logo
Digital Notes

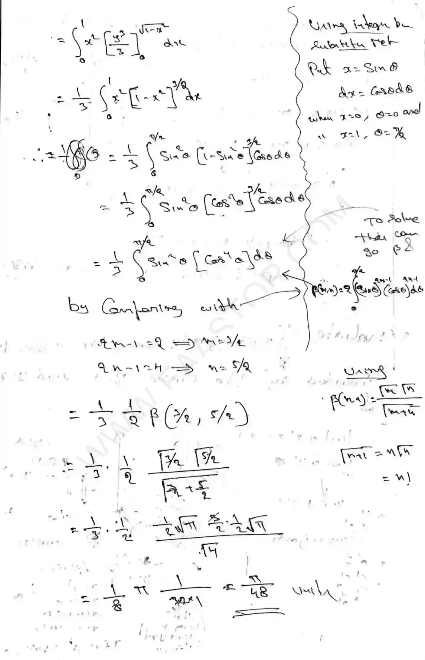
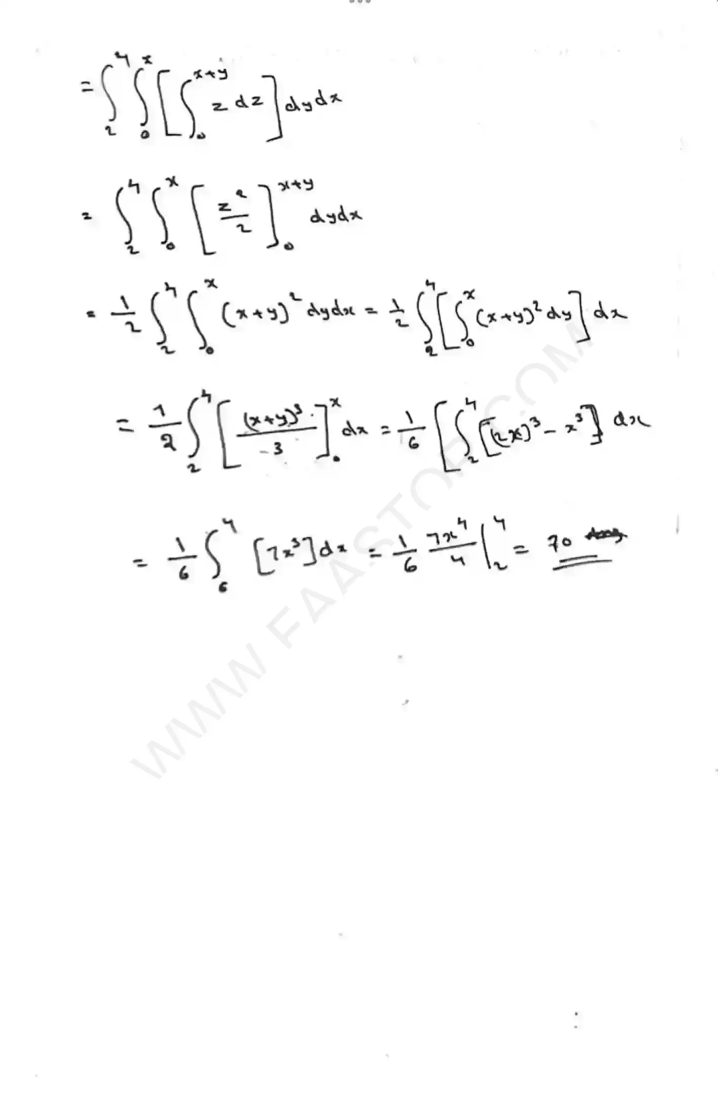
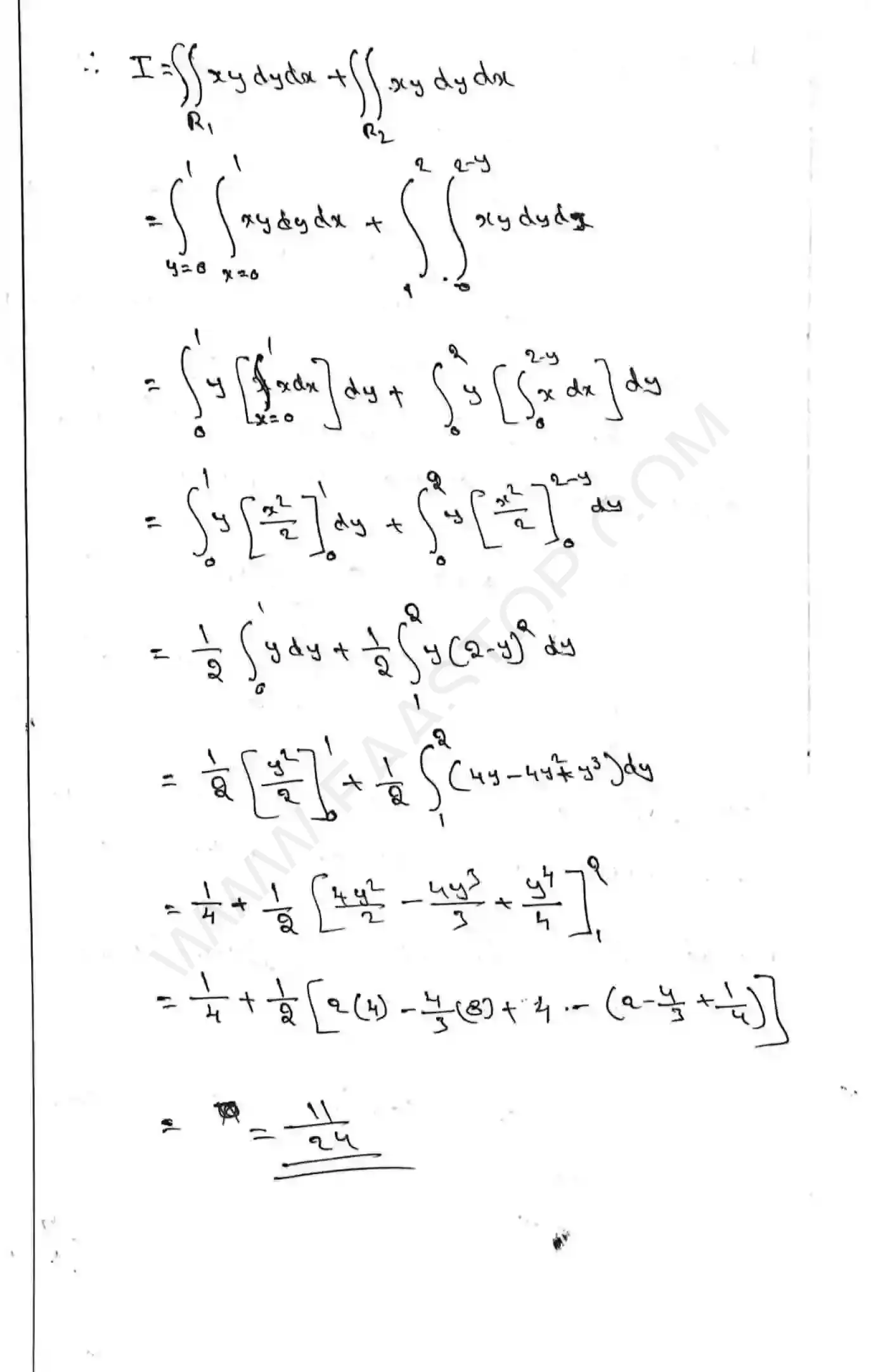
Multiple Integrals

ENGINEERING → Electronics and Communication Engineering → Engineering Mathematics → Maths Notes-2

Read handwritten PDF notes for Multiple Integrals. This chapter contains 21 pages of handwritten study materials.

21 Total Pages
PDF Format
100% Free Access
logo