logo
Digital Notes

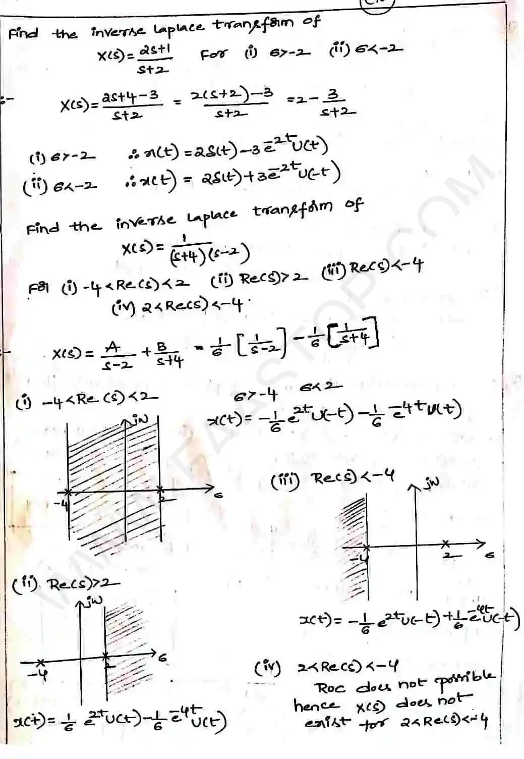
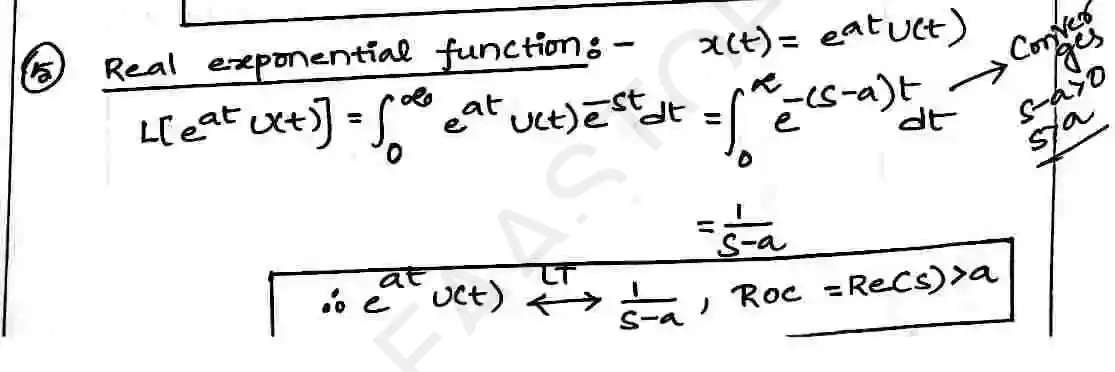
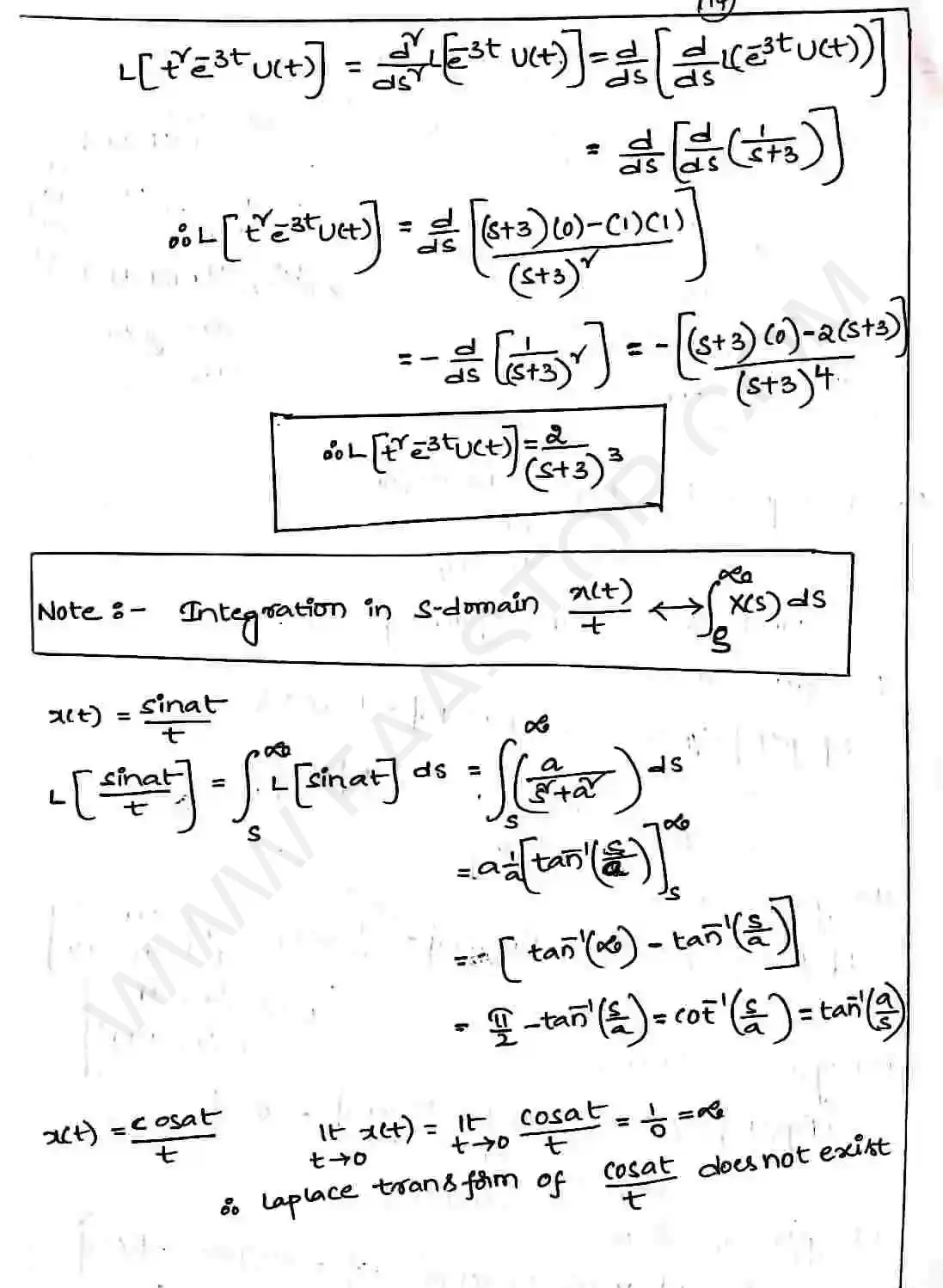
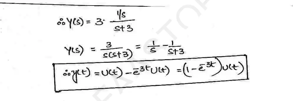
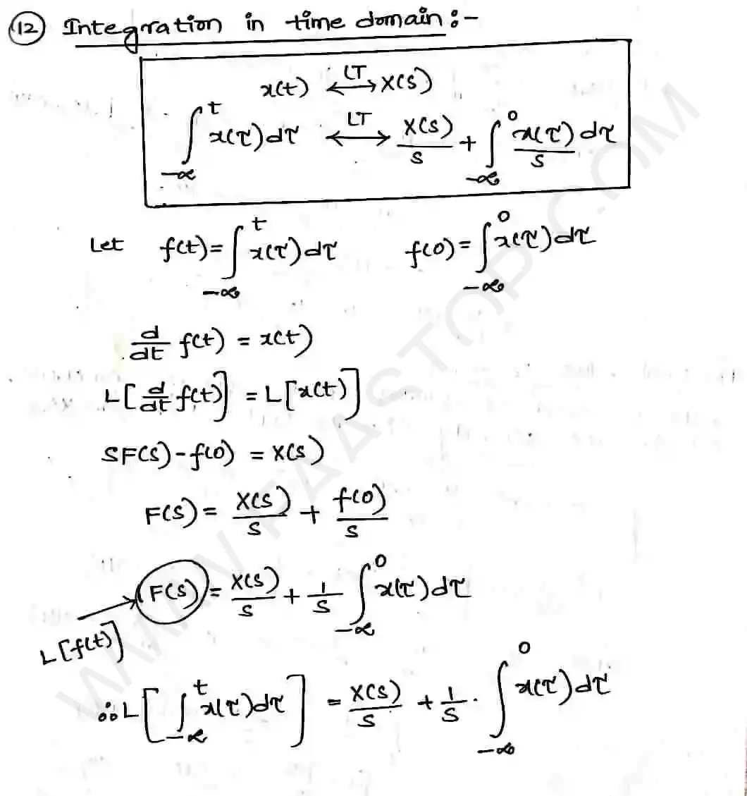
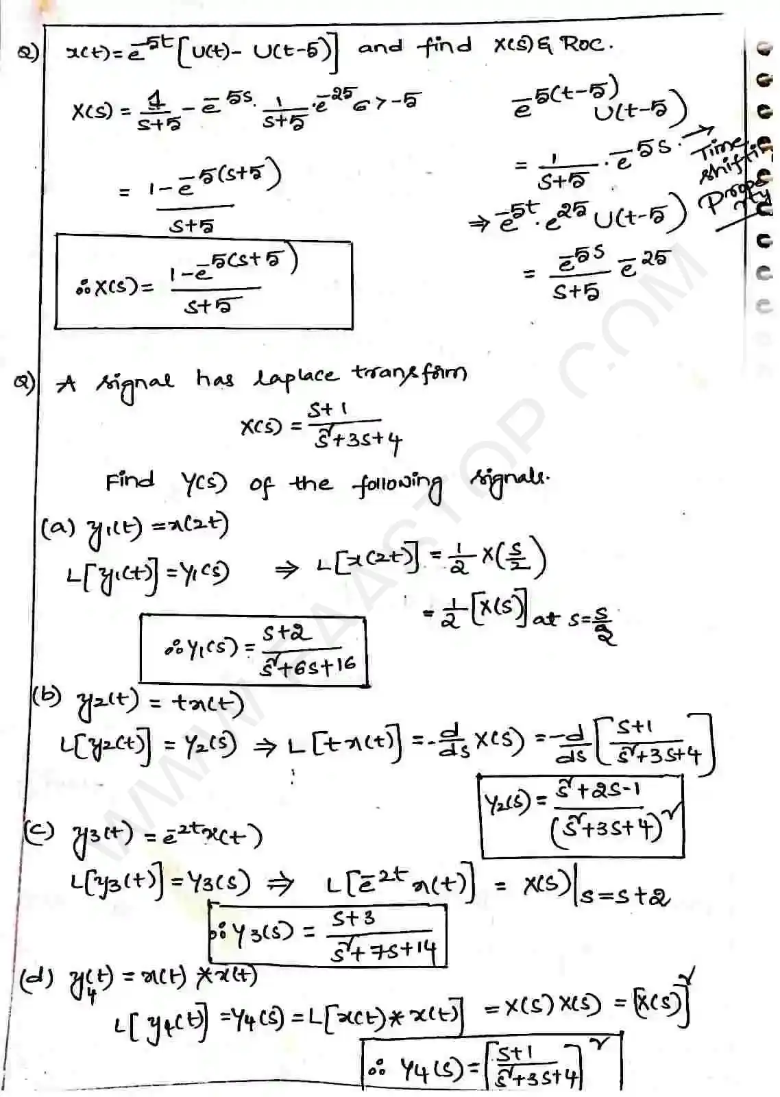
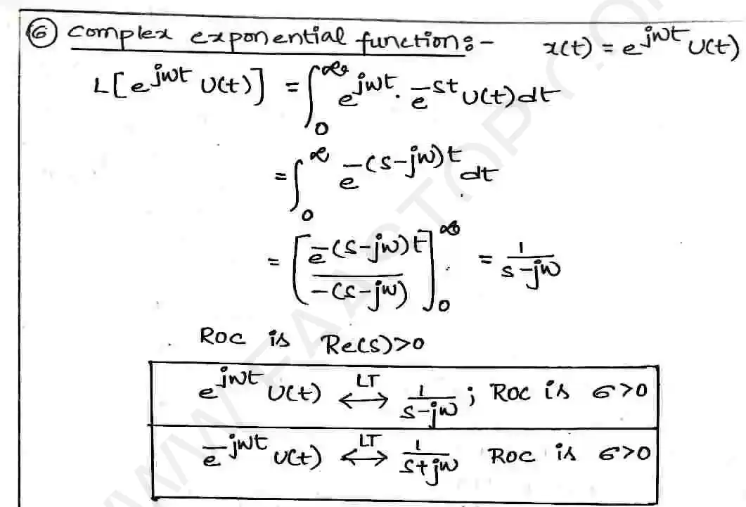
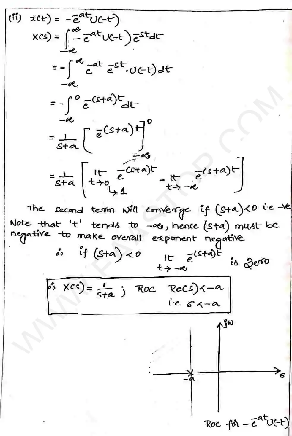
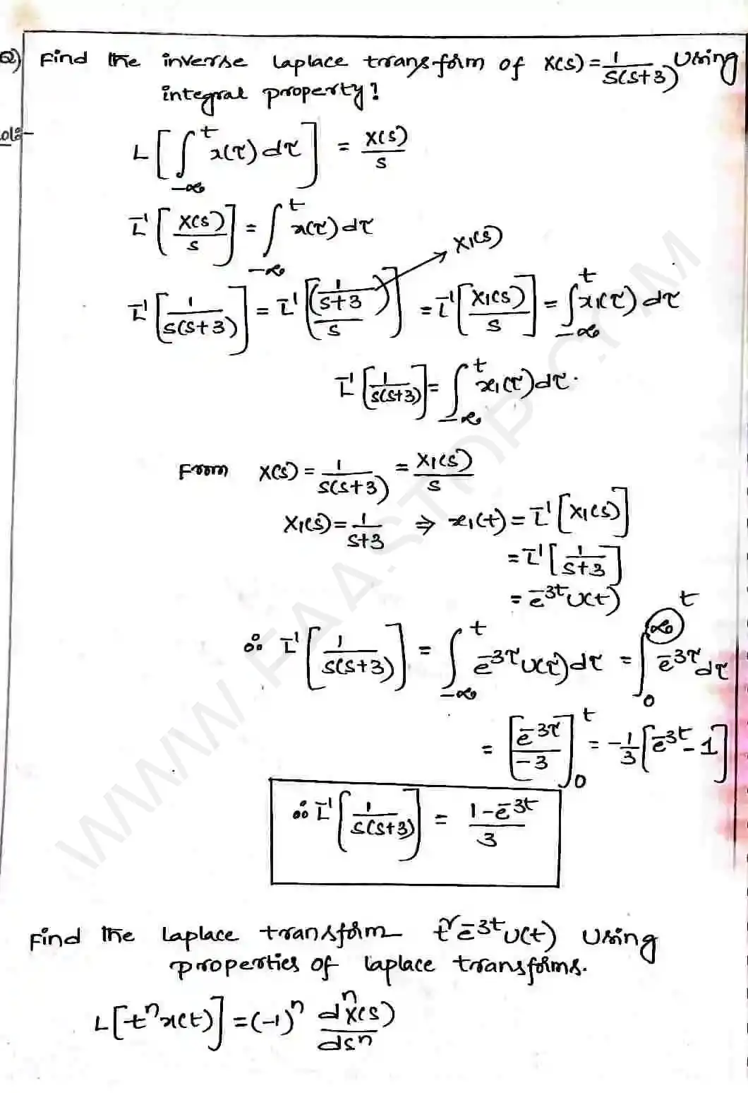
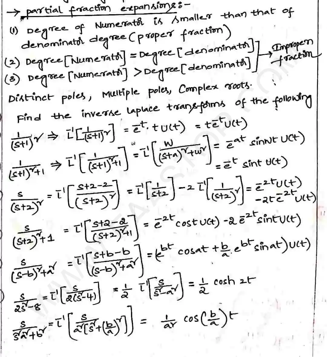
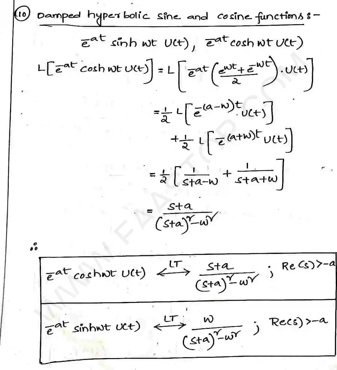
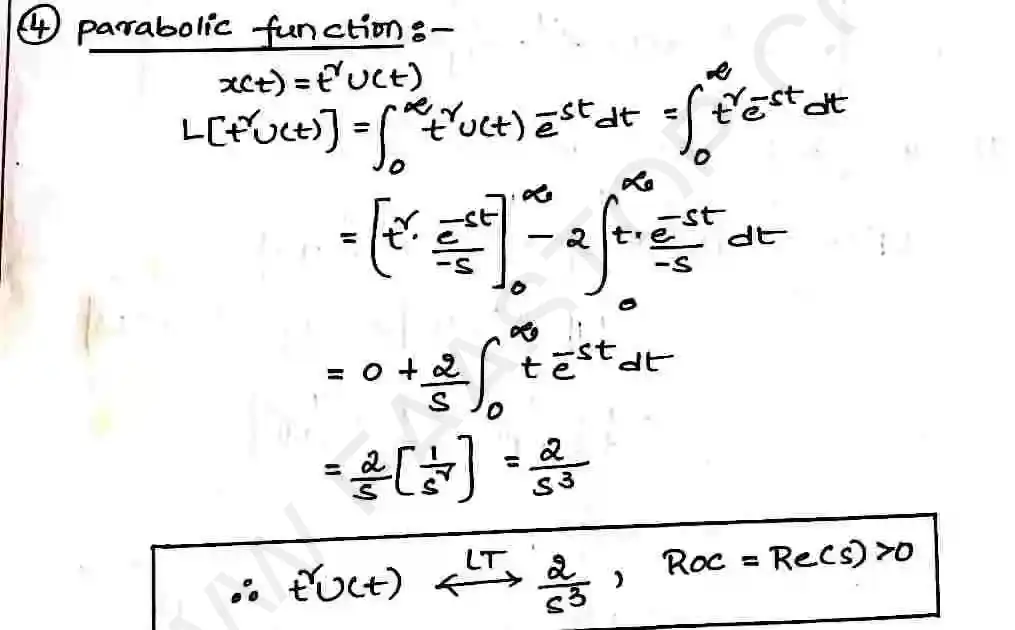
Laplace Transform

ENGINEERING → Electronics and Communication Engineering → Signals and Systems → SS Notes-1

Read handwritten PDF notes for Laplace Transform. This chapter contains 57 pages of handwritten study materials.

57 Total Pages
PDF Format
100% Free Access
logo