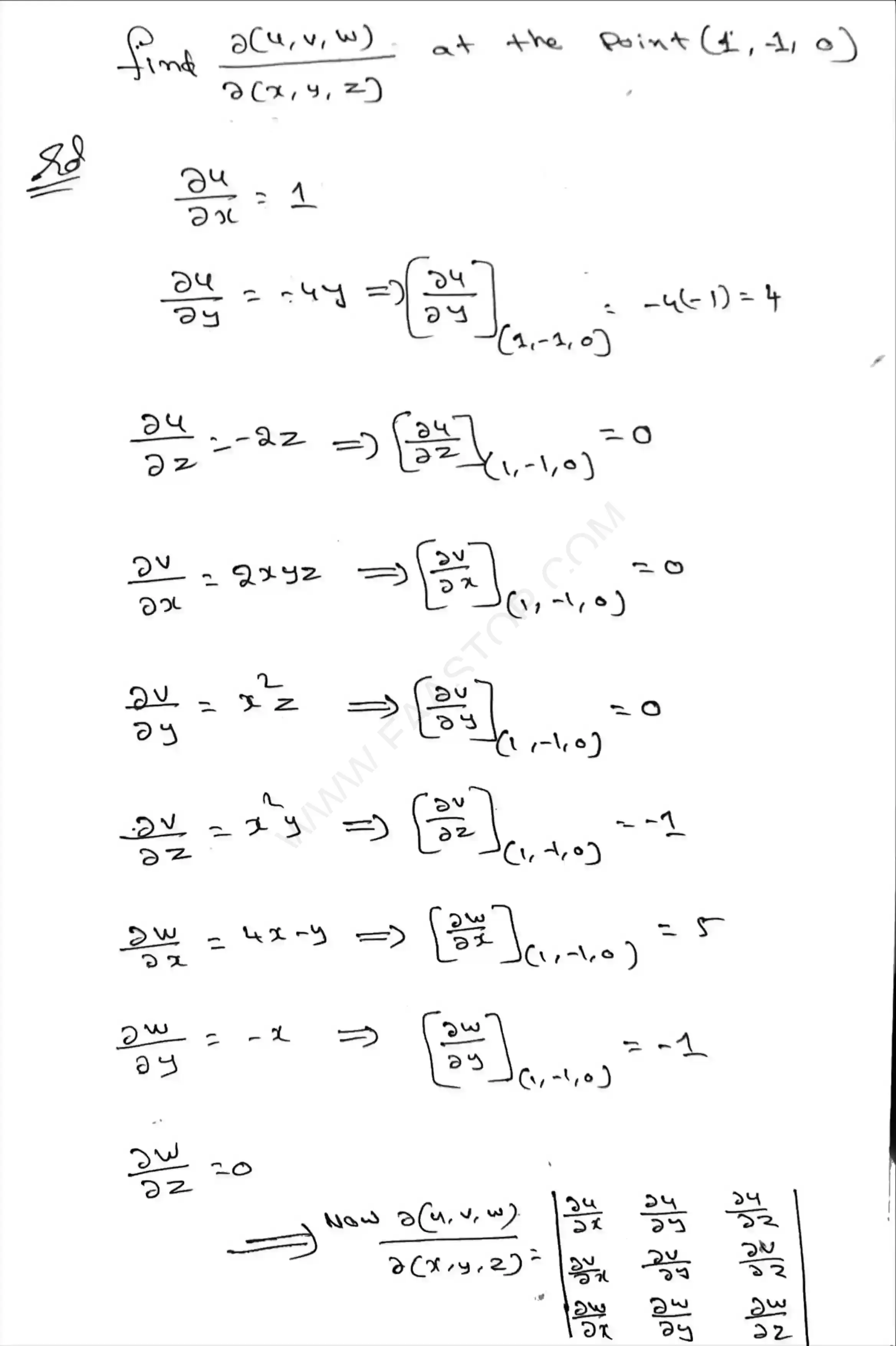
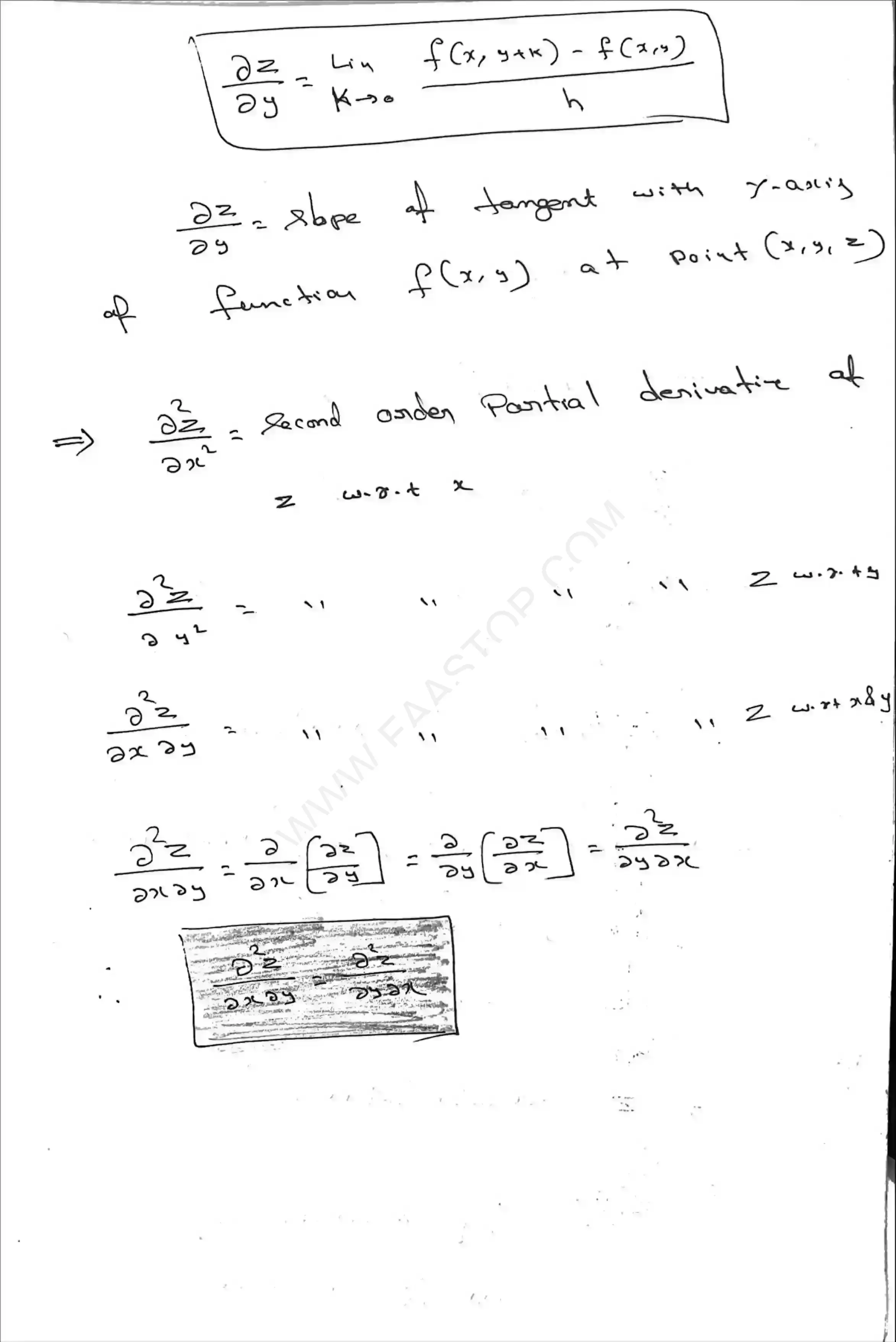
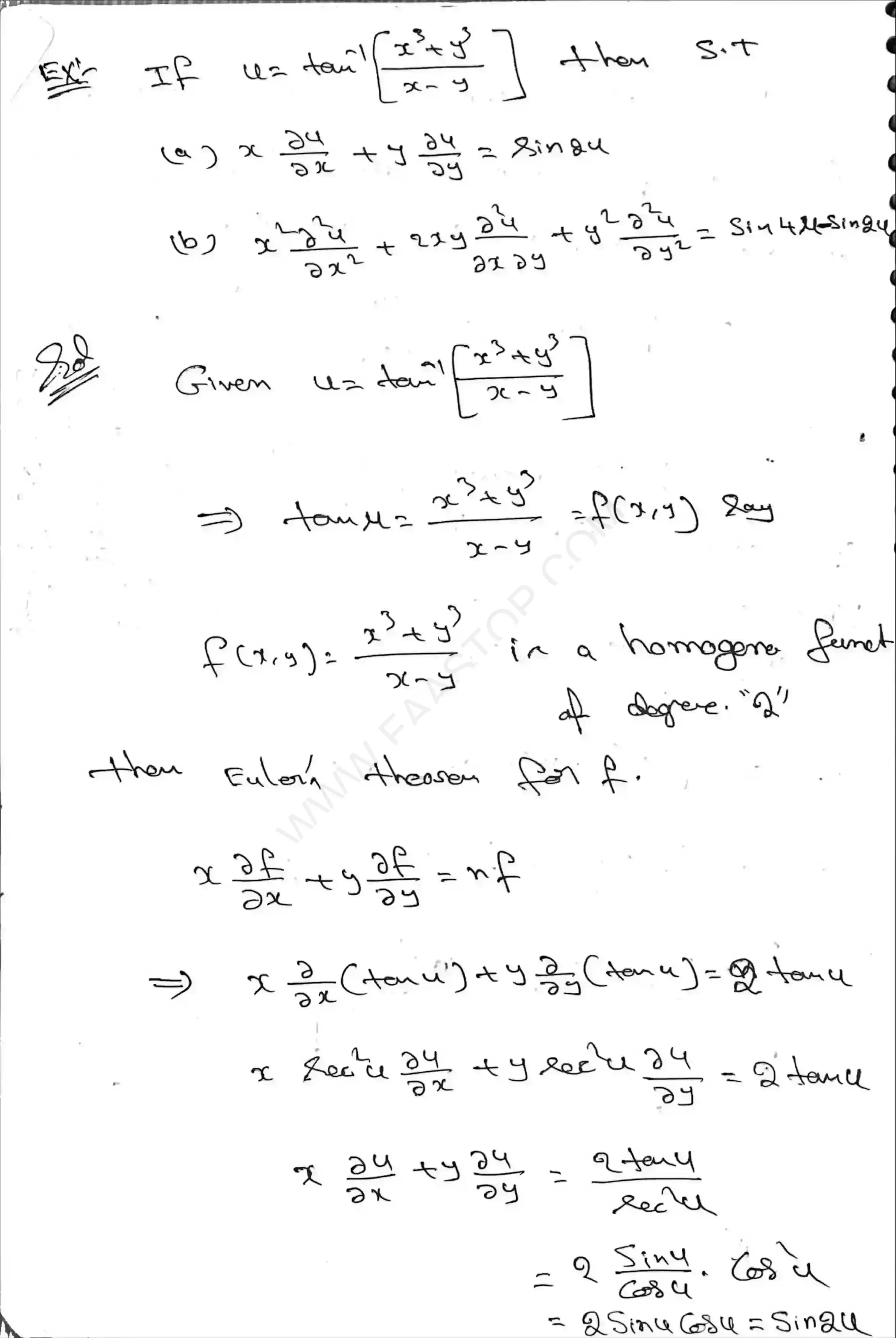
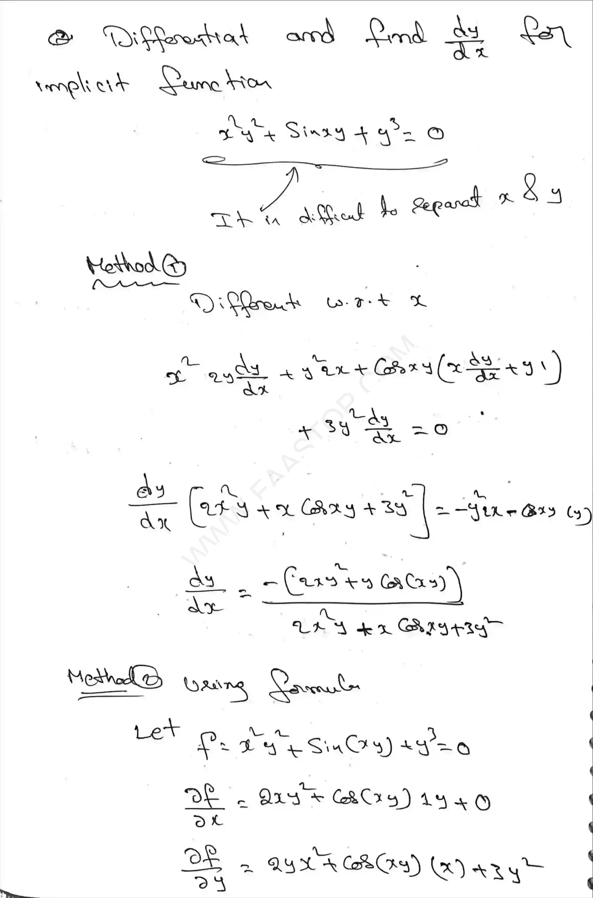
Partial Derivatives

ENGINEERING → Electronics and Communication Engineering → Engineering Mathematics → Maths Notes-2

Read handwritten PDF notes for Partial Derivatives. This chapter contains 31 pages of handwritten study materials.

31 Total Pages
PDF Format
100% Free Access
logo