logo
Digital Notes

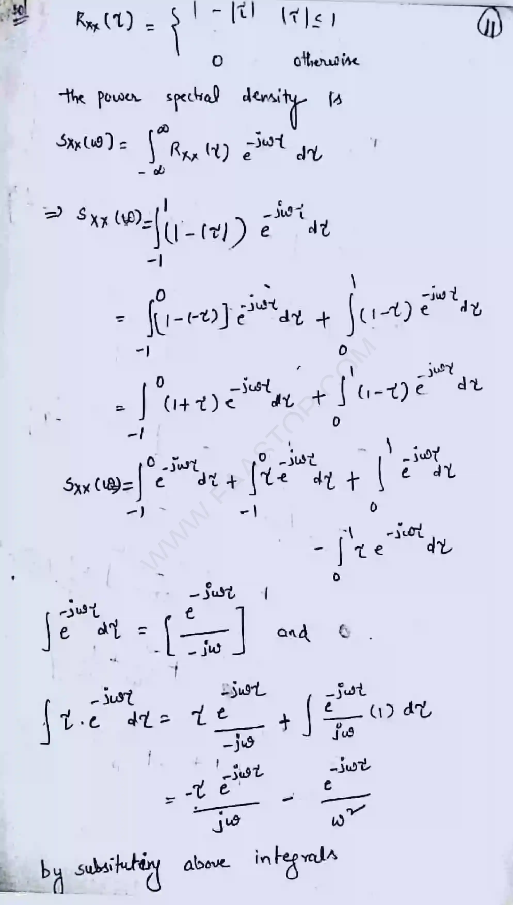
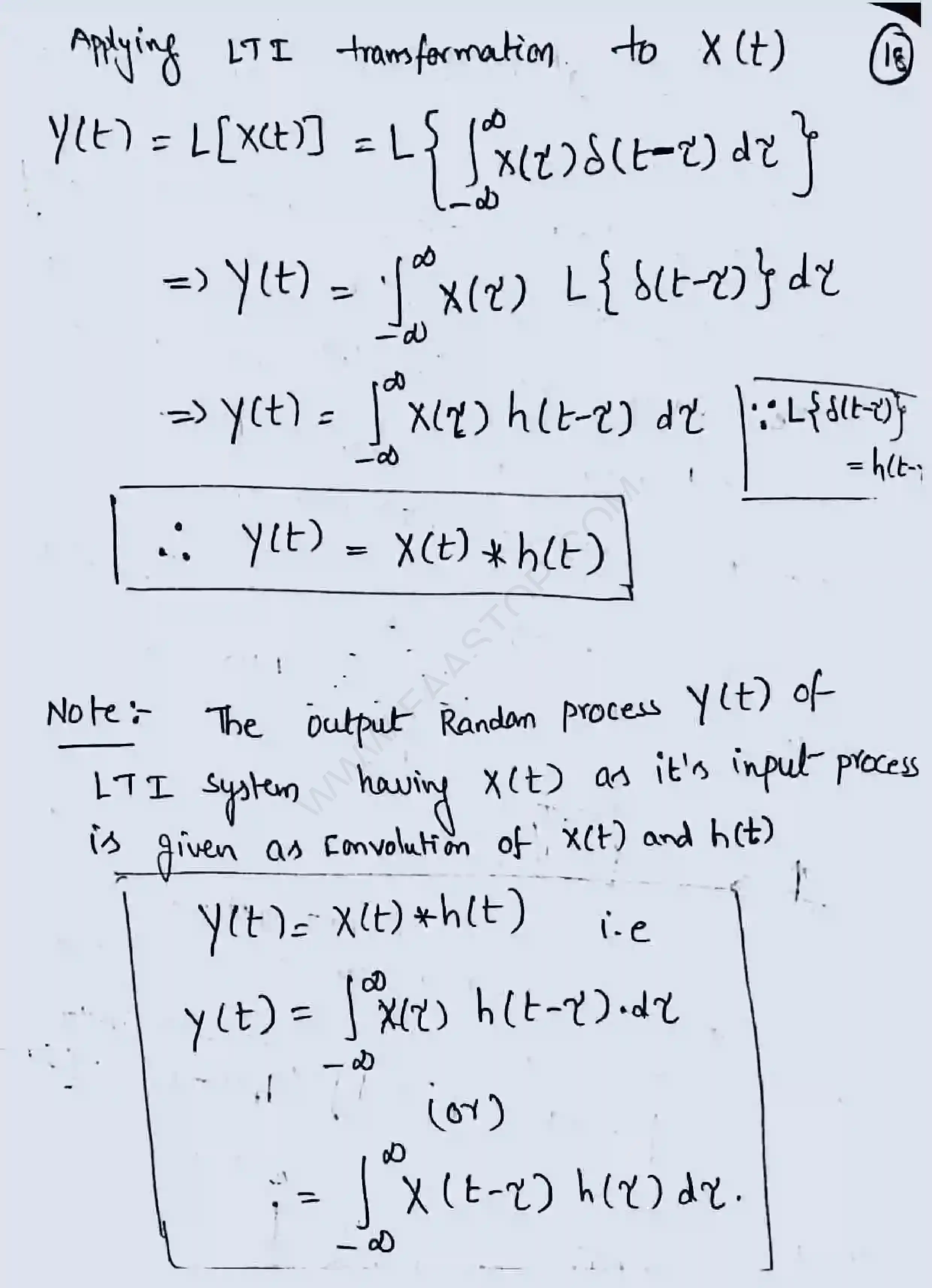
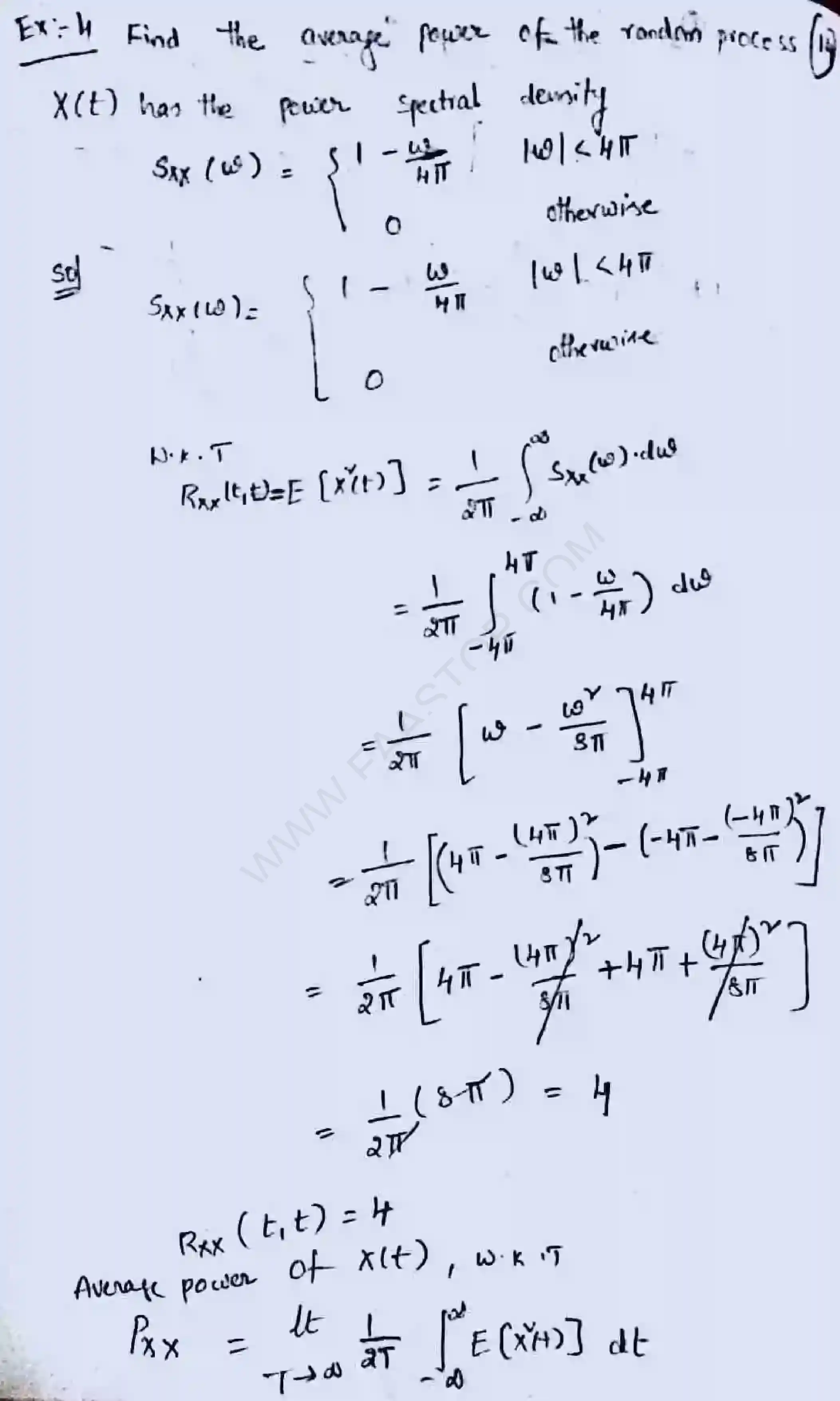
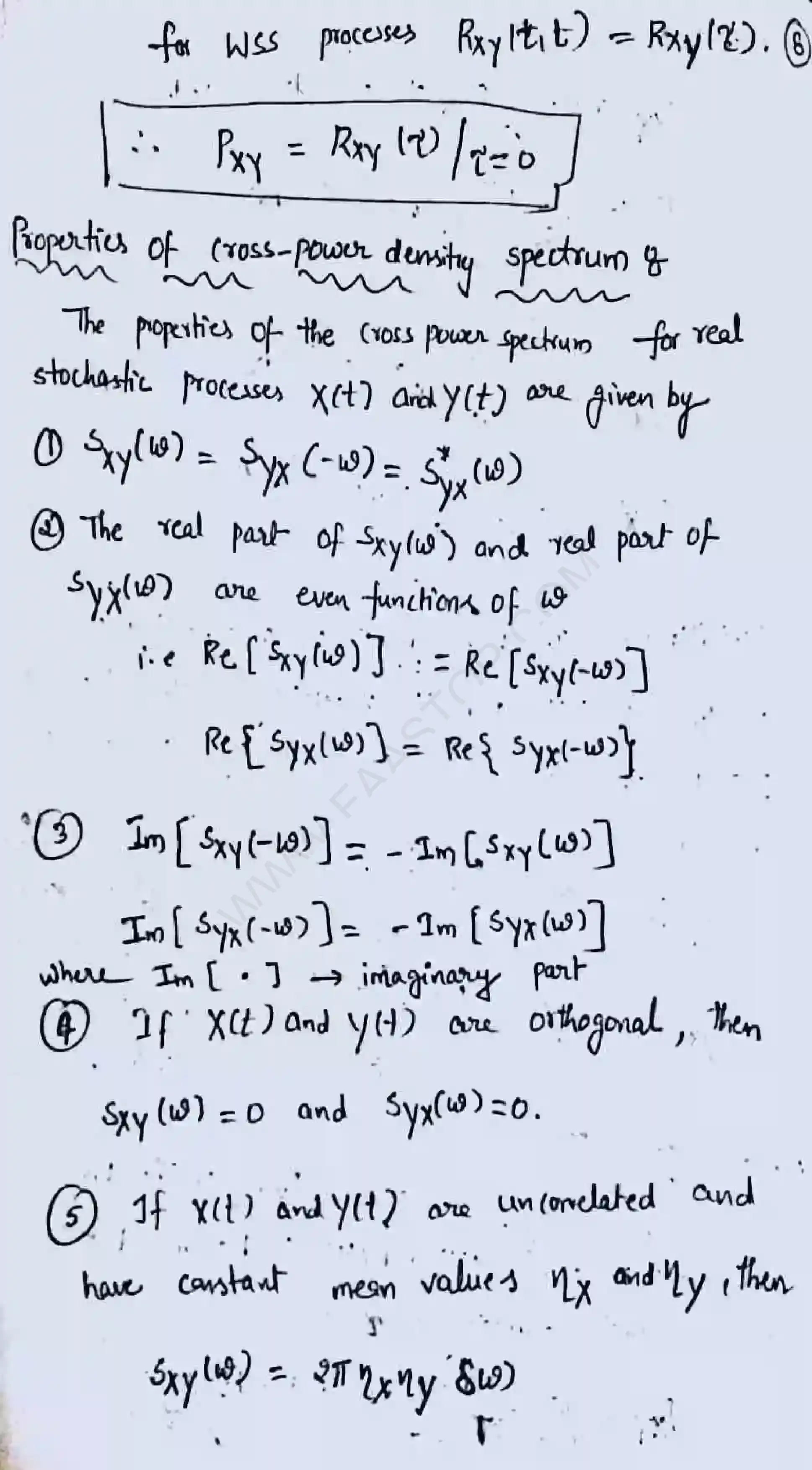
Random process and Spectral Characteristics

ENGINEERING → Electronics and Communication Engineering → Probability theory and stochastic process → PTSP Notes-1

Read handwritten PDF notes for Random process and Spectral Characteristics. This chapter contains 26 pages of handwritten study materials.

26 Total Pages
PDF Format
100% Free Access
logo