logo
Digital Notes

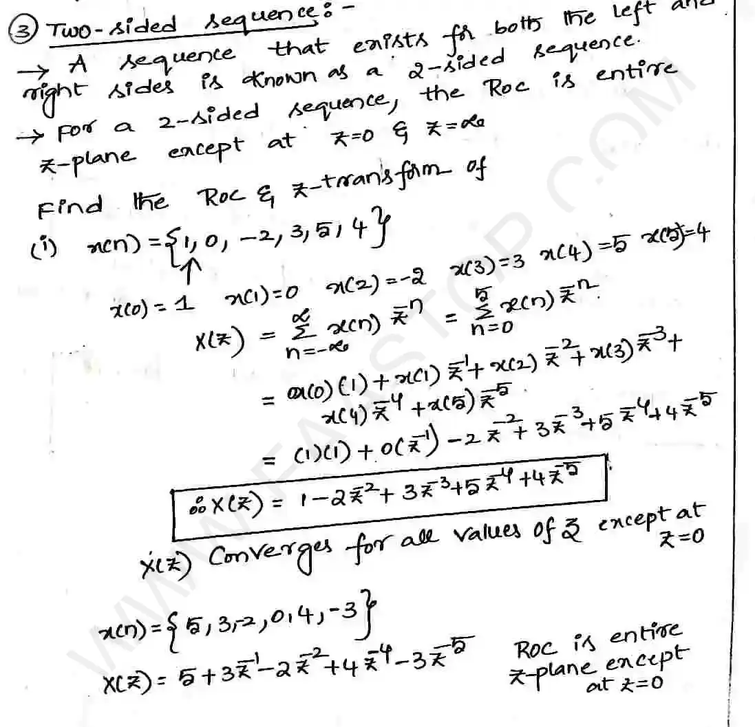
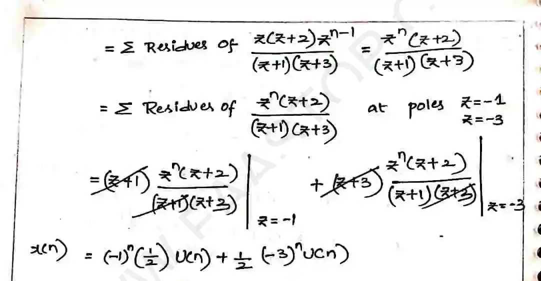
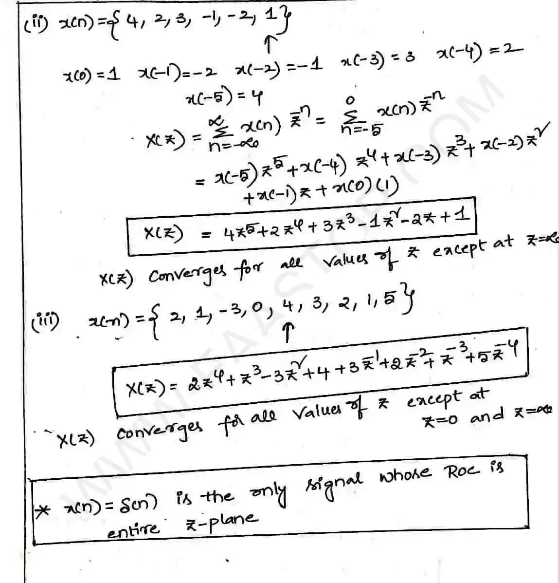
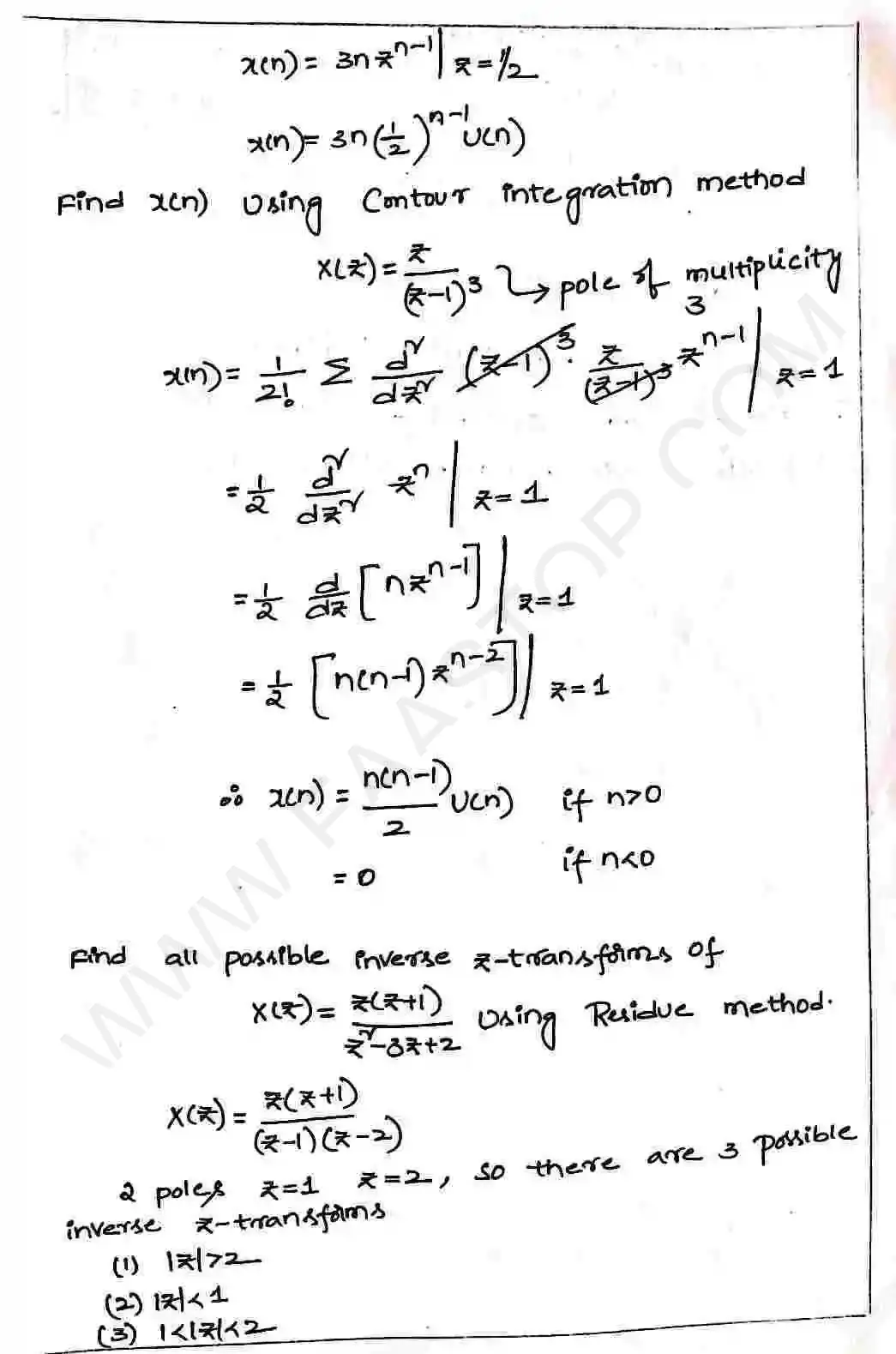
Z Transform

ENGINEERING → Electronics and Communication Engineering → Signals and Systems → SS Notes-1

Read handwritten PDF notes for Z Transform. This chapter contains 51 pages of handwritten study materials.

51 Total Pages
PDF Format
100% Free Access
logo