logo
Digital Notes

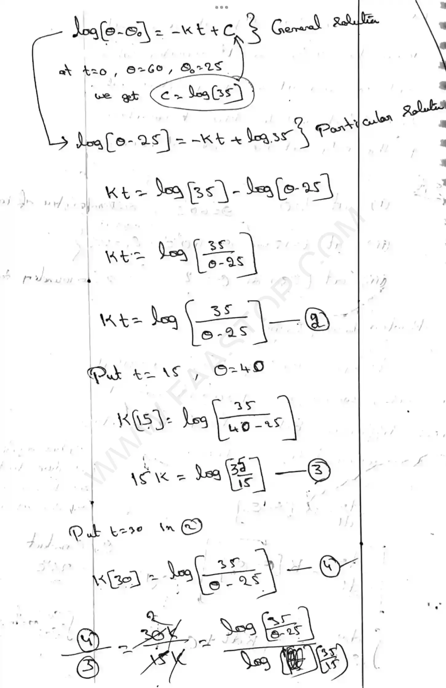
First order Differential Equations

ENGINEERING → Electronics and Communication Engineering → Engineering Mathematics → Maths Notes-2

Read handwritten PDF notes for First order Differential Equations. This chapter contains 32 pages of handwritten study materials.

32 Total Pages
PDF Format
100% Free Access
logo