logo
Digital Notes

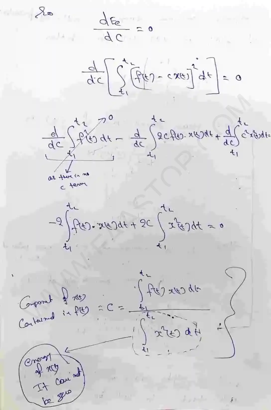
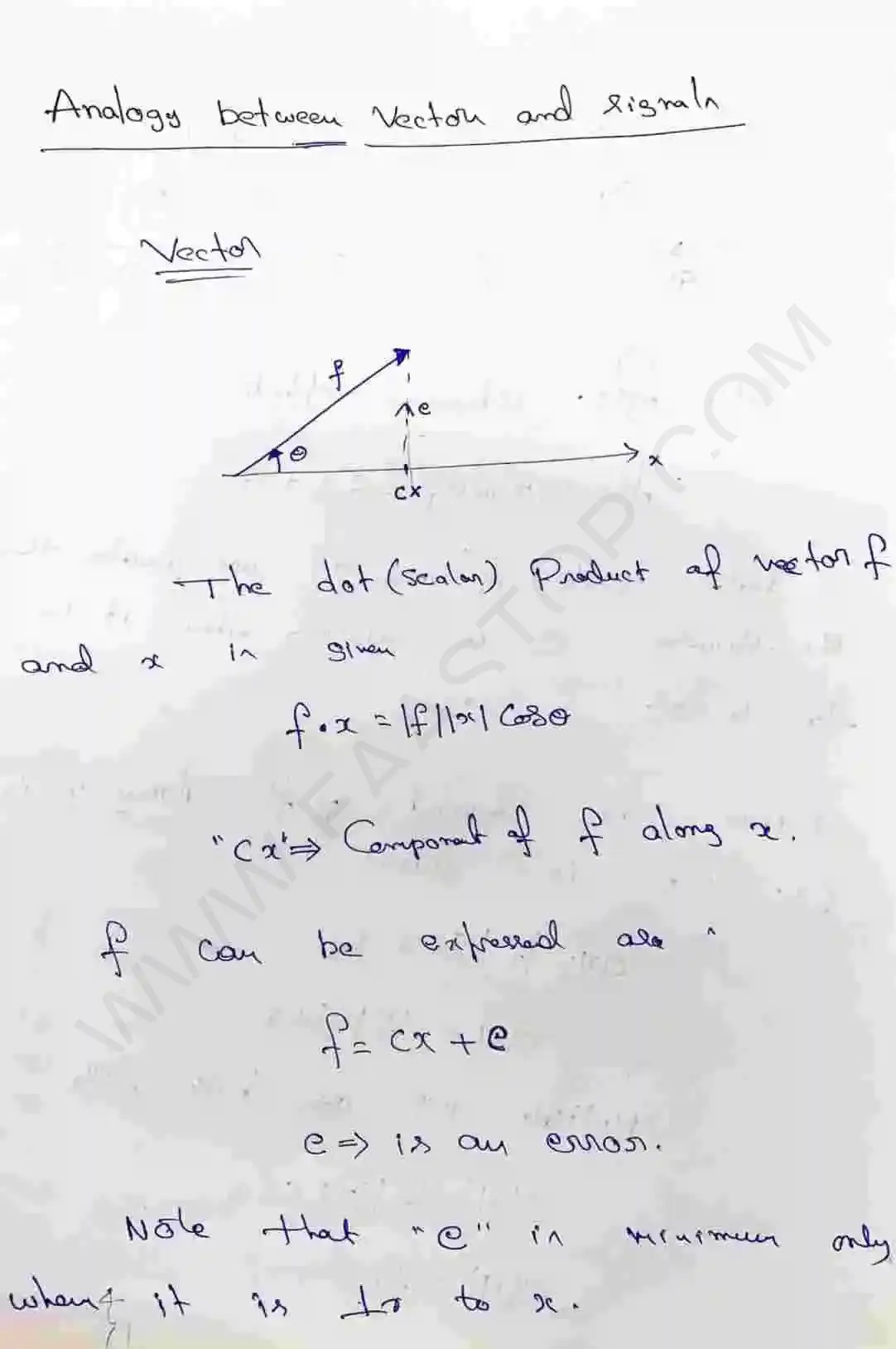
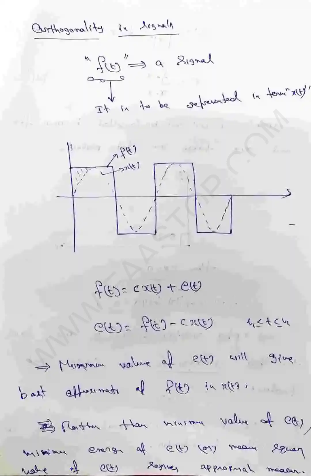
Analogy Between Vectors And Signals

ENGINEERING → Electronics and Communication Engineering → Signals and Systems → SS Notes-1

Read handwritten PDF notes for Analogy Between Vectors And Signals. This chapter contains 26 pages of handwritten study materials.

26 Total Pages
PDF Format
100% Free Access
logo