logo
Digital Notes

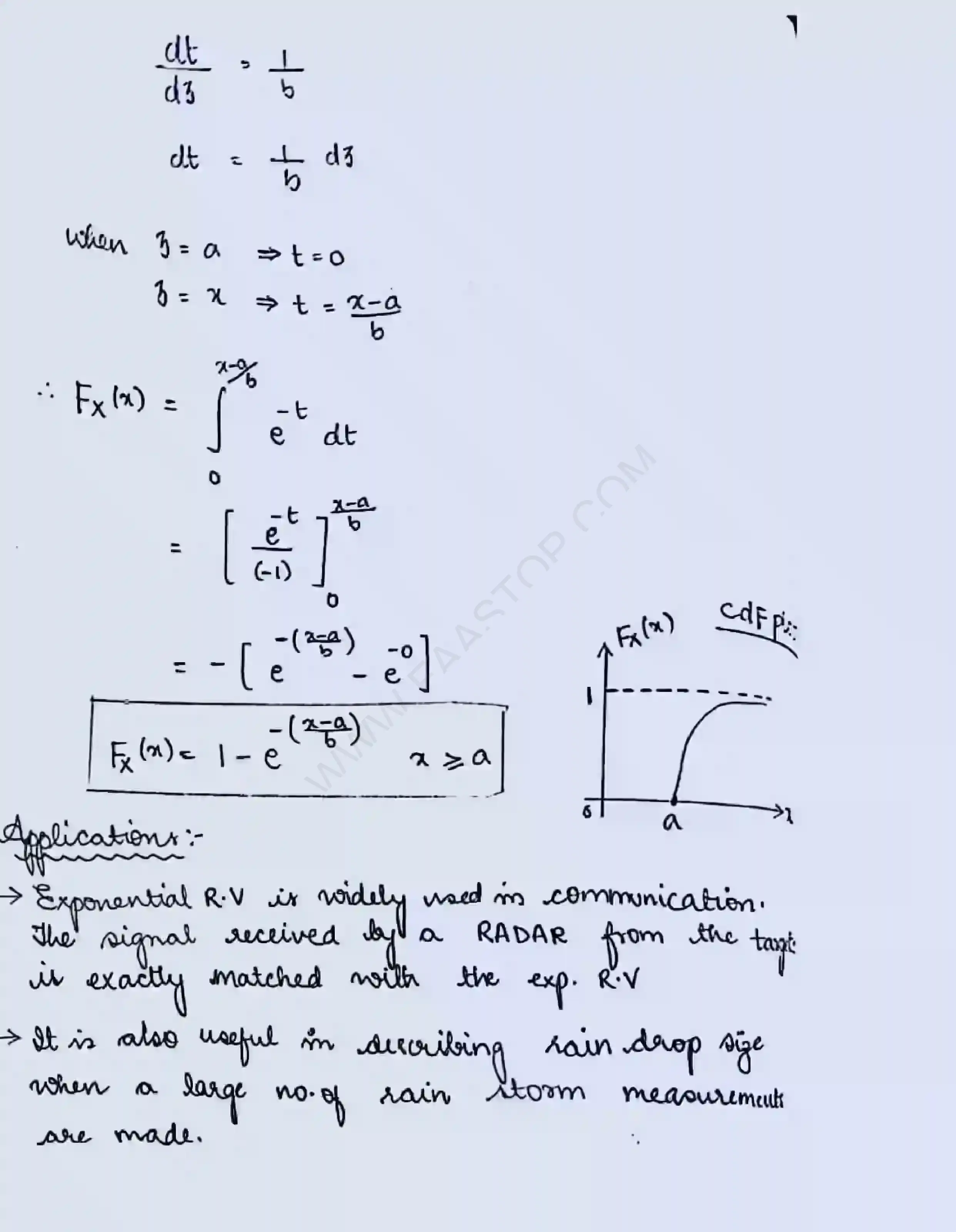
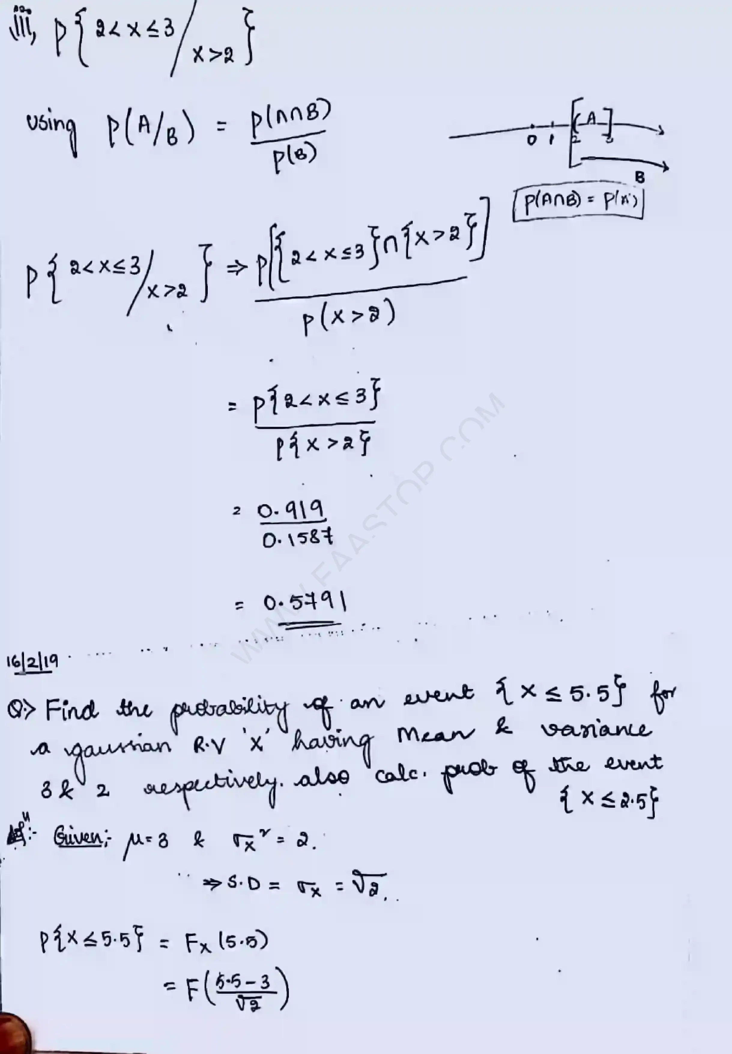
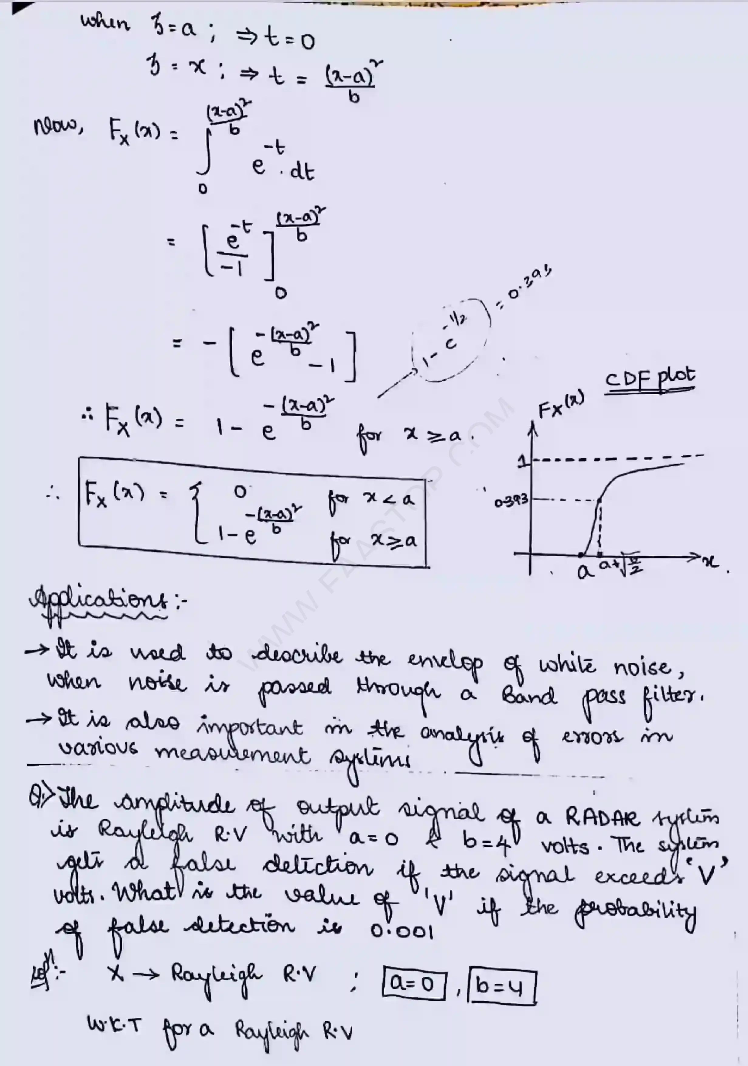
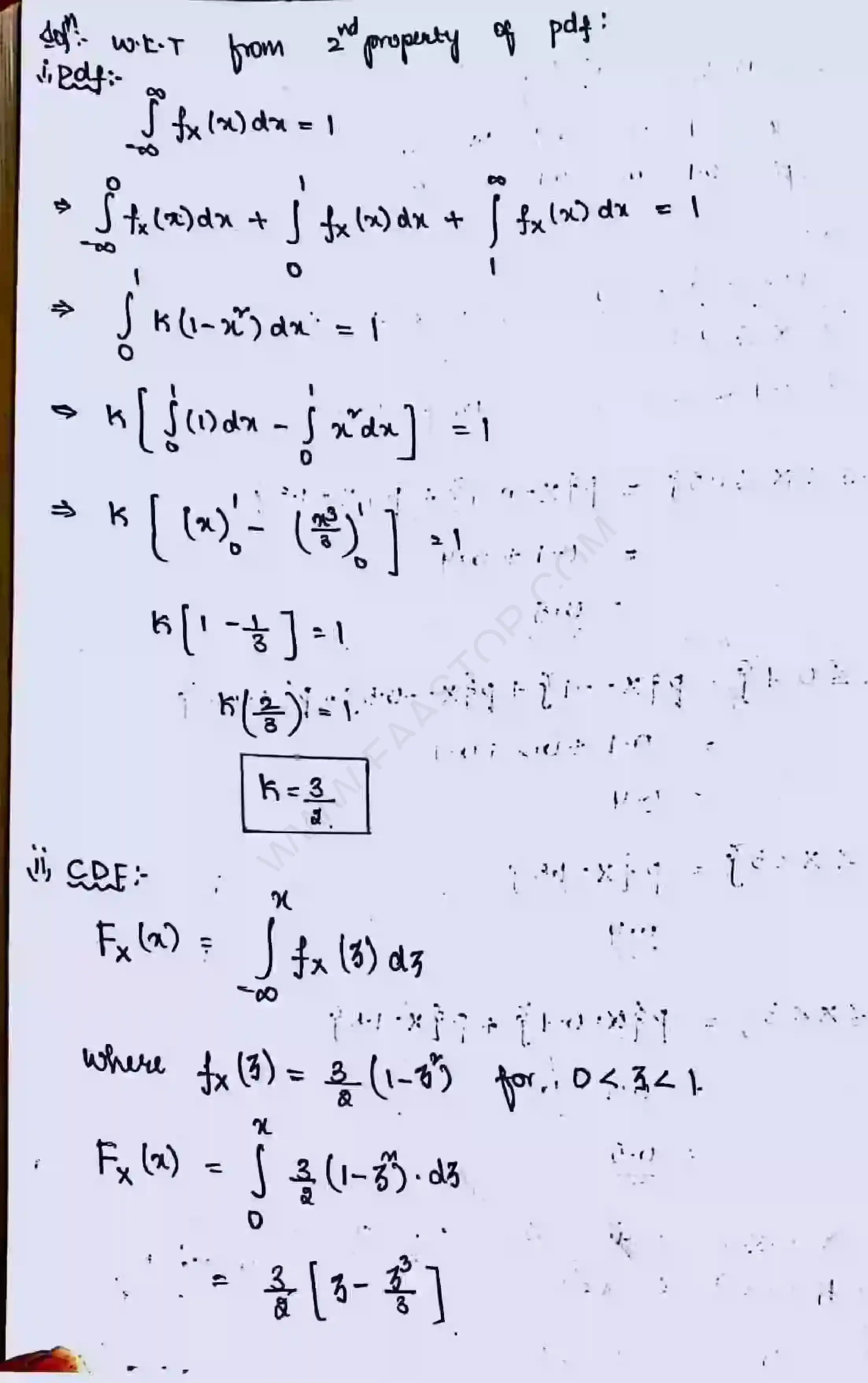
Random variable

ENGINEERING → Electronics and Communication Engineering → Probability theory and stochastic process → PTSP Notes-1

Read handwritten PDF notes for Random variable. This chapter contains 44 pages of handwritten study materials.

44 Total Pages
PDF Format
100% Free Access
logo