logo
Digital Notes

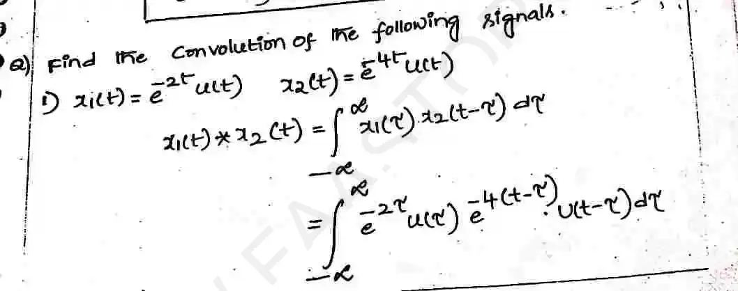
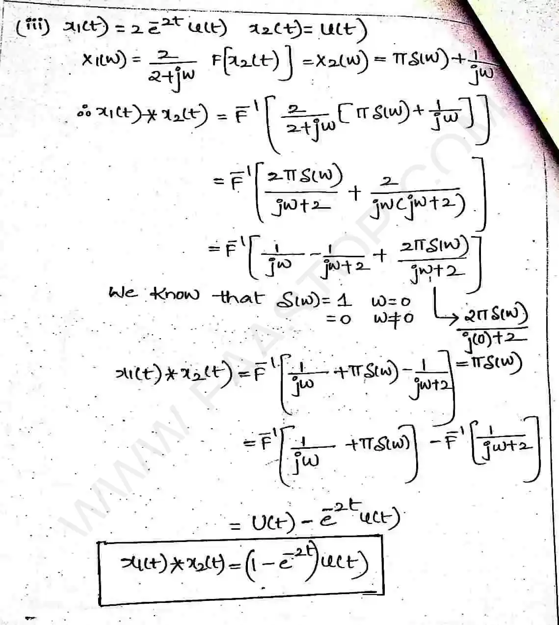
Convolution And Correlation Of Signal

ENGINEERING → Electronics and Communication Engineering → Signals and Systems → SS Notes-1

Read handwritten PDF notes for Convolution And Correlation Of Signal. This chapter contains 14 pages of handwritten study materials.

14 Total Pages
PDF Format
100% Free Access
logo