logo
Digital Notes

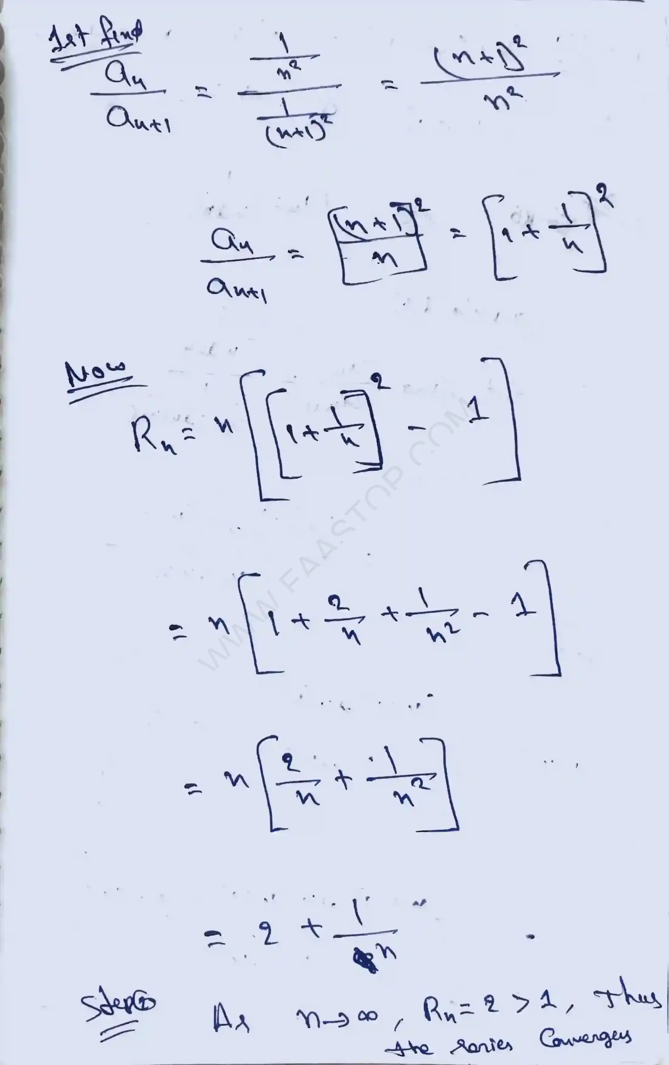
Sequence and Series

ENGINEERING → Electronics and Communication Engineering → Engineering Mathematics → Maths Notes-2

Read handwritten PDF notes for Sequence and Series. This chapter contains 55 pages of handwritten study materials.

55 Total Pages
PDF Format
100% Free Access
logo