logo
Digital Notes

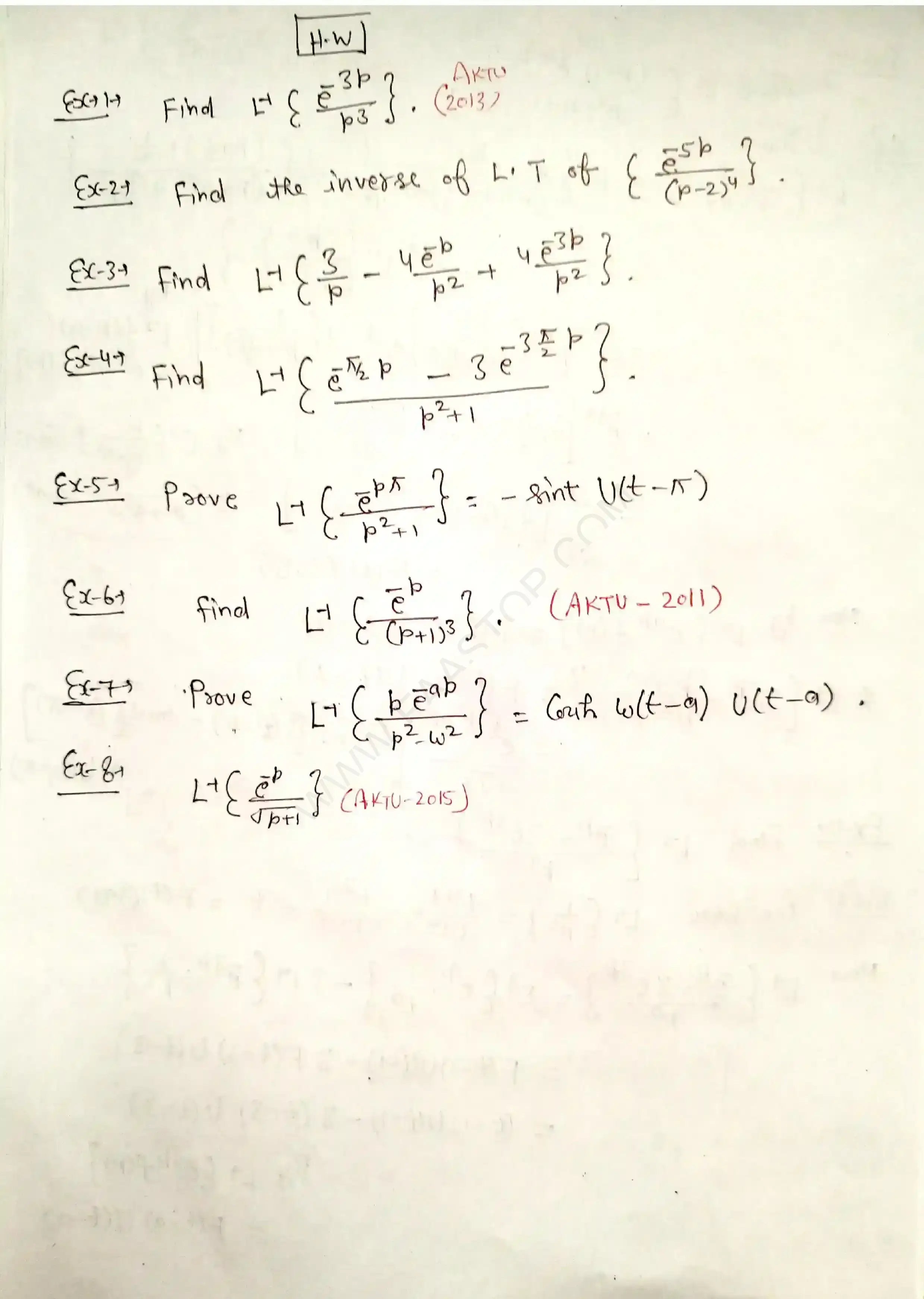
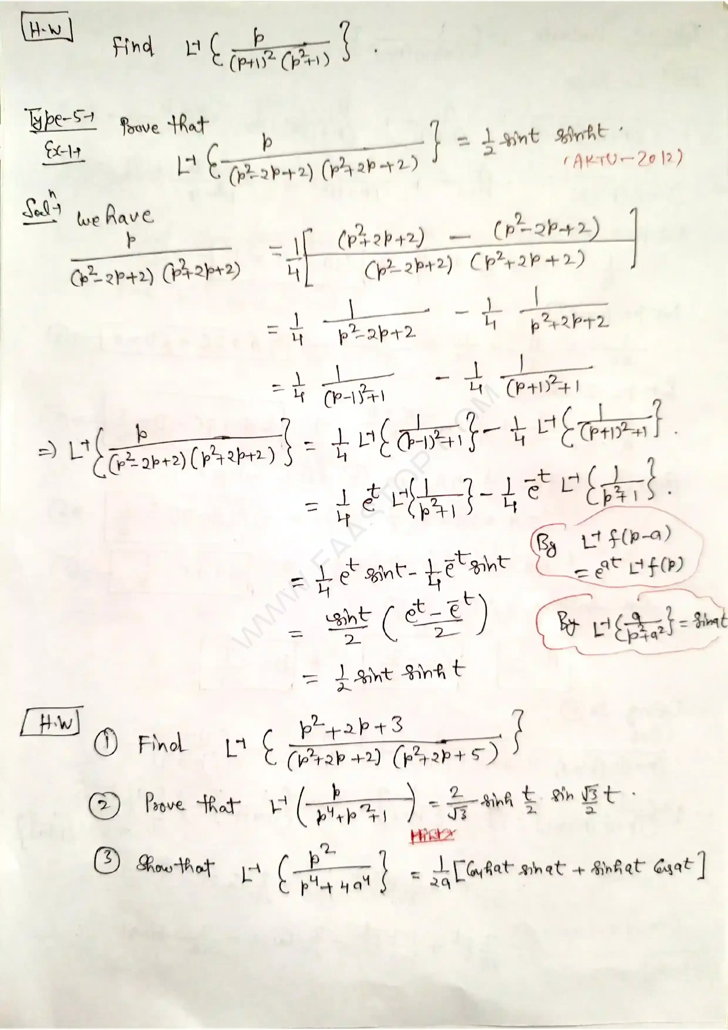
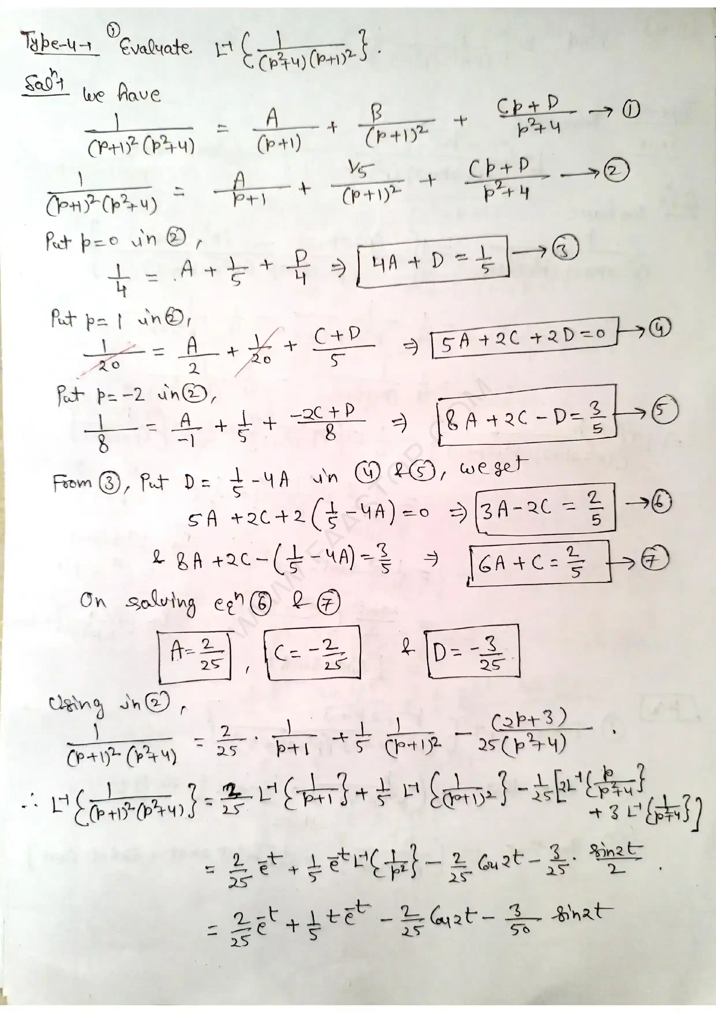
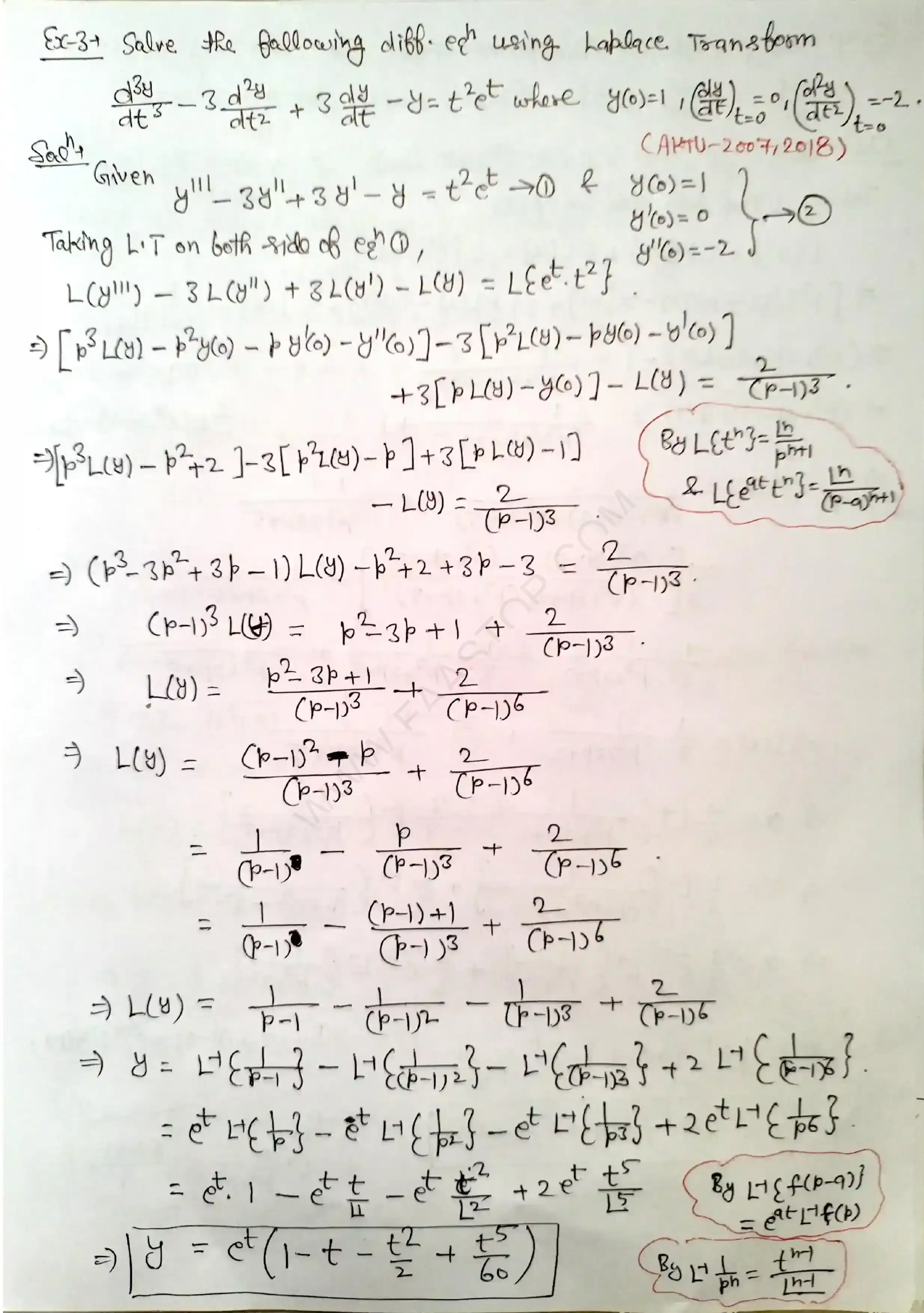
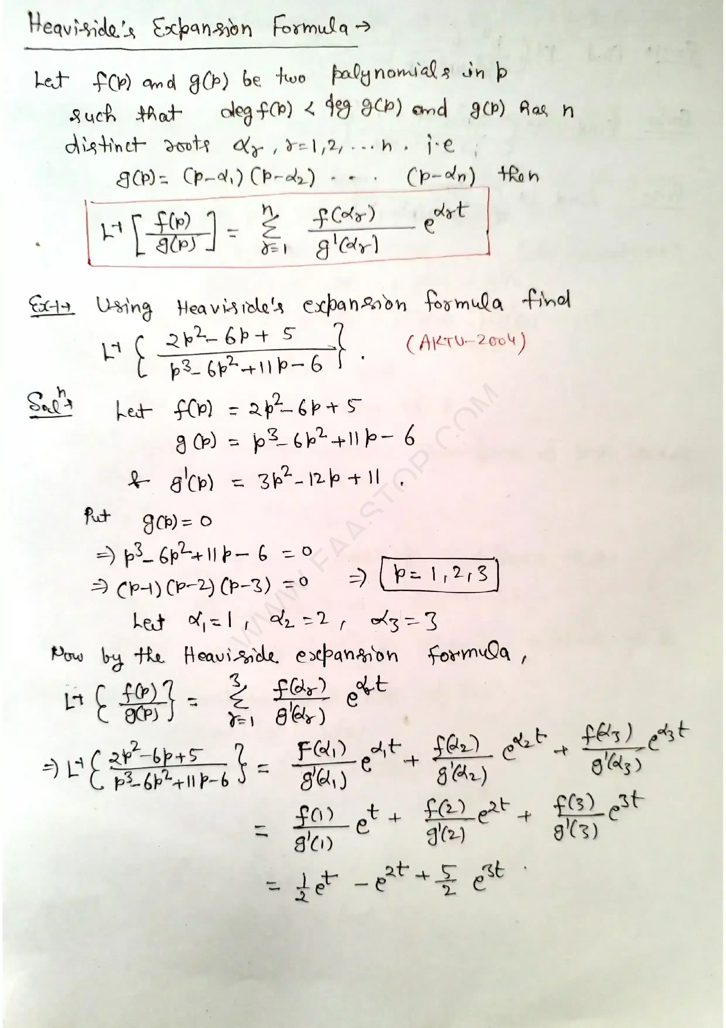
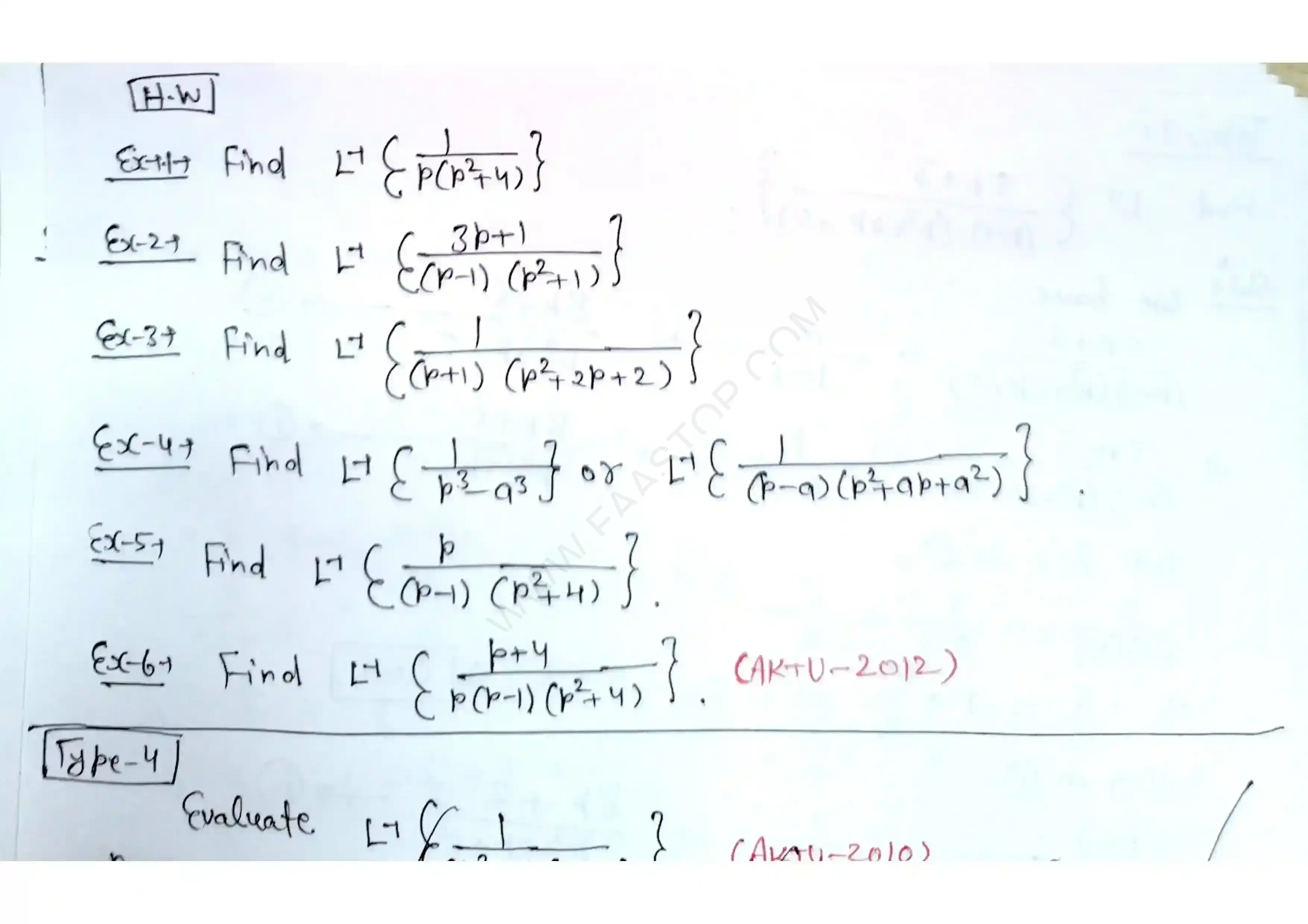
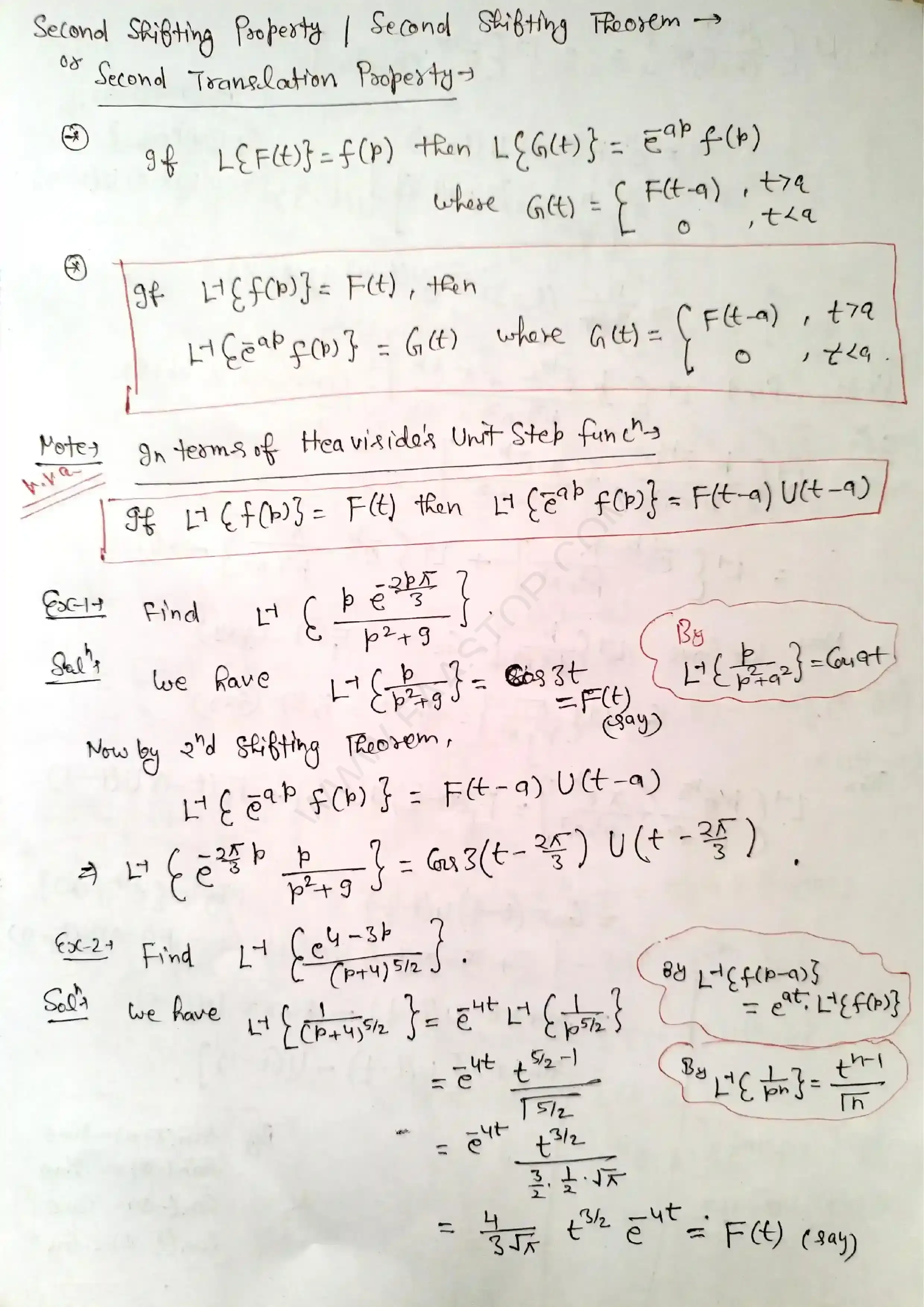
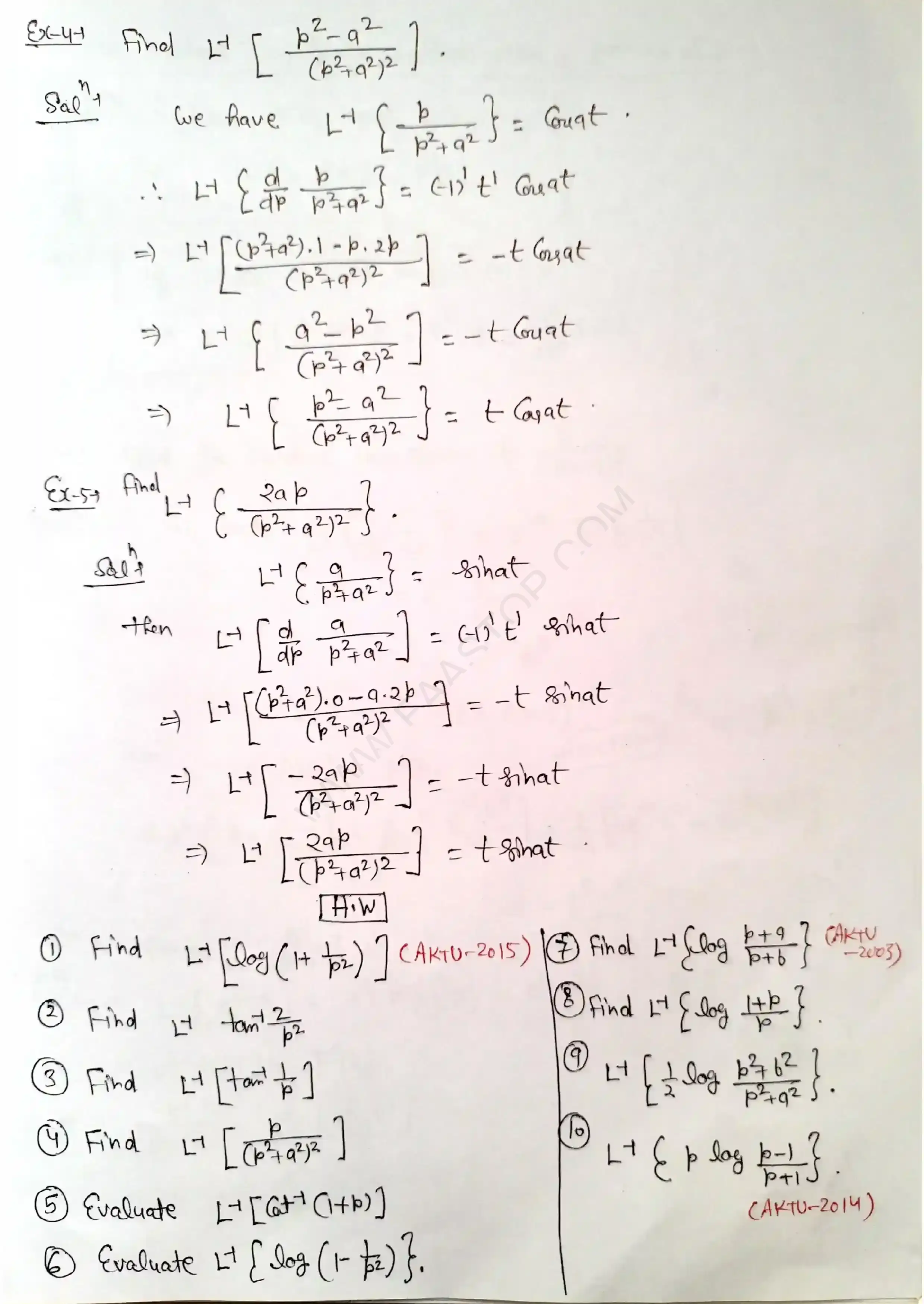
Inverse Laplace transform

ENGINEERING → Electronics and Communication Engineering → Engineering Mathematics → Maths Notes-2

Read handwritten PDF notes for Inverse Laplace transform. This chapter contains 50 pages of handwritten study materials.

50 Total Pages
PDF Format
100% Free Access
logo