Chapters
Notes
Subjects
Branches
Fields
Digital Notes
All Chapters
Signals
Systems
Analogy Between Vectors And Signals
Fourier Series
Fourier Transform
Signal Transmission Through Linear System
Convolution And Correlation Of Signal
Laplace Transform
Z Transform
All Notes Sets
SS Notes-1
All Subjects
Basic Electrical Engineering
Engineering Physics
C Programming
Electronic Devices and Circuits
Network Analysis
Analog Electronics
Digital Electronics
Electromagnetic Fields
Signals and Systems
Computer Organization and Architecture
Control Systems
Probability theory and stochastic process
Linear and Digital Integrating Circuits
Digital Signal Processing
Electronic Sensors
Engineering Mathematics
All Branches
Civil Engineering
Computers Science And Engineering
Electrical And Electronics Engineering
Electronics and Communication Engineering
Mechanical Engineering
All Handwritten Notes Fields
ENGINEERING
Signals
ENGINEERING →
Electronics and Communication Engineering →
Signals and Systems →
SS Notes-1
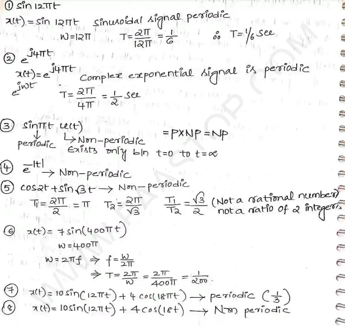
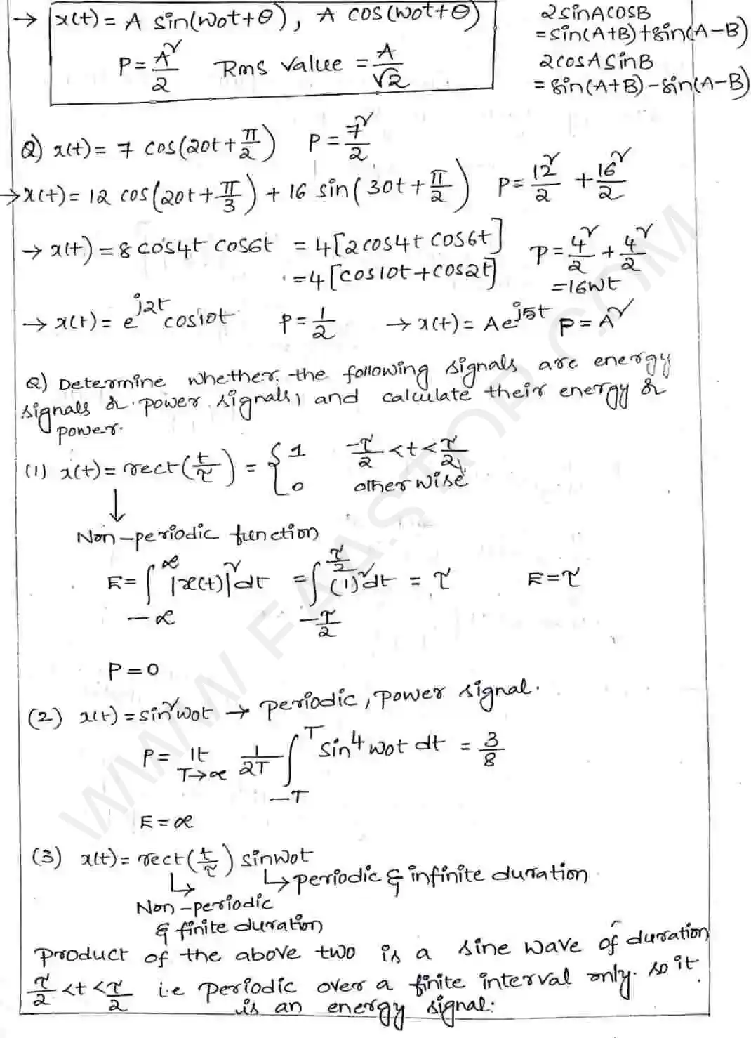
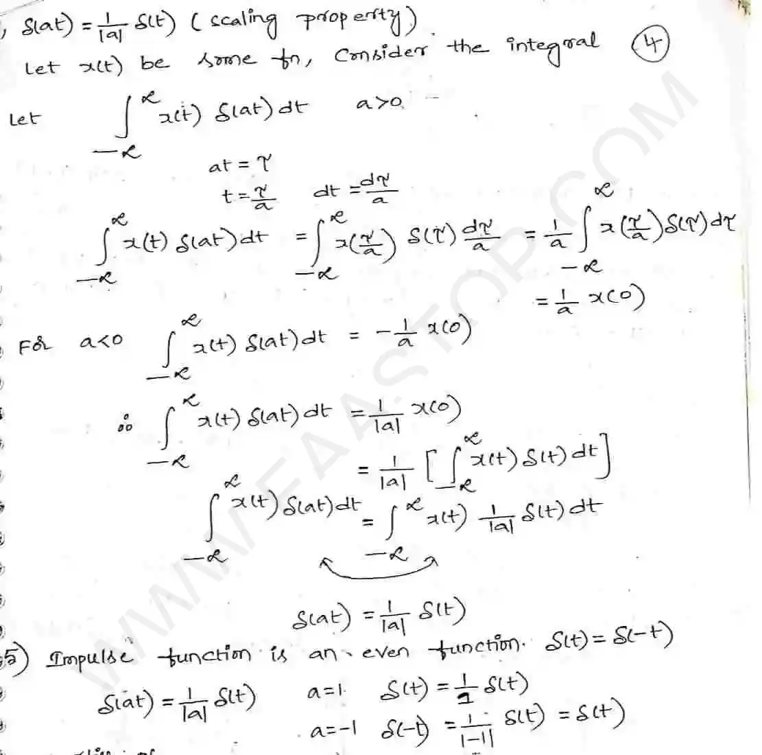
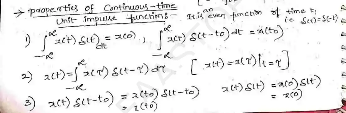
Read handwritten notes for Signals. This chapter contains 40 pages of handwritten study materials.
40
Total Pages
100%
Free Access
← Previous Chapter
All Chapters List
Next Chapter →
← Previous Chapter
All Chapters List
Next Chapter →