logo
Digital Notes

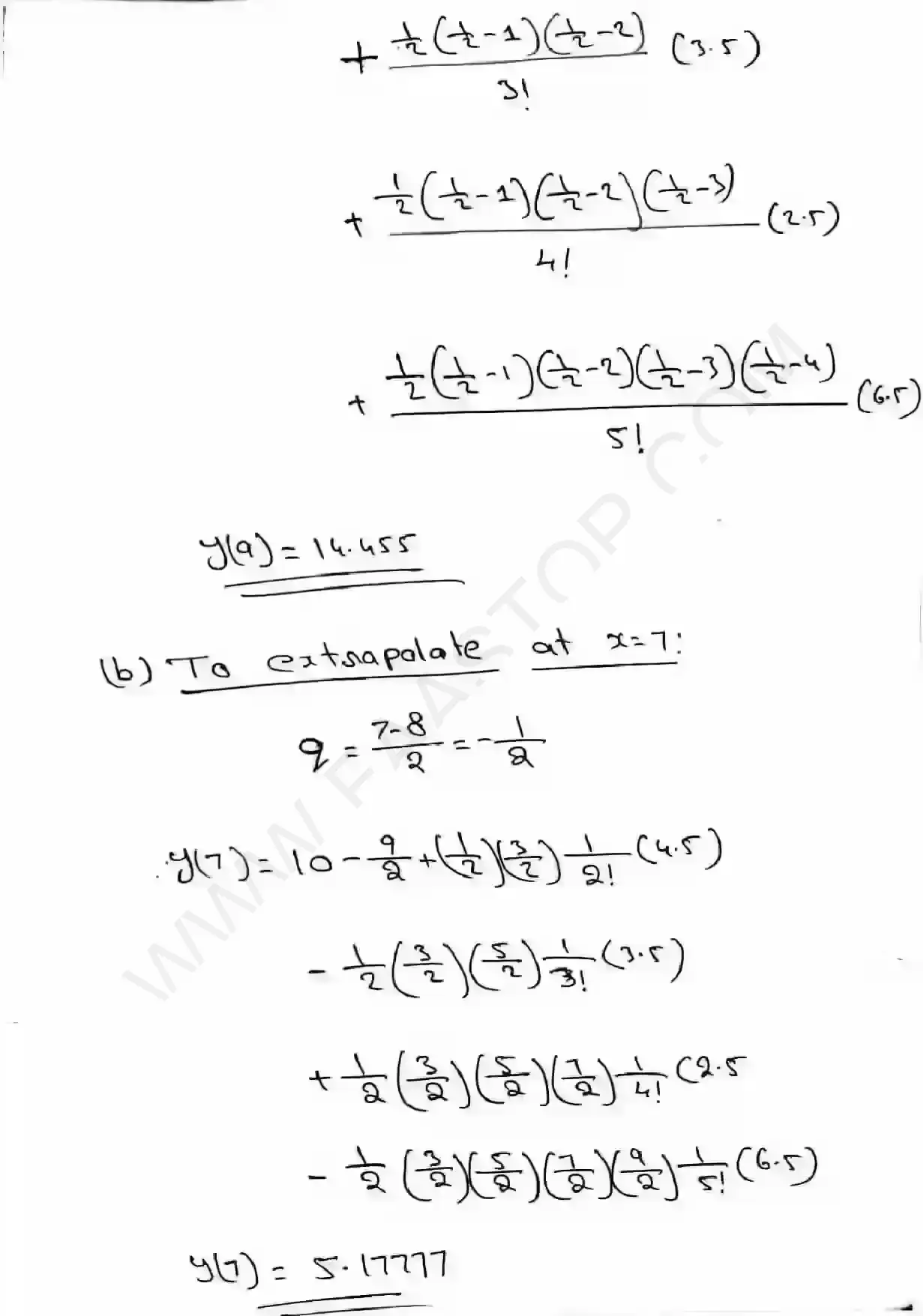
Interpolation

ENGINEERING → Electronics and Communication Engineering → Engineering Mathematics → Maths Notes-2

Read handwritten PDF notes for Interpolation. This chapter contains 9 pages of handwritten study materials.

9 Total Pages
PDF Format
100% Free Access
logo