logo
Digital Notes

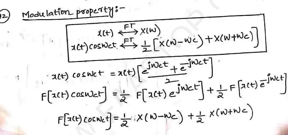
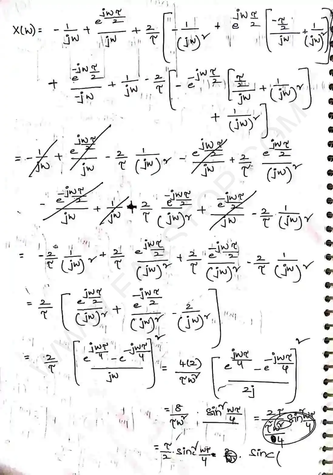
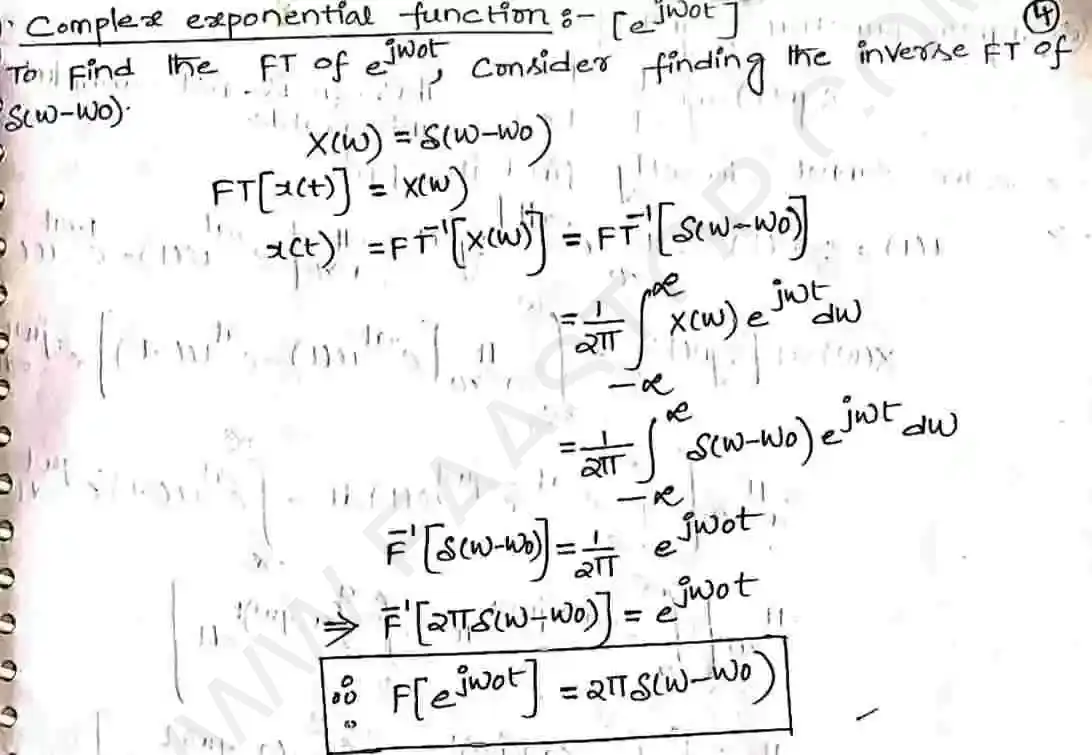
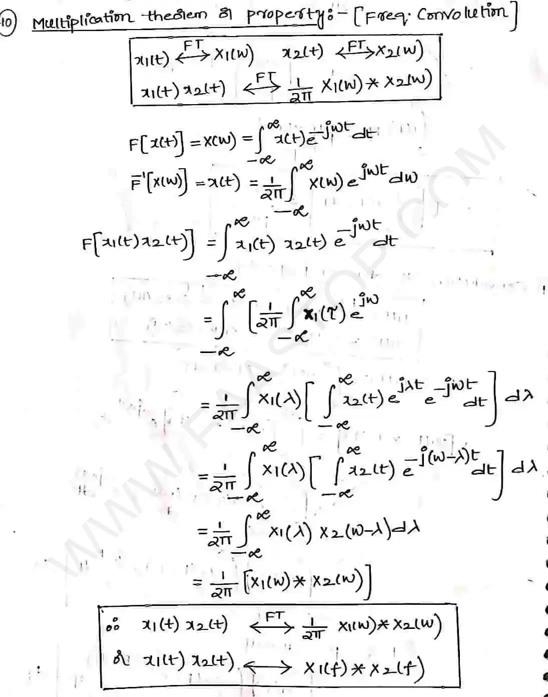
Fourier Transform

ENGINEERING → Electronics and Communication Engineering → Signals and Systems → SS Notes-1

Read handwritten PDF notes for Fourier Transform. This chapter contains 50 pages of handwritten study materials.

50 Total Pages
PDF Format
100% Free Access
logo