logo
Digital Notes

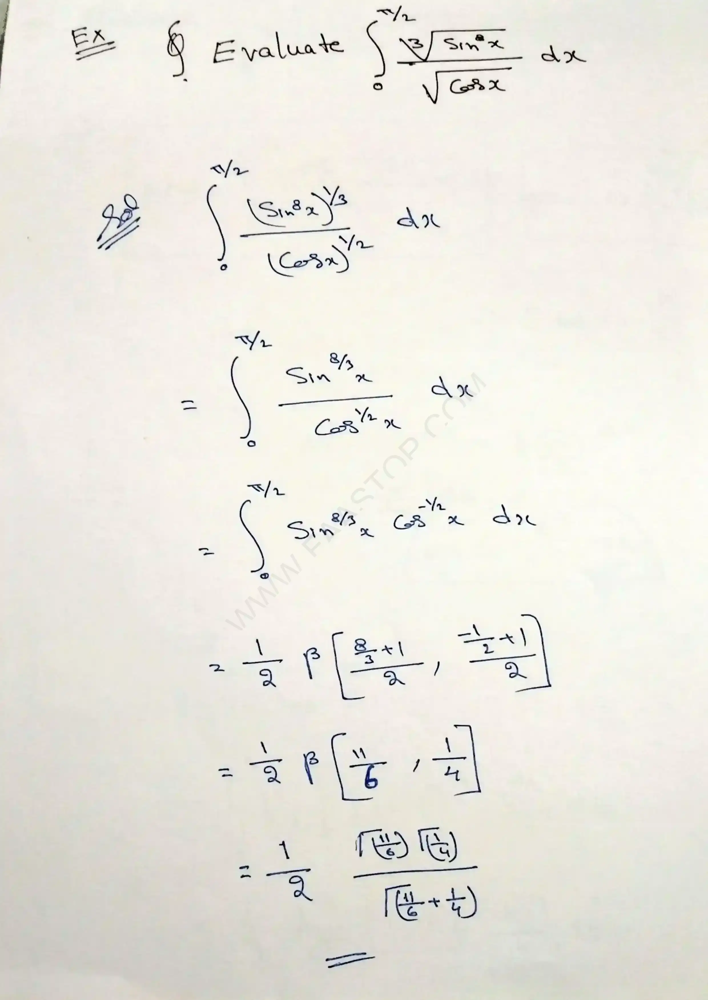
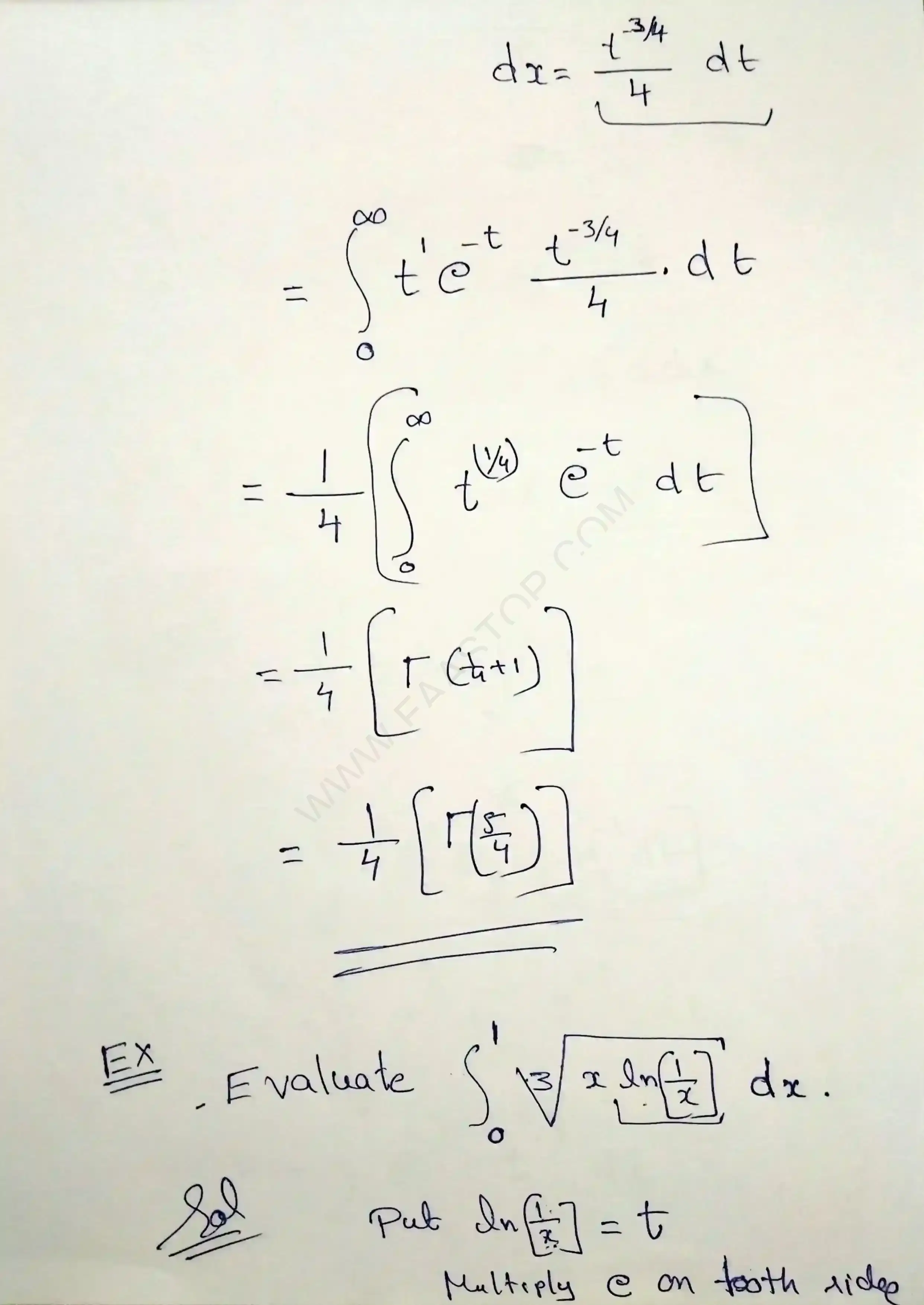
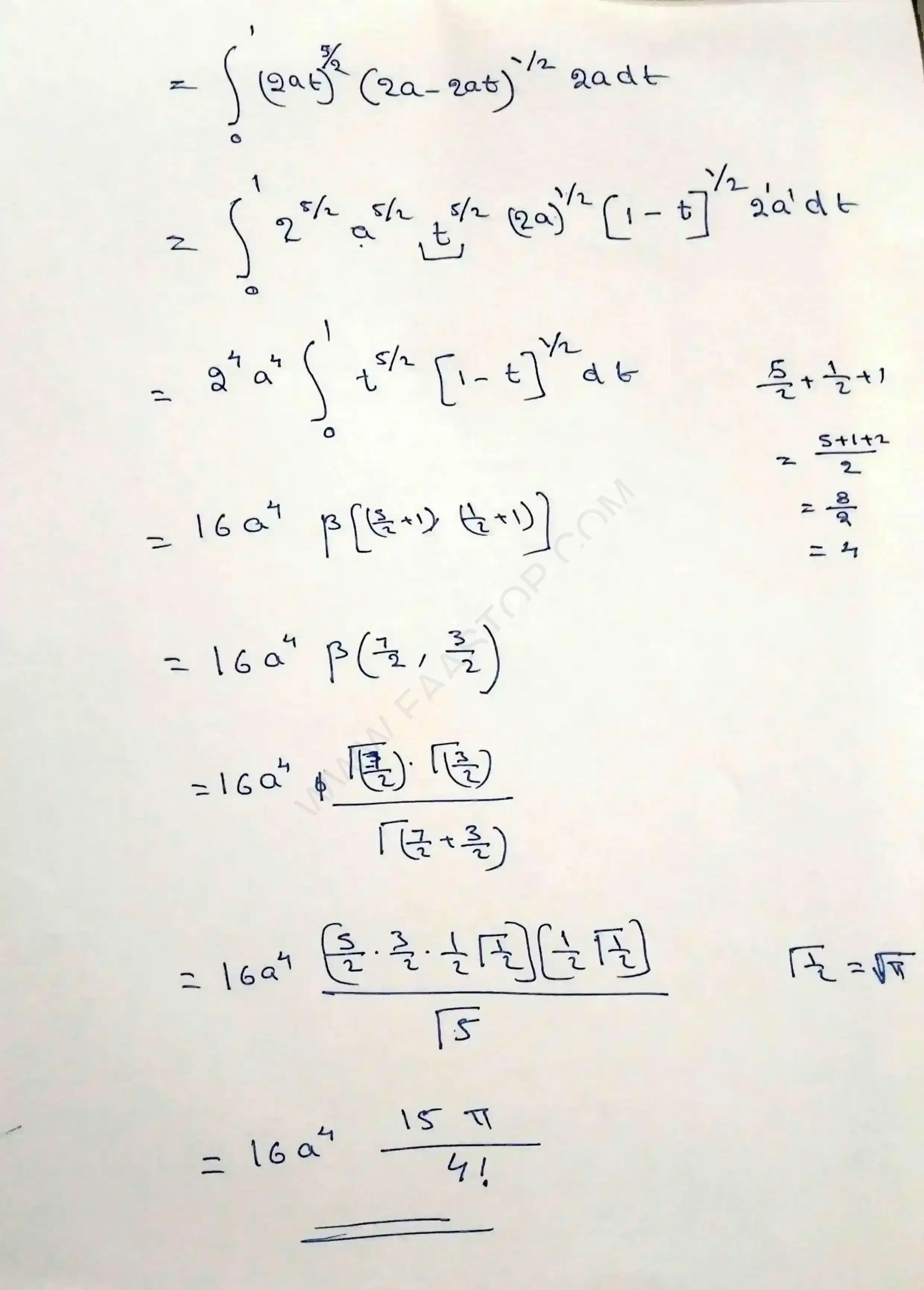
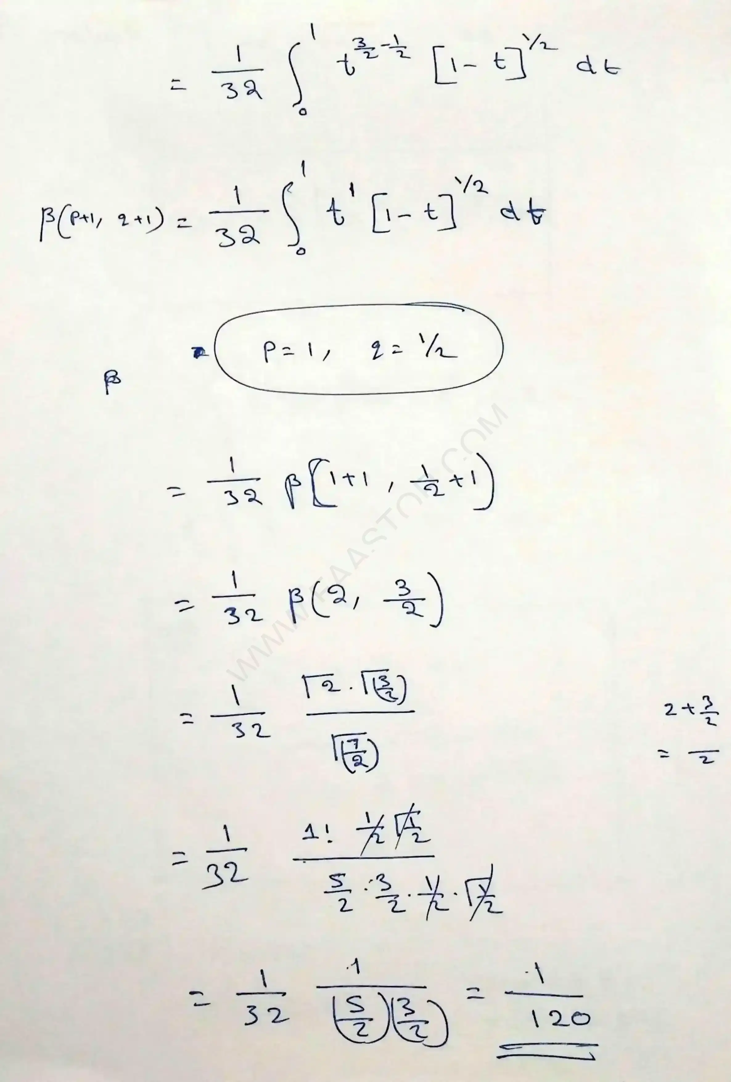
Beta Gama functions

ENGINEERING → Electronics and Communication Engineering → Engineering Mathematics → Maths Notes-2

Read handwritten PDF notes for Beta Gama functions. This chapter contains 14 pages of handwritten study materials.

14 Total Pages
PDF Format
100% Free Access
logo