logo
Digital Notes

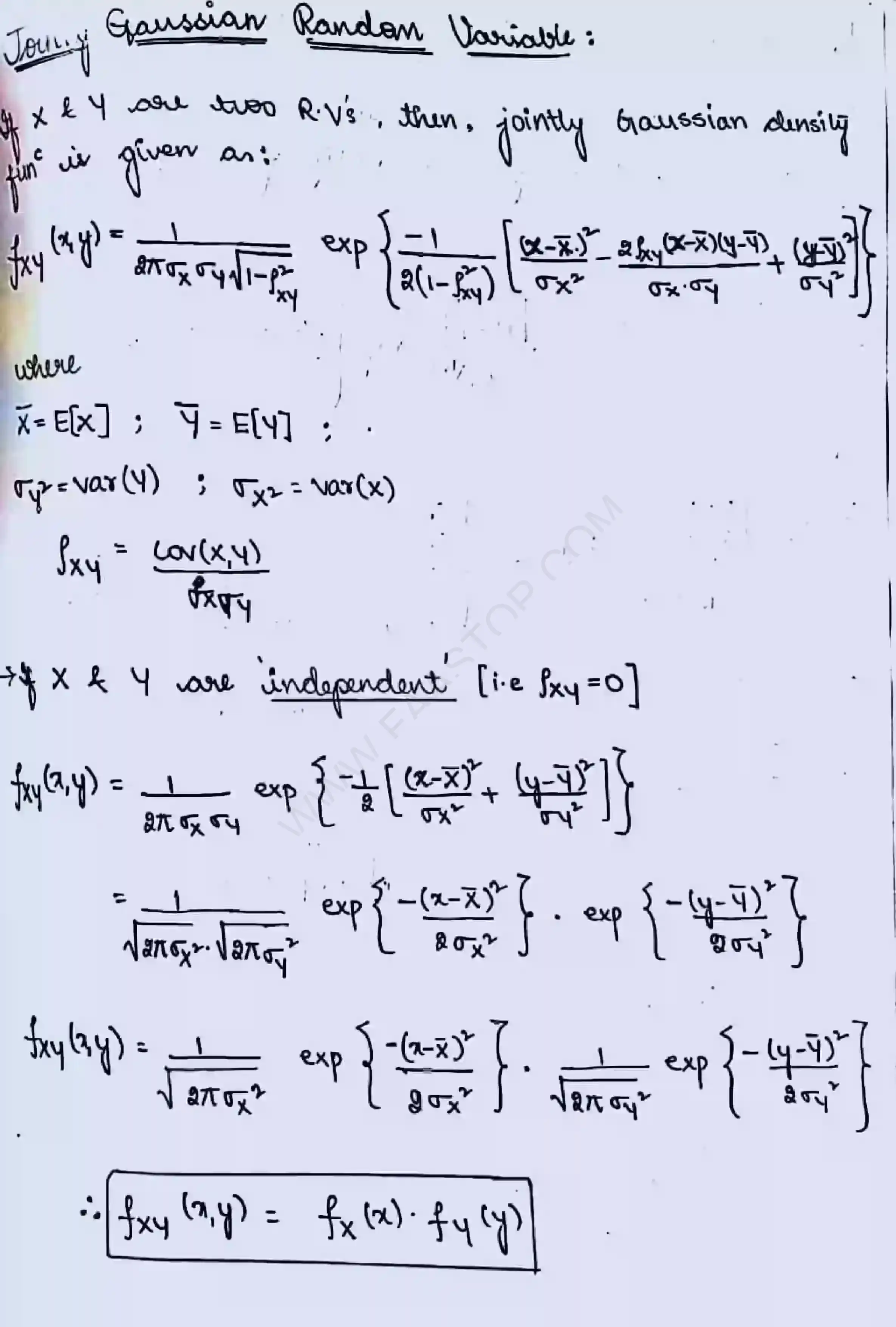
Operation on Multiple Random Variabl

ENGINEERING → Electronics and Communication Engineering → Probability theory and stochastic process → PTSP Notes-1

Read handwritten PDF notes for Operation on Multiple Random Variabl. This chapter contains 25 pages of handwritten study materials.

25 Total Pages
PDF Format
100% Free Access
logo