logo
Digital Notes

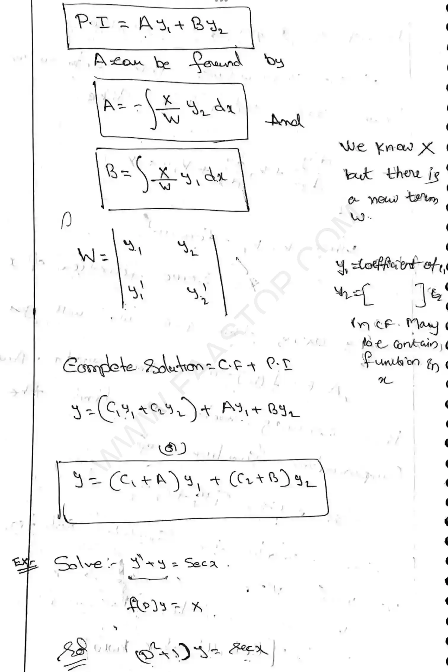
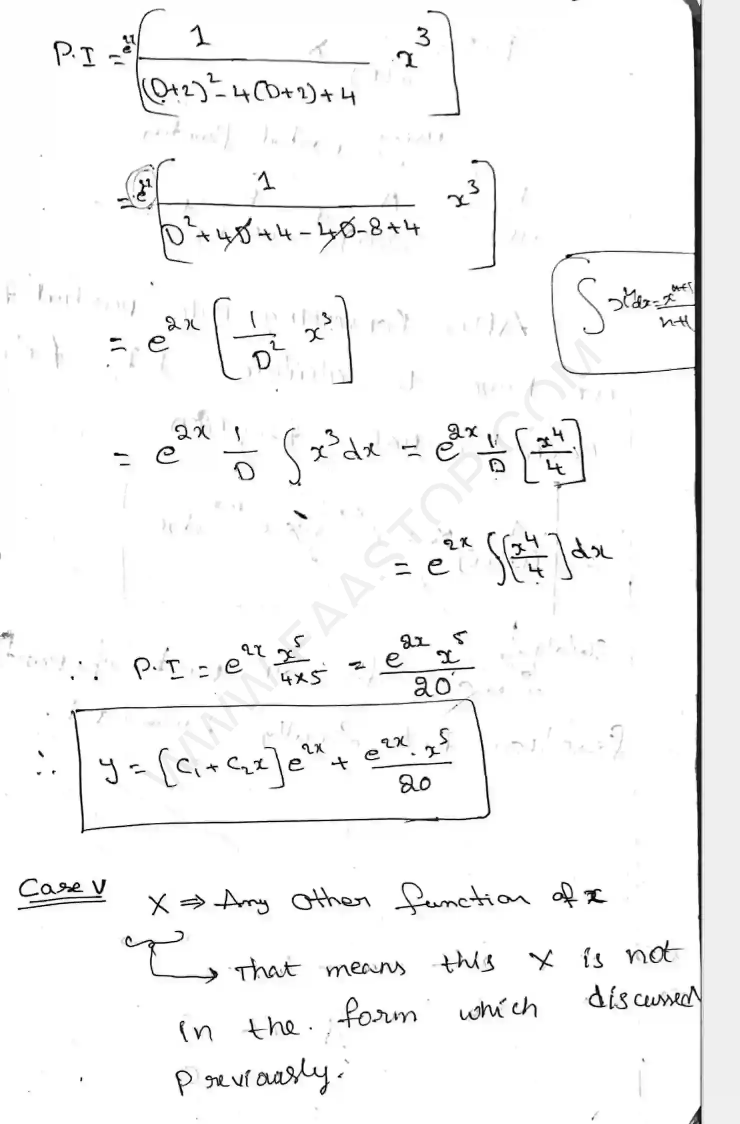
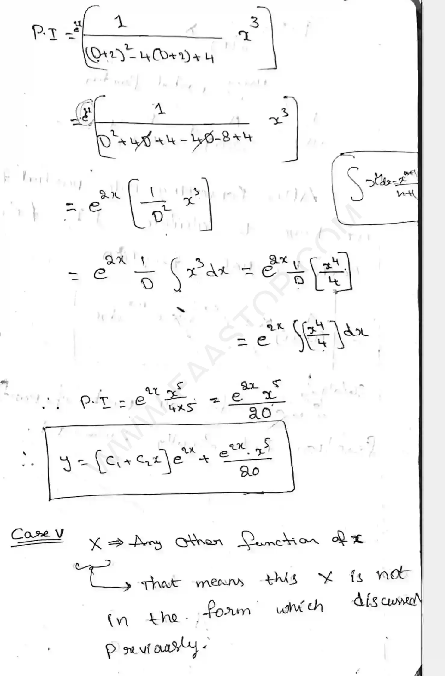
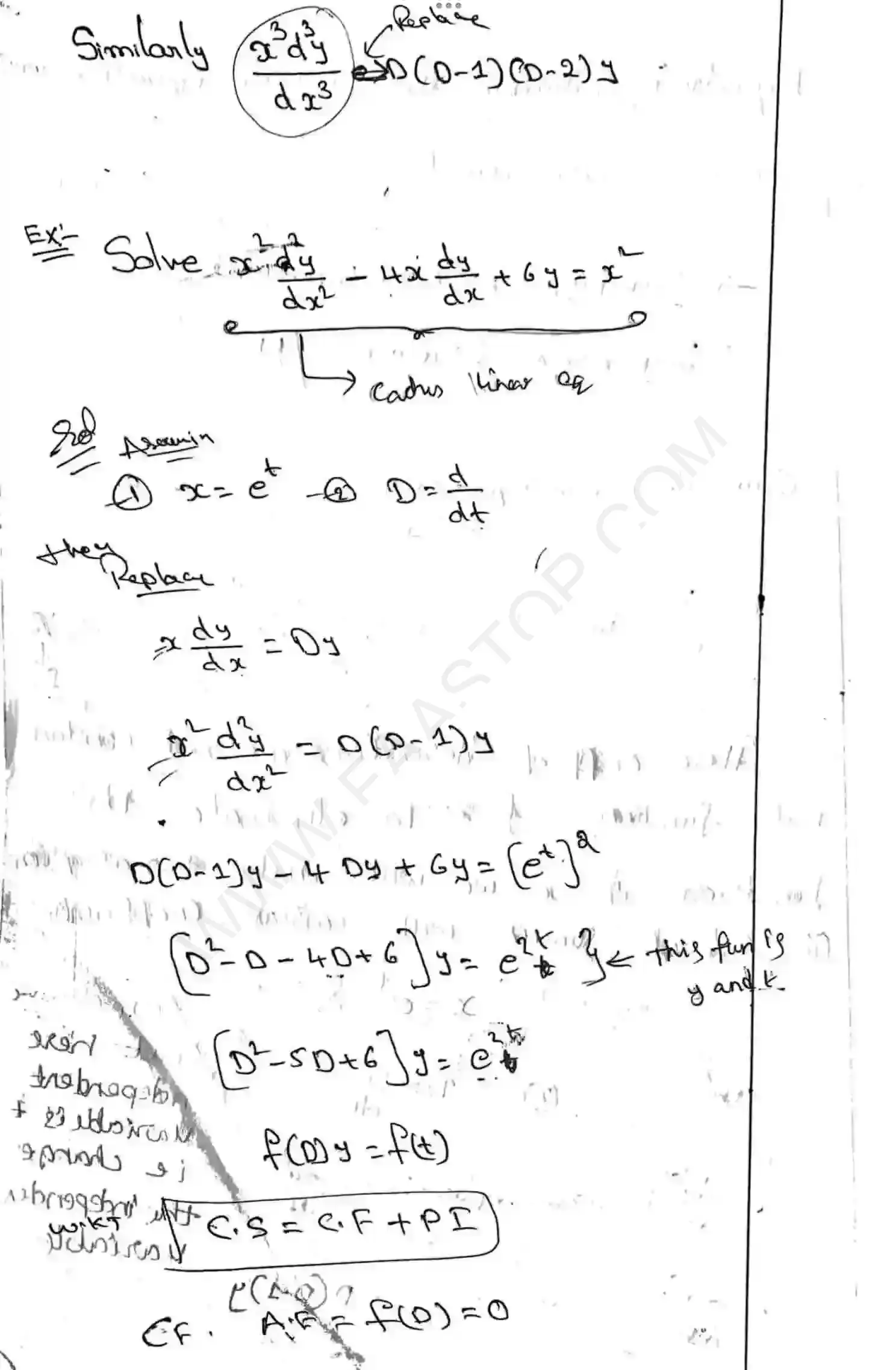
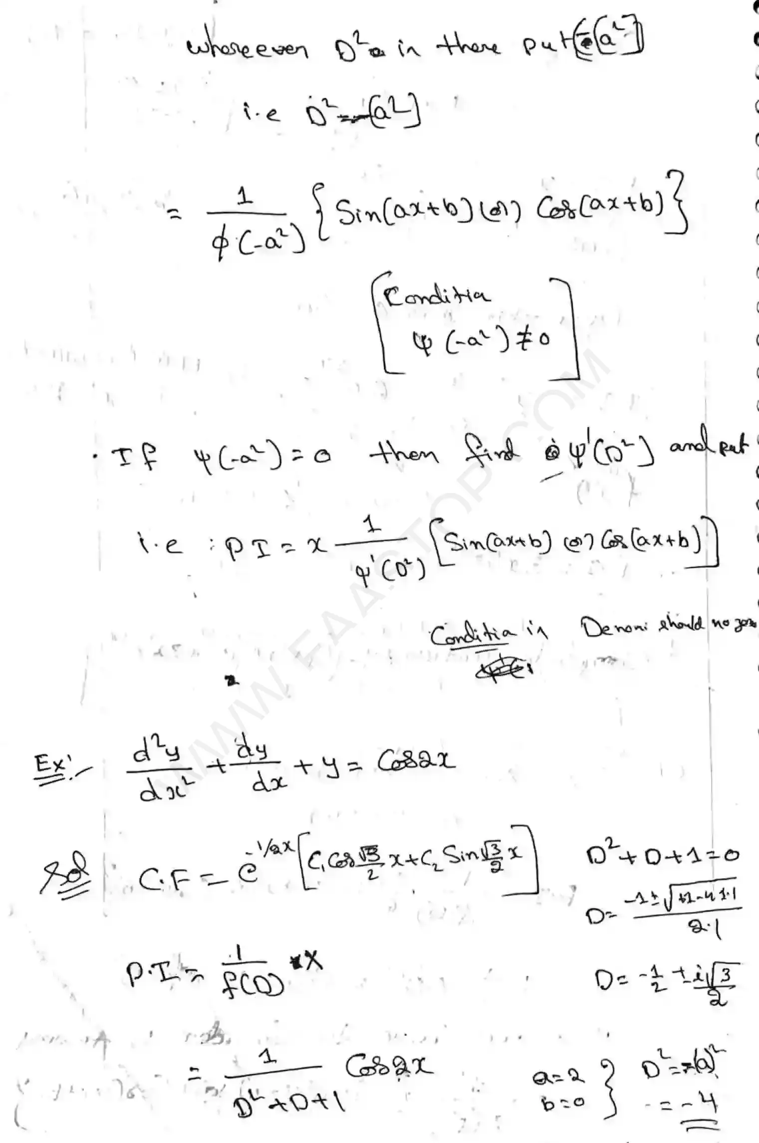
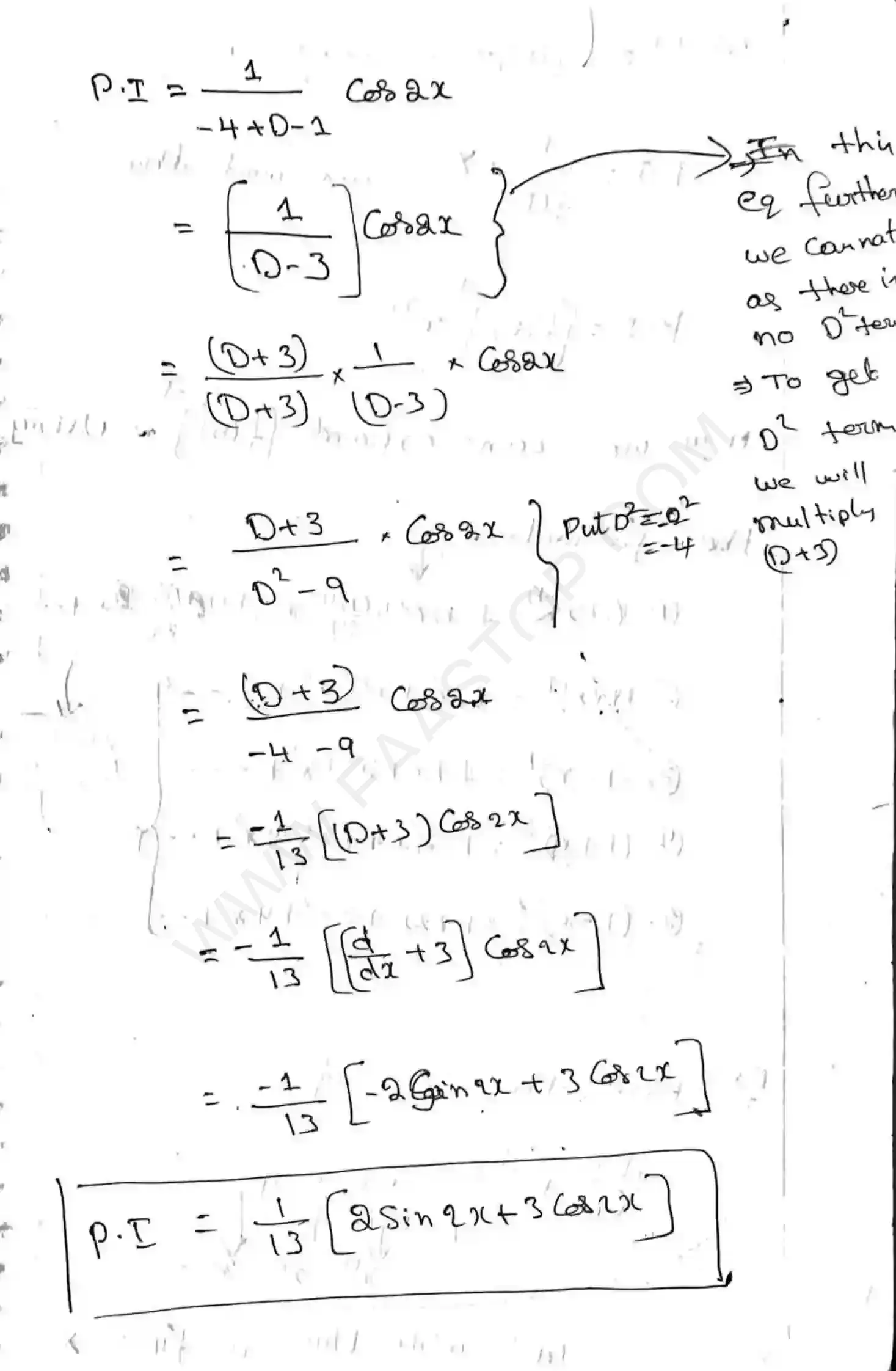
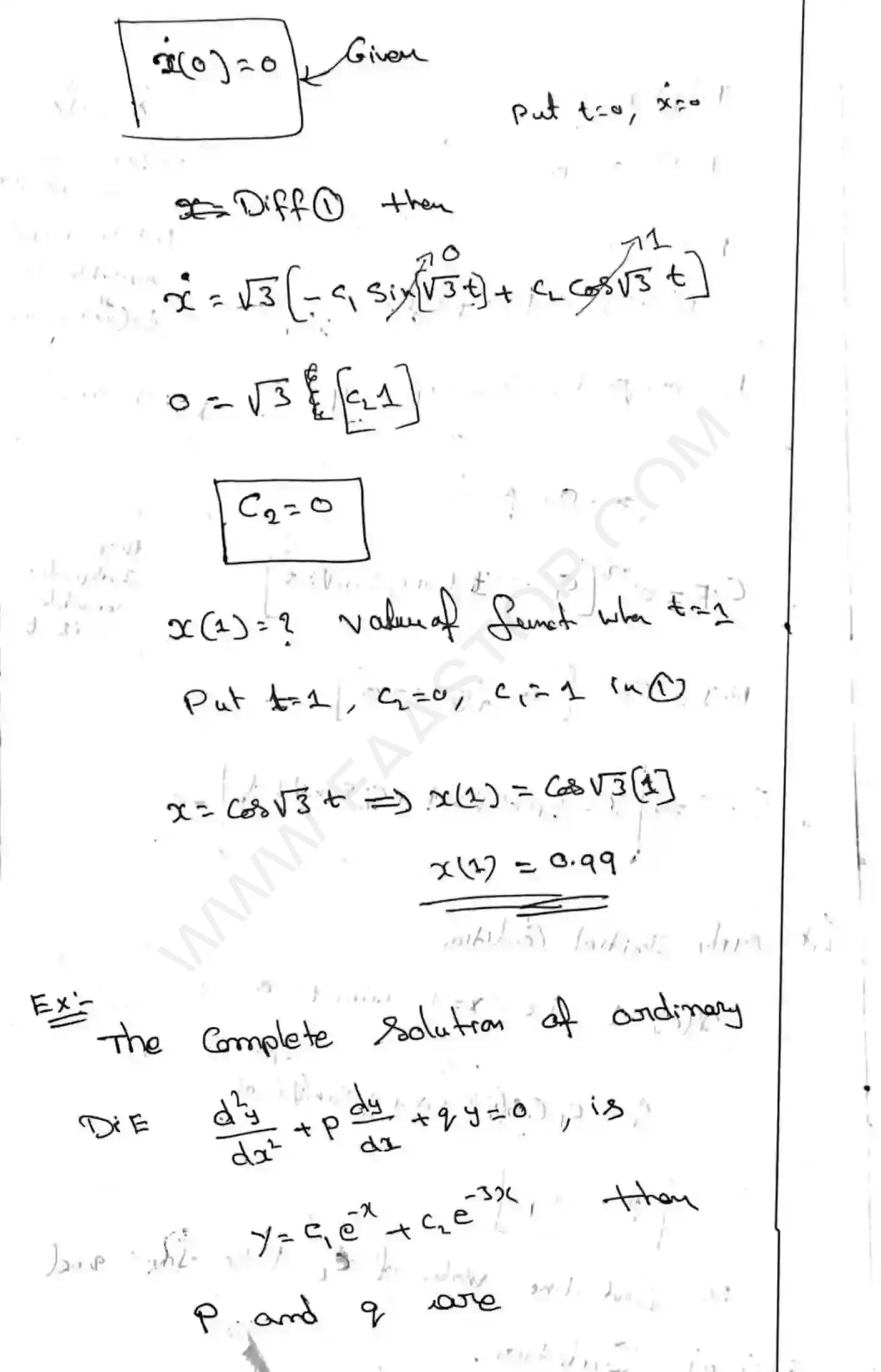
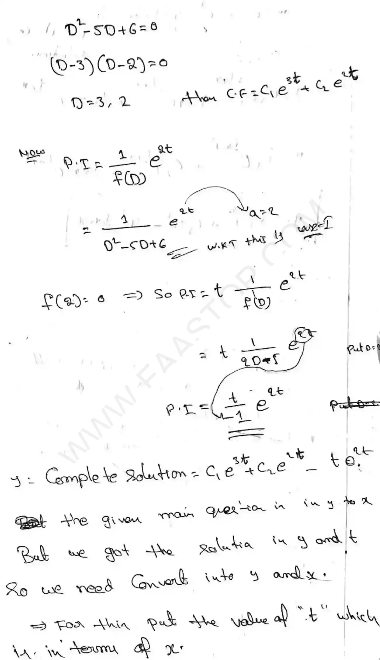
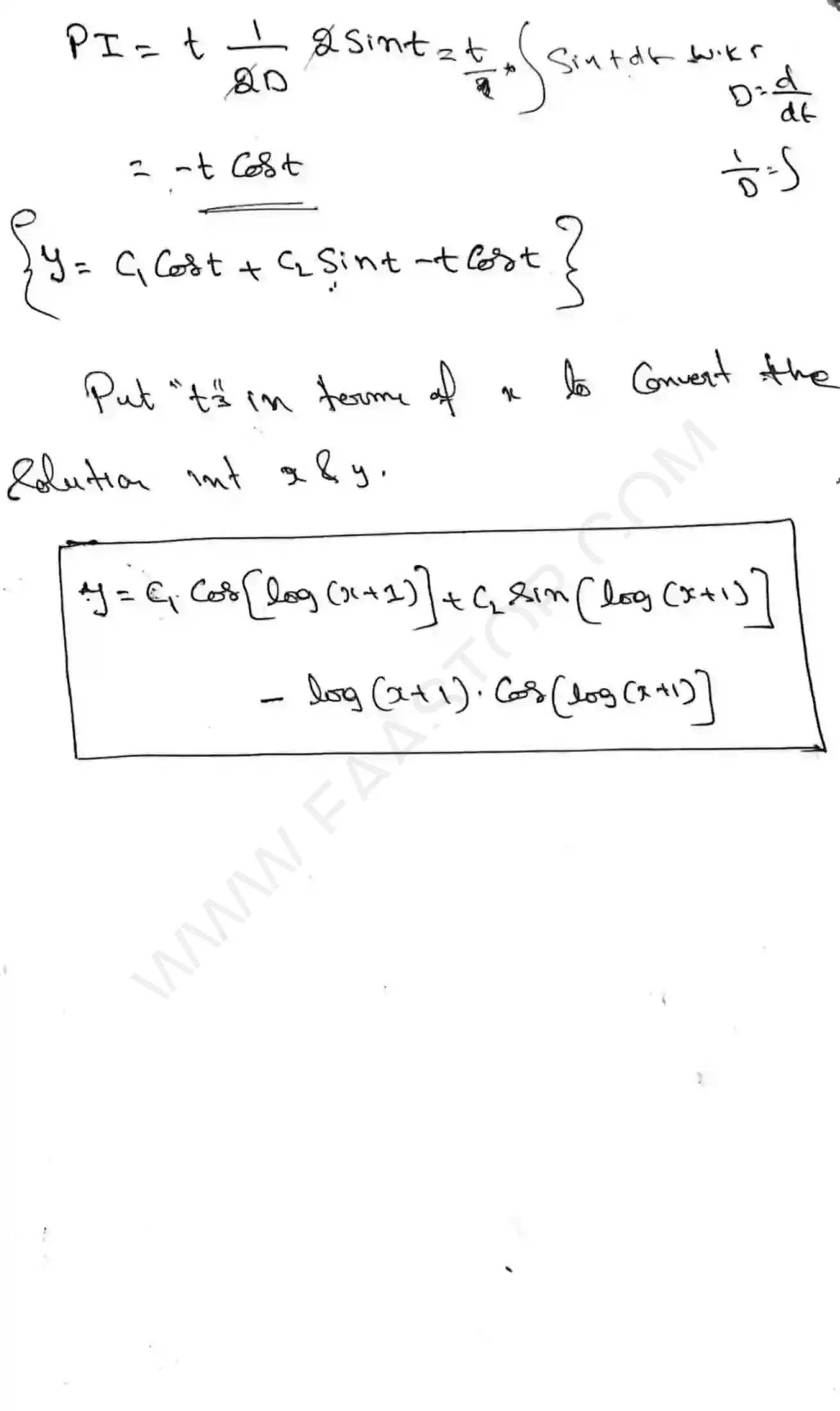
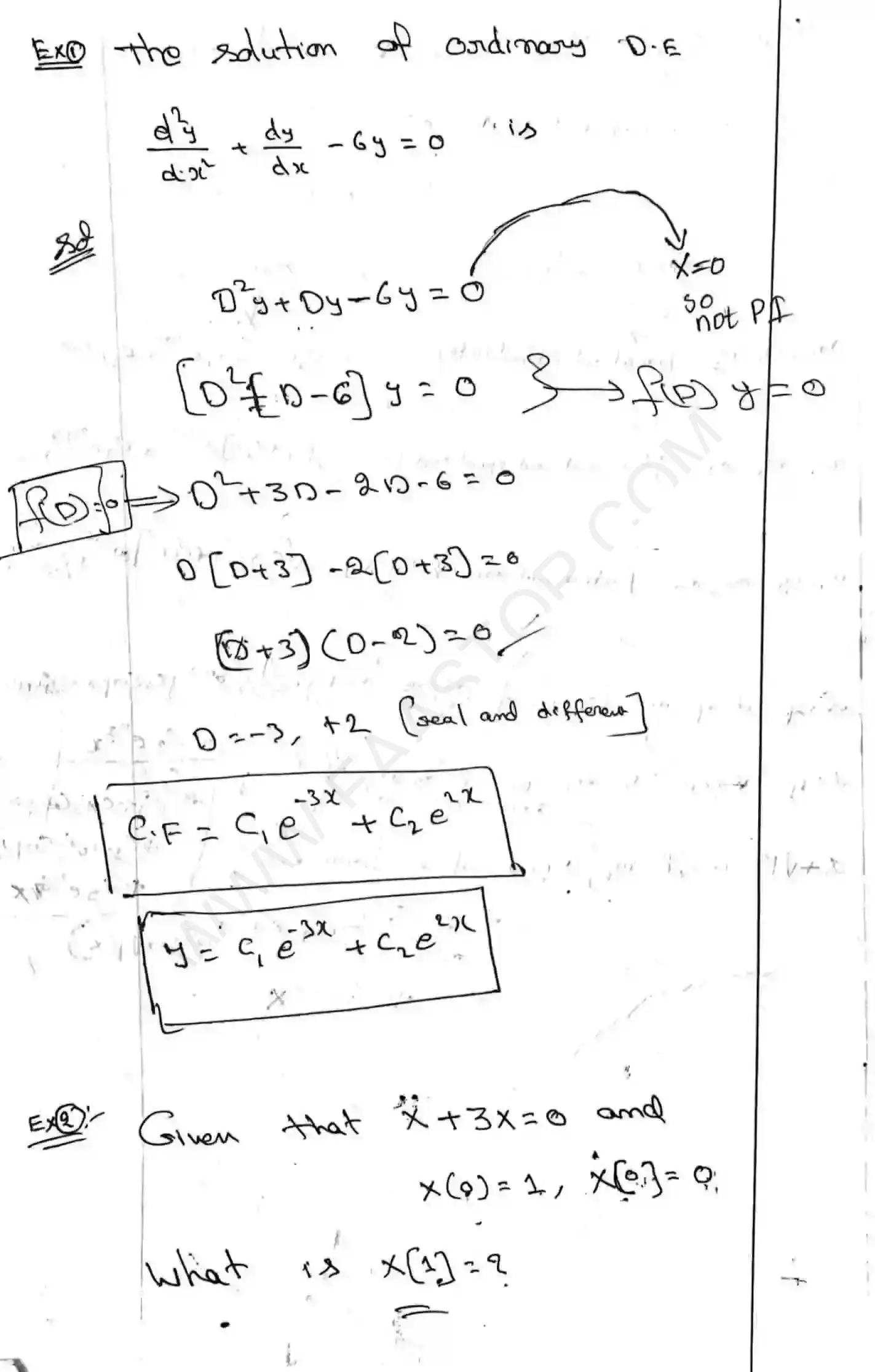
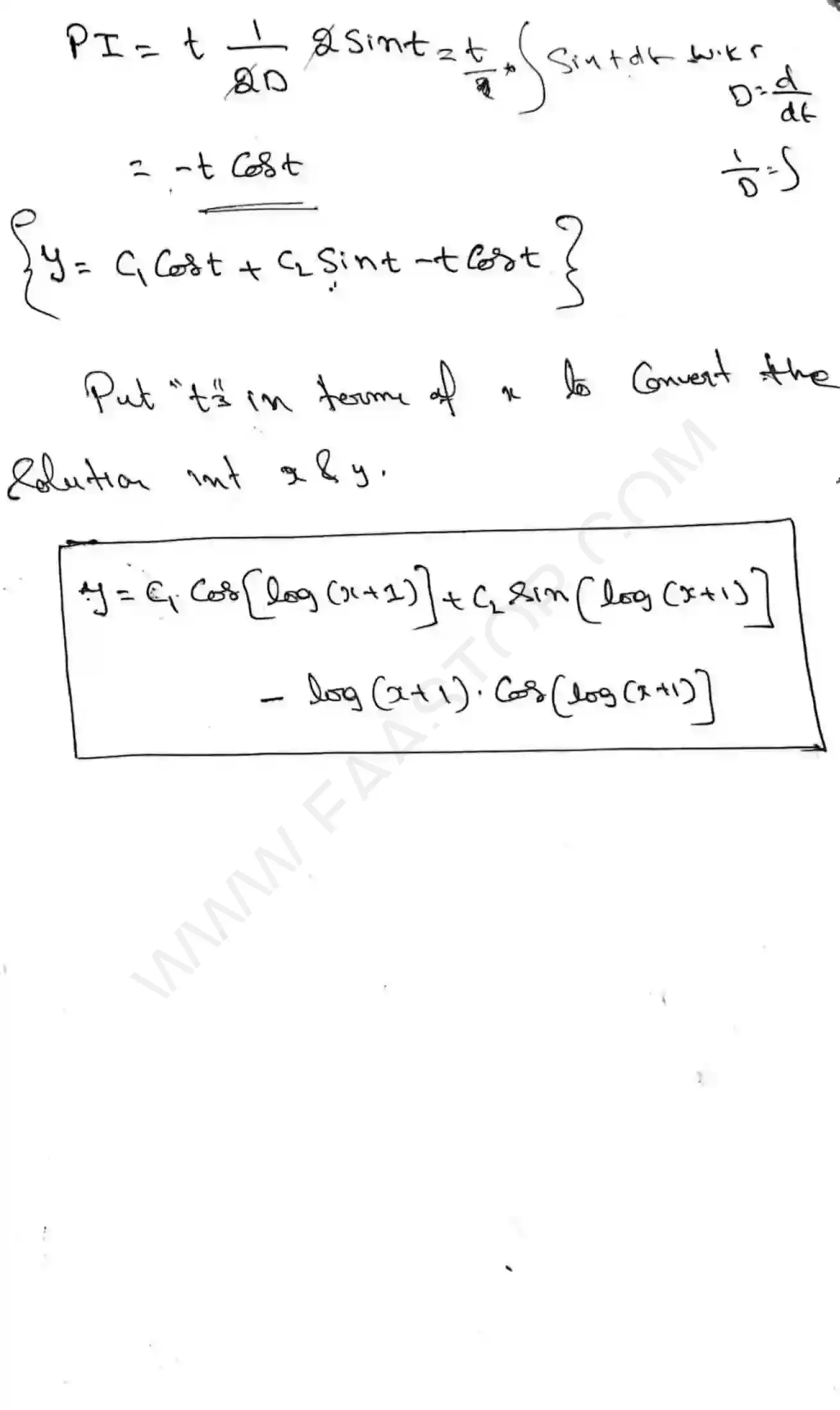
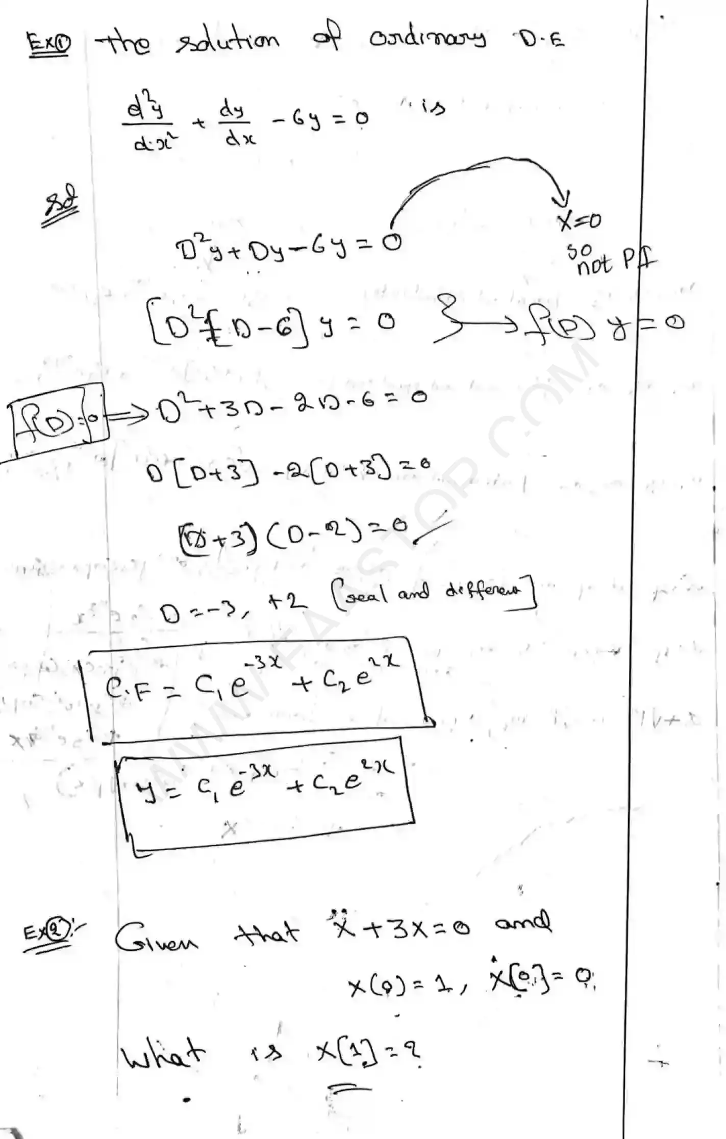
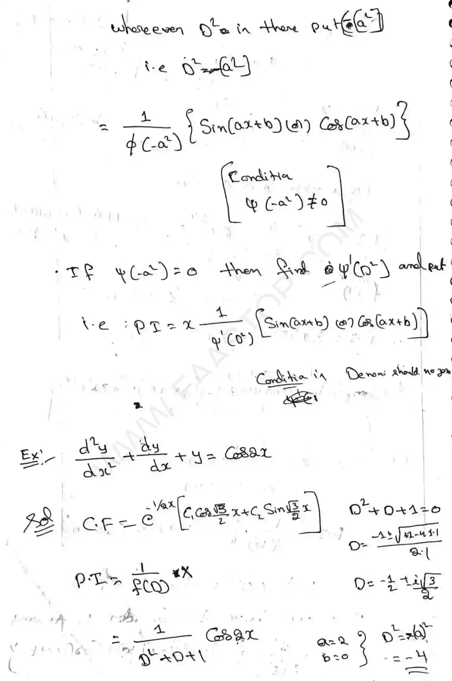
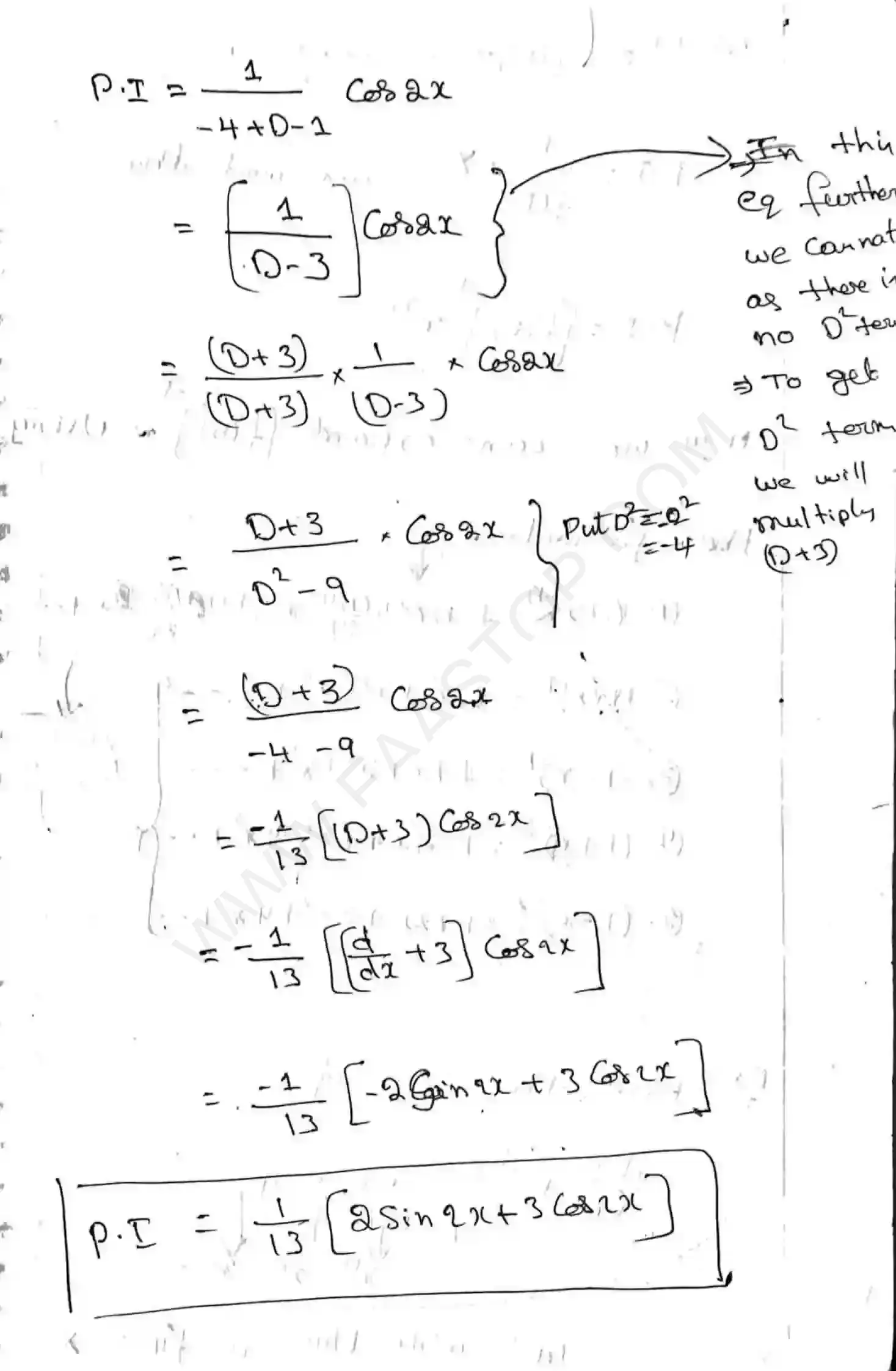
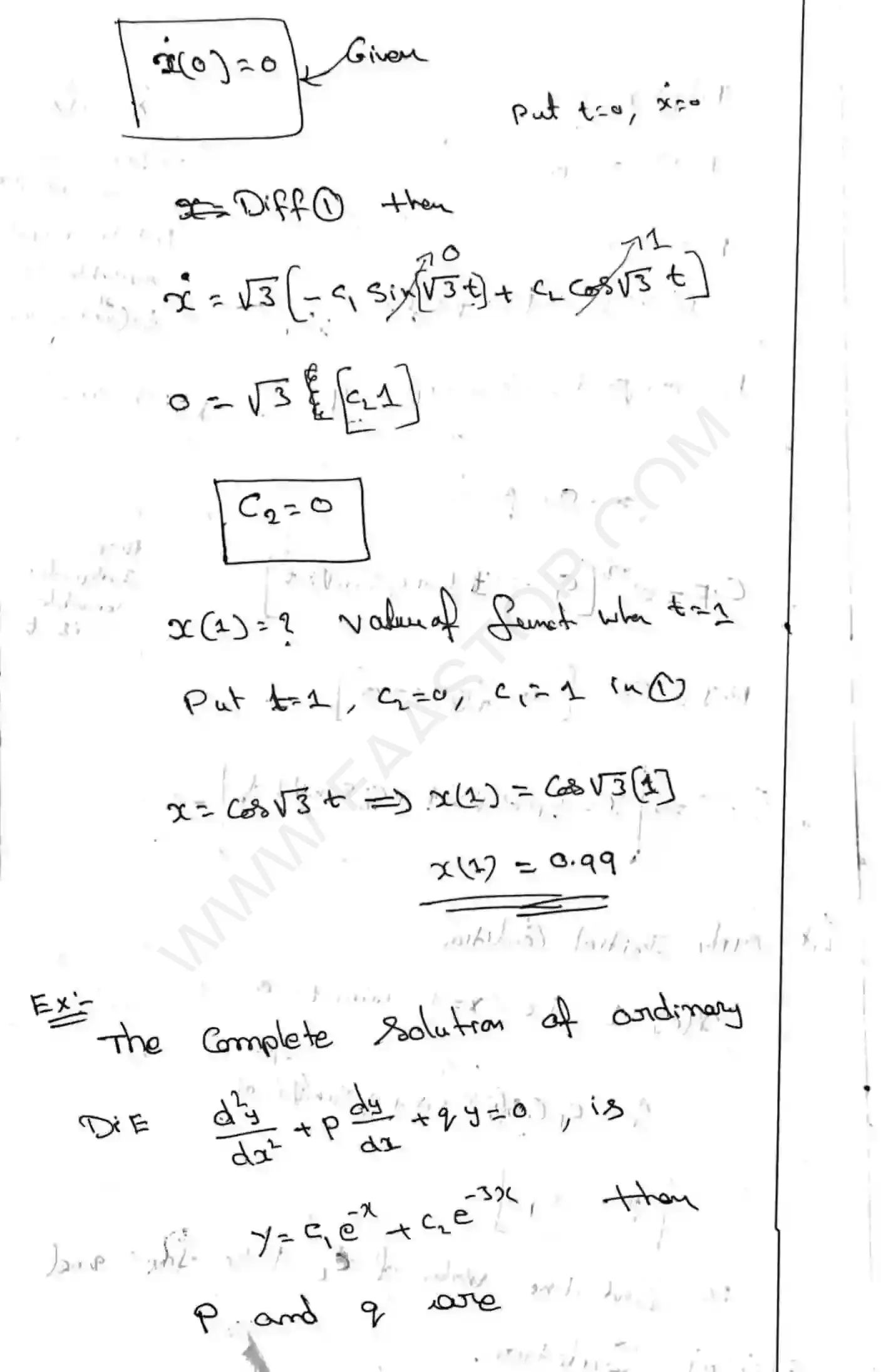
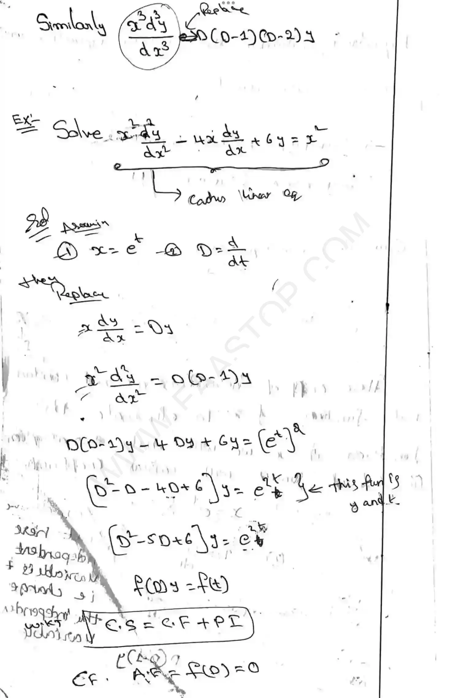
Higher order Differential Equations

ENGINEERING → Electronics and Communication Engineering → Engineering Mathematics → Maths Notes-2

Read handwritten PDF notes for Higher order Differential Equations. This chapter contains 58 pages of handwritten study materials.

58 Total Pages
PDF Format
100% Free Access
logo