logo
Digital Notes

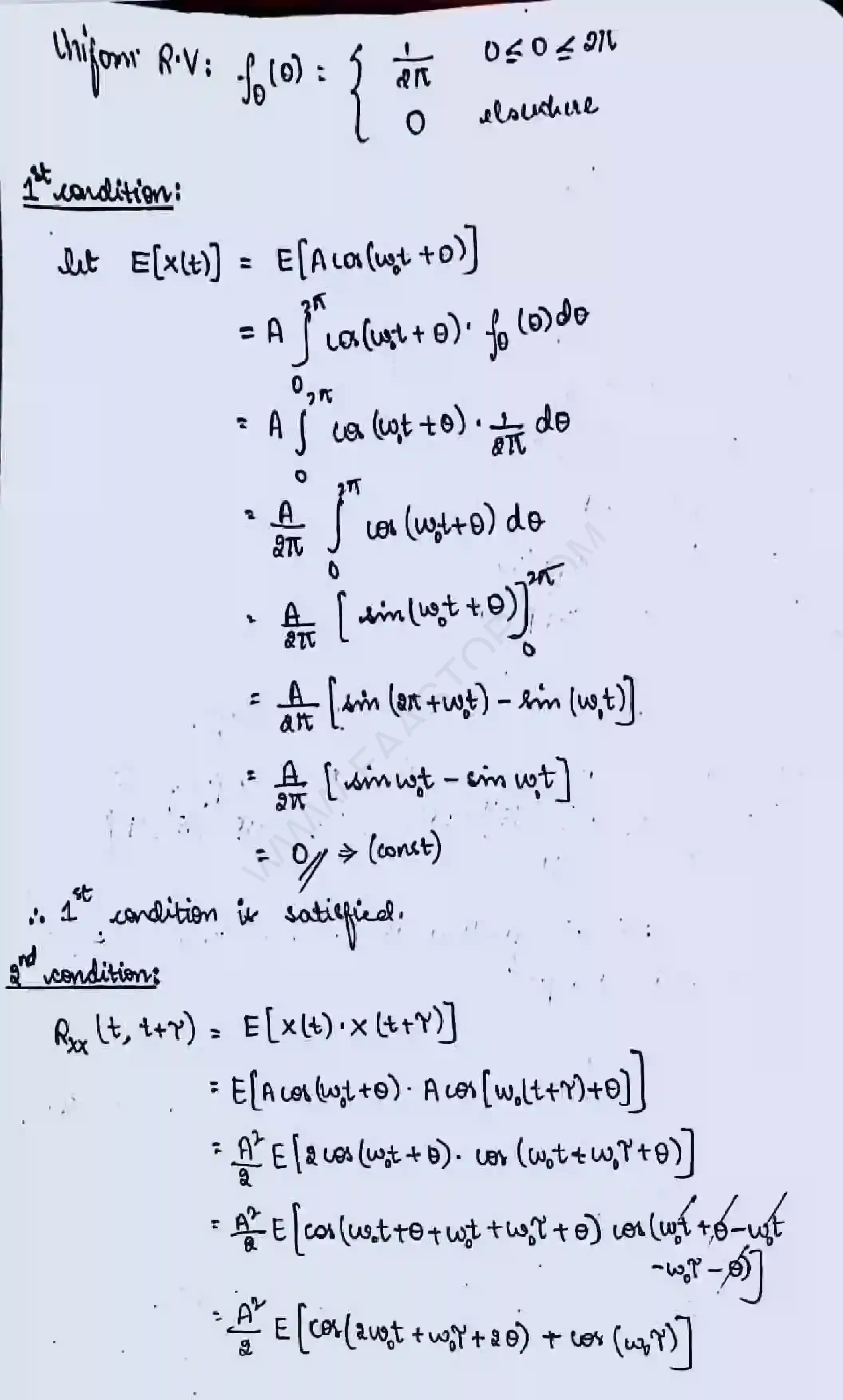
Stochastic Process

ENGINEERING → Electronics and Communication Engineering → Probability theory and stochastic process → PTSP Notes-1

Read handwritten PDF notes for Stochastic Process. This chapter contains 28 pages of handwritten study materials.

28 Total Pages
PDF Format
100% Free Access
logo