logo
Digital Notes

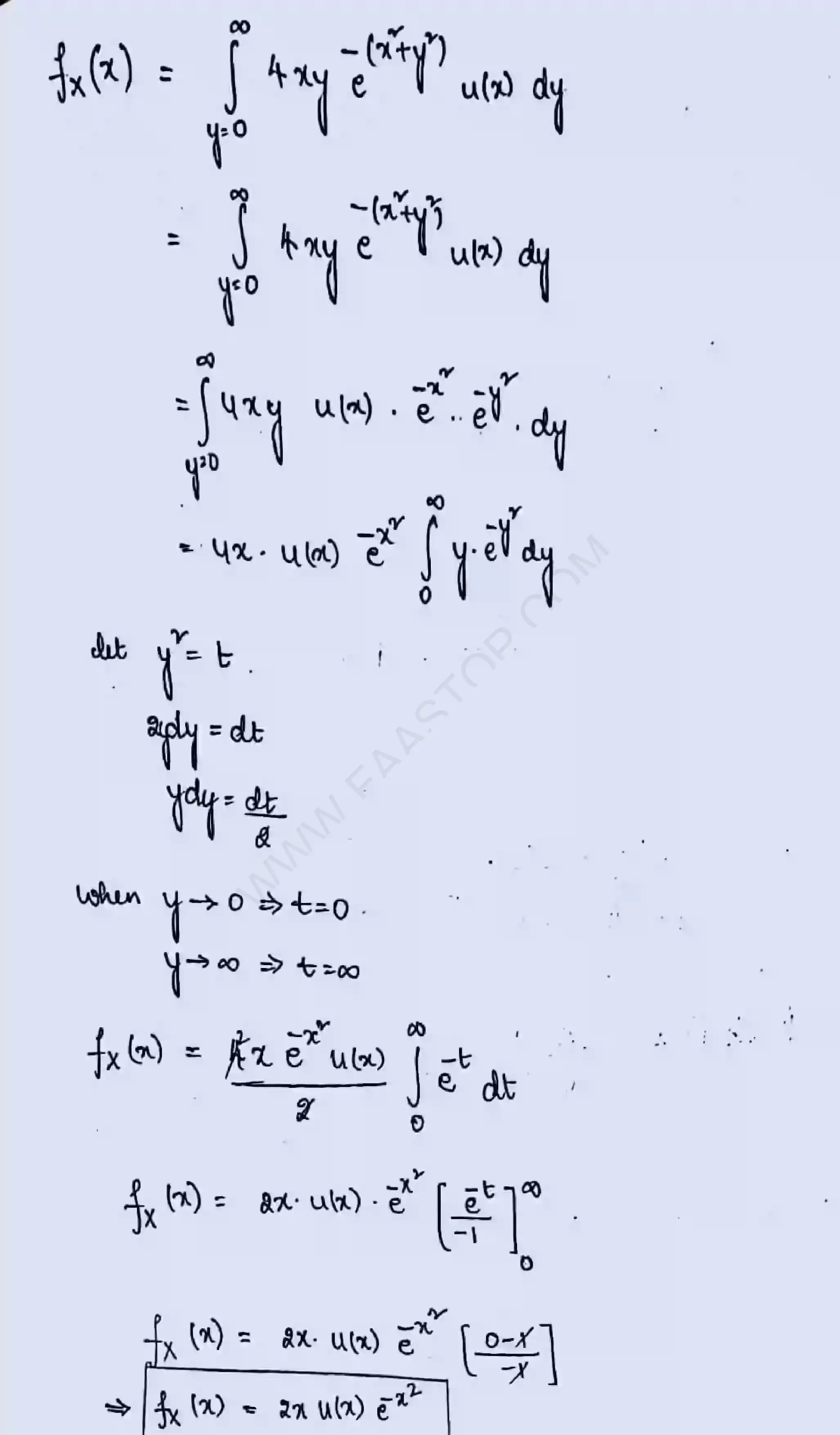
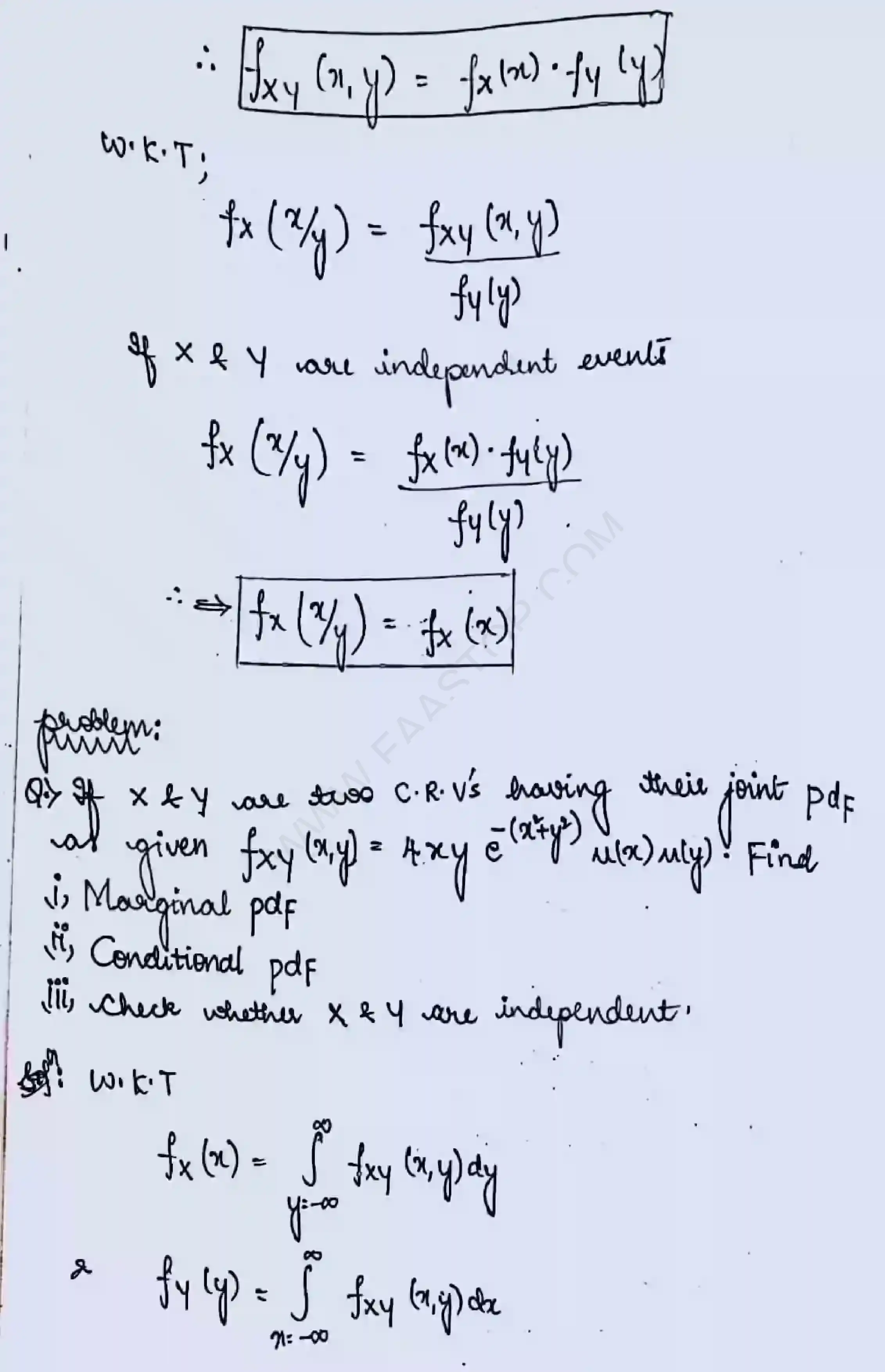
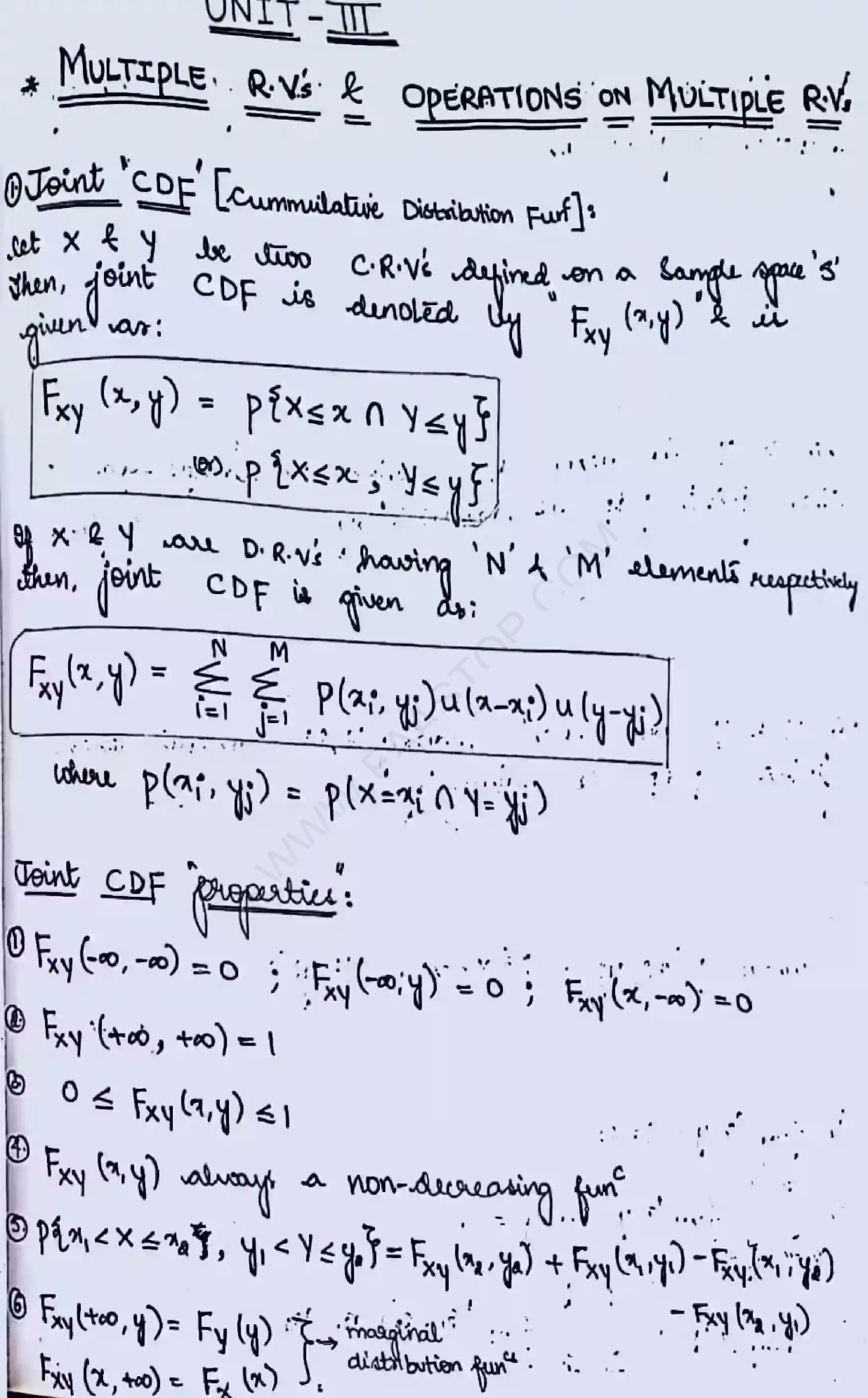
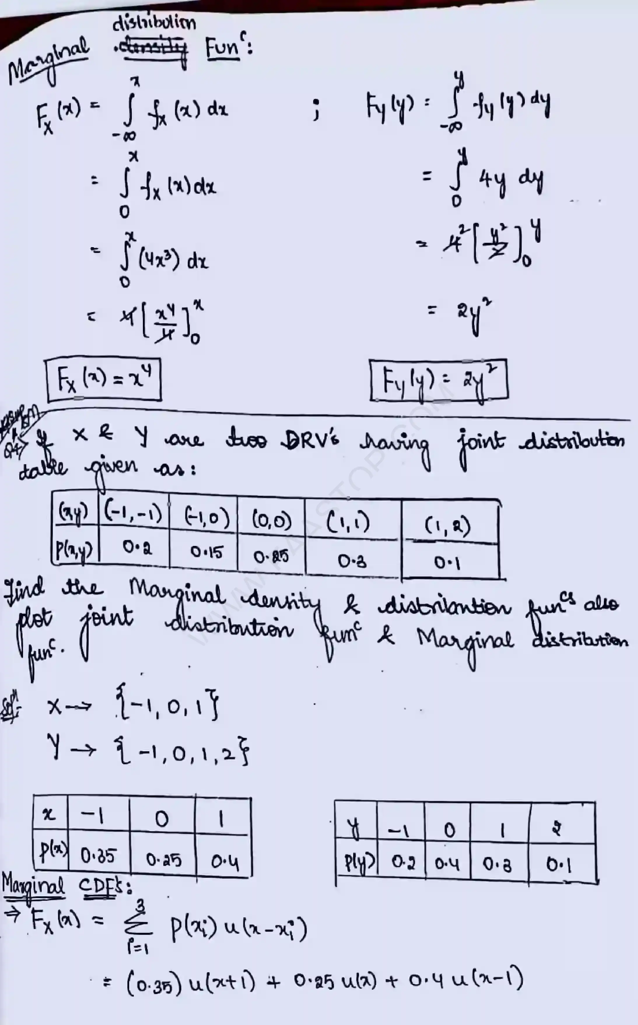
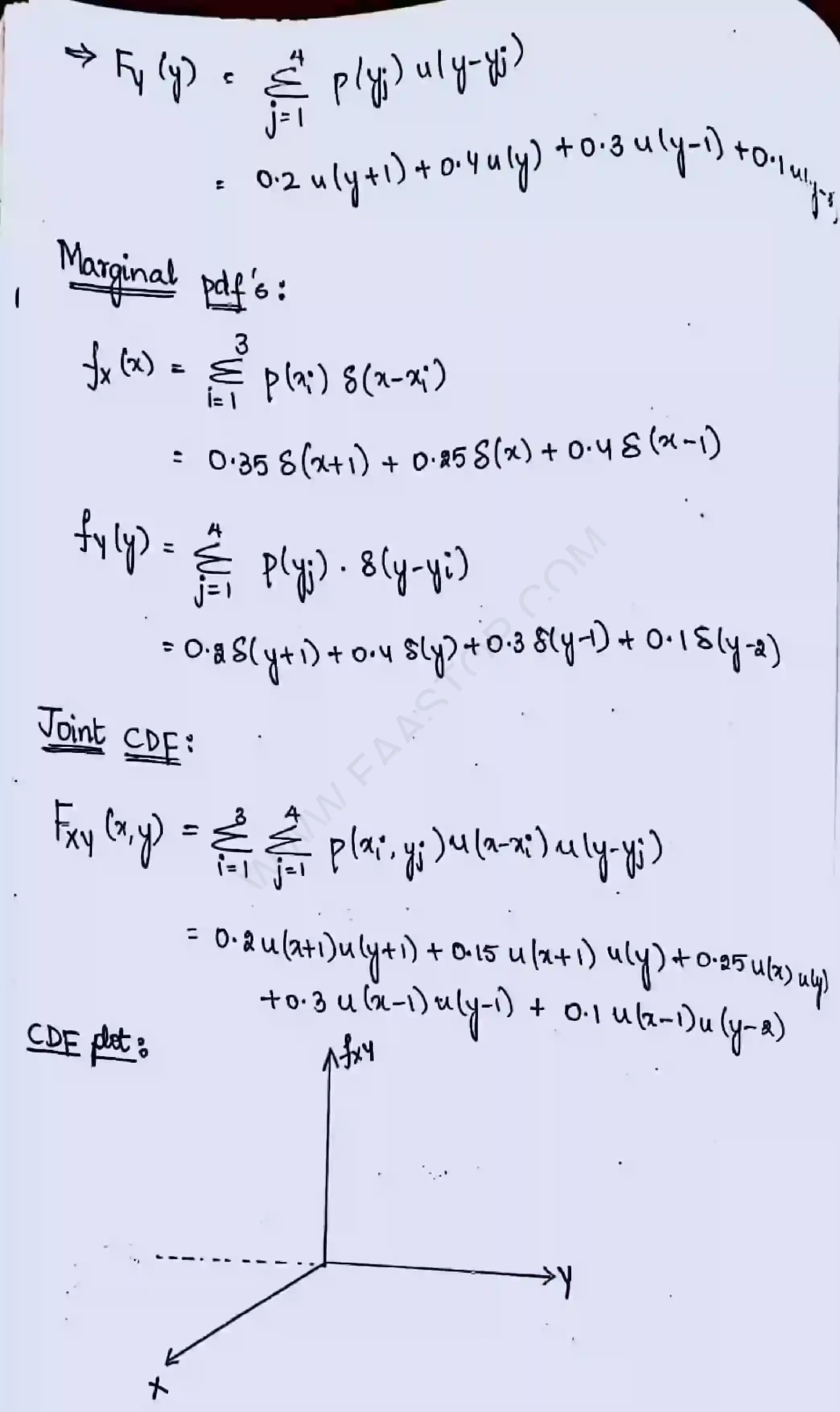
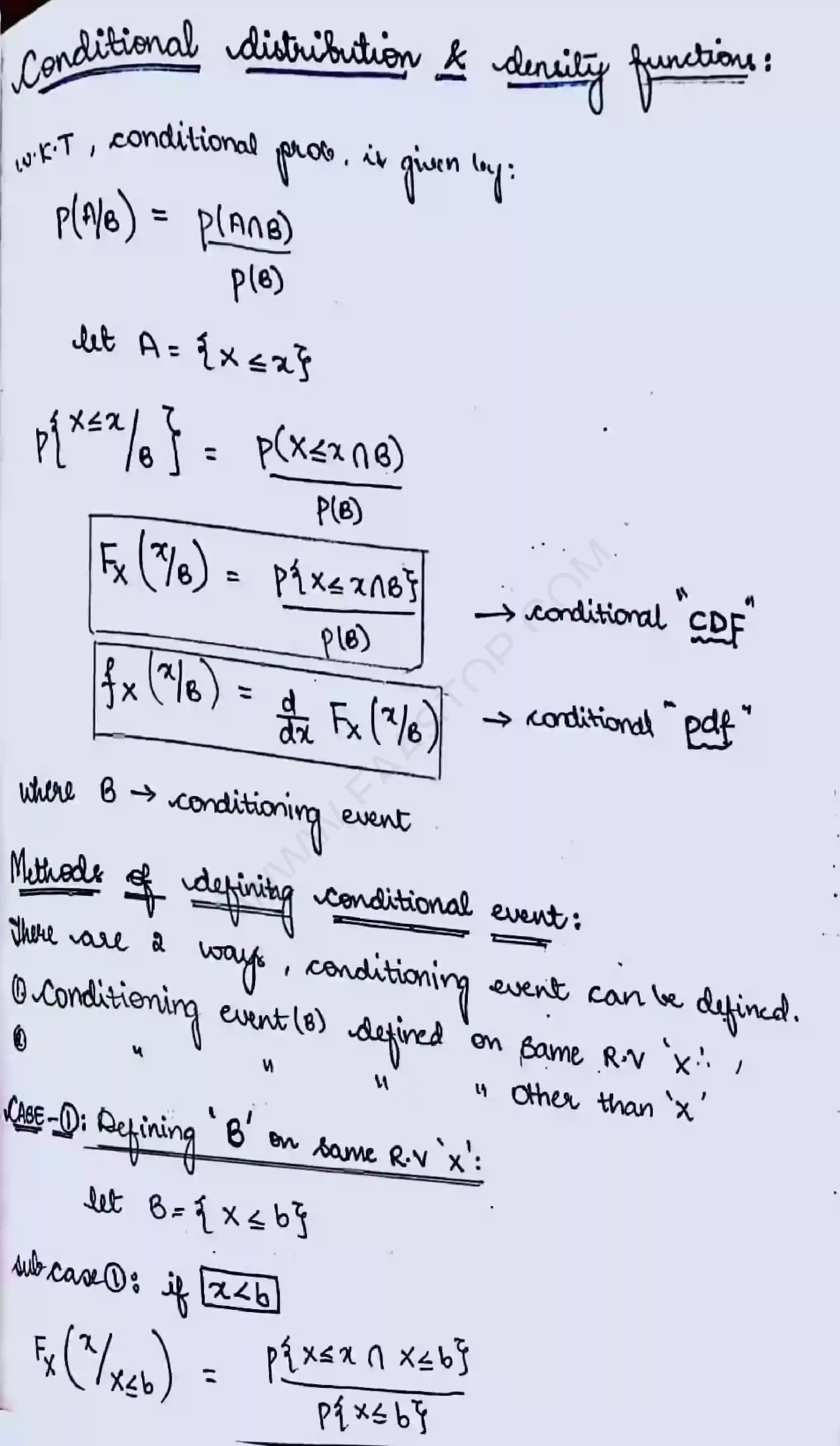
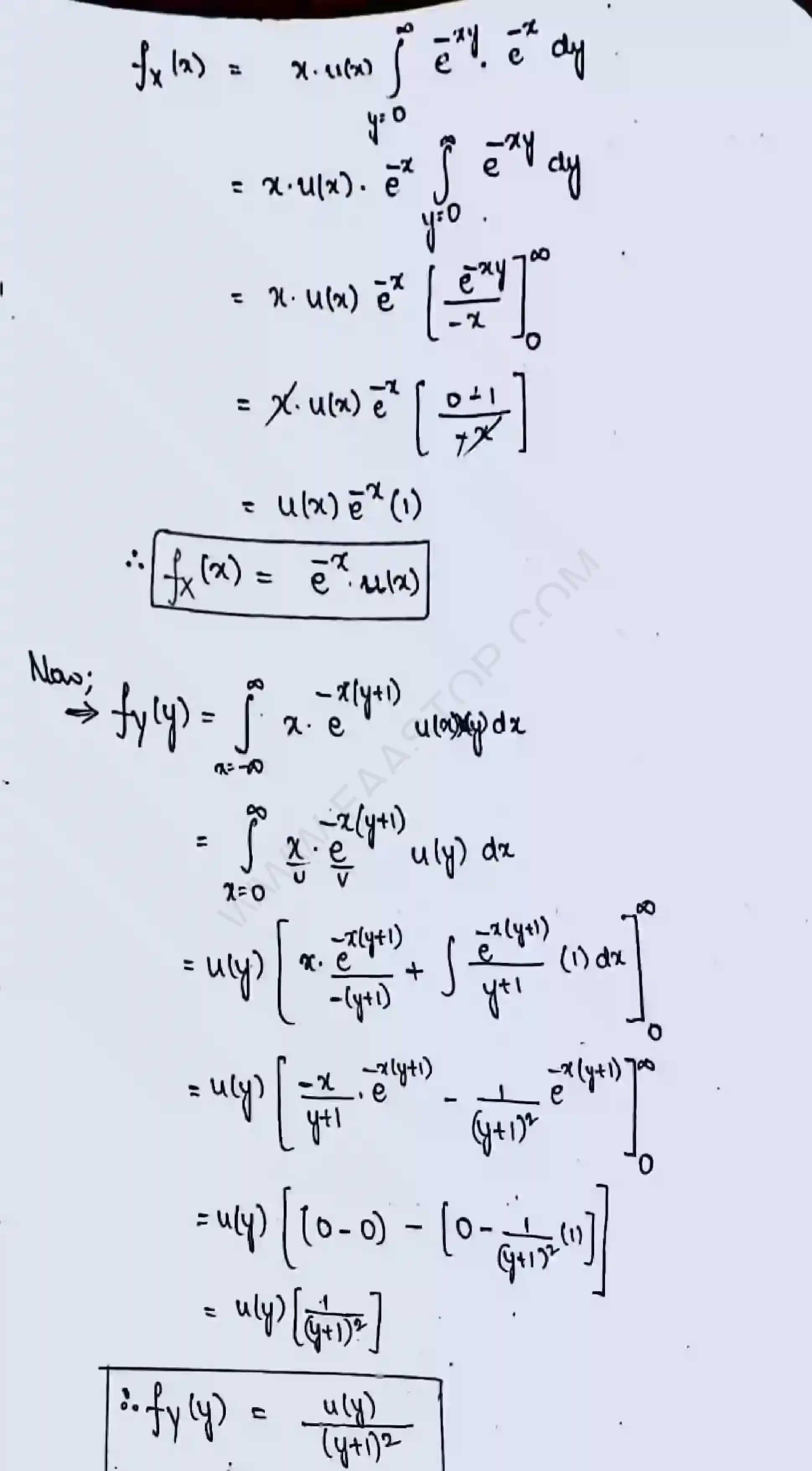
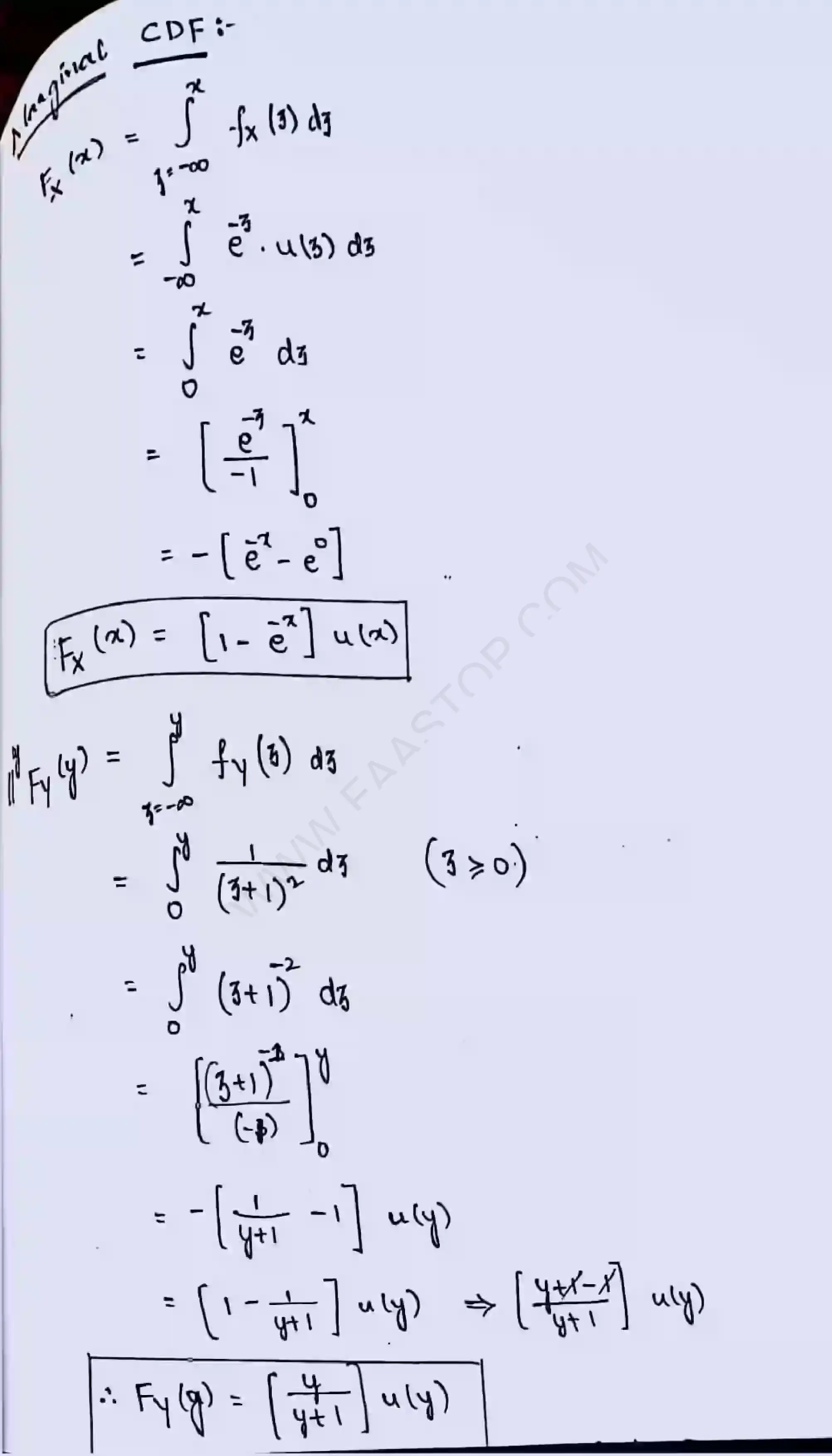
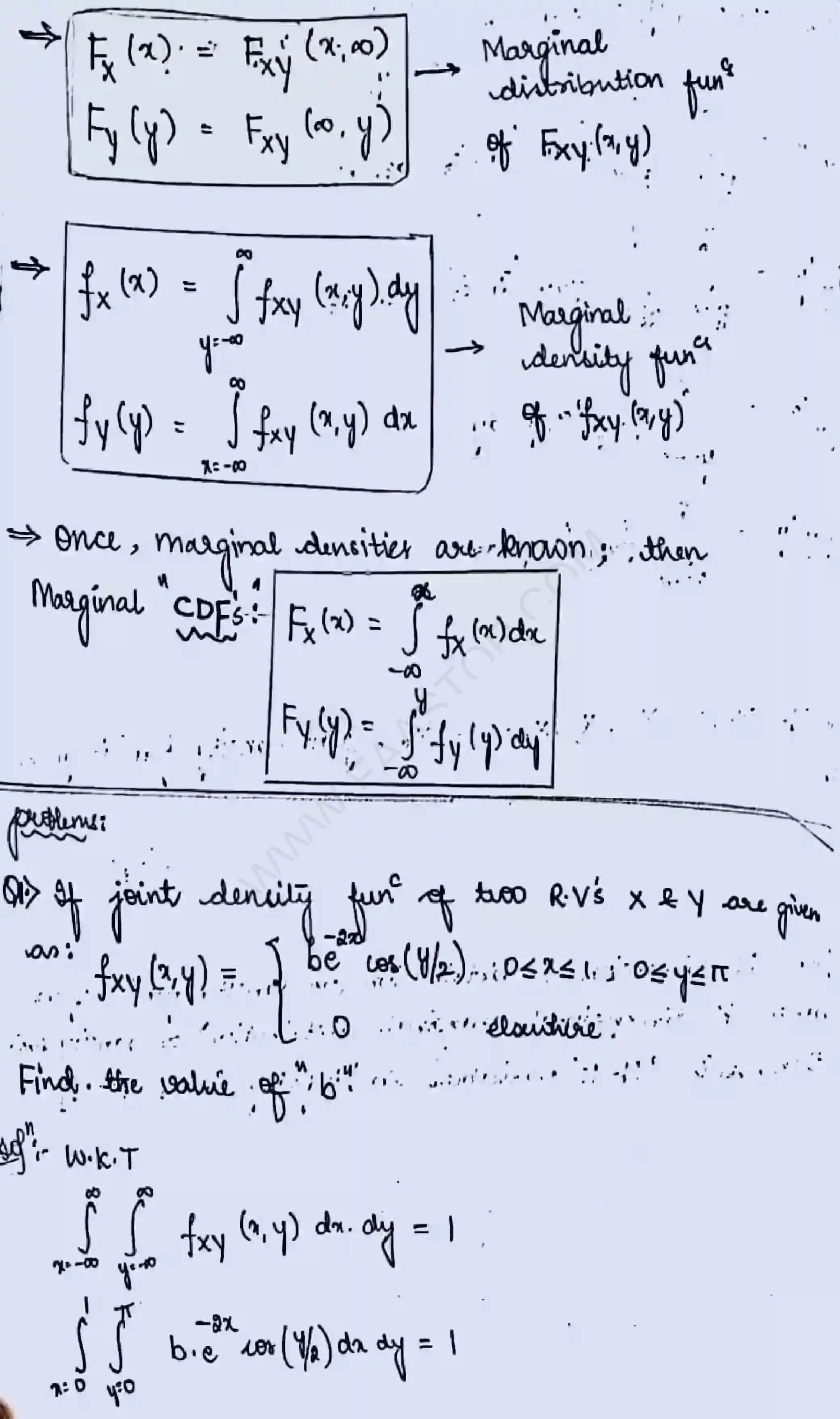
Multiple Random Variable

ENGINEERING → Electronics and Communication Engineering → Probability theory and stochastic process → PTSP Notes-1

Read handwritten PDF notes for Multiple Random Variable. This chapter contains 18 pages of handwritten study materials.

18 Total Pages
PDF Format
100% Free Access
logo