logo
Digital Notes

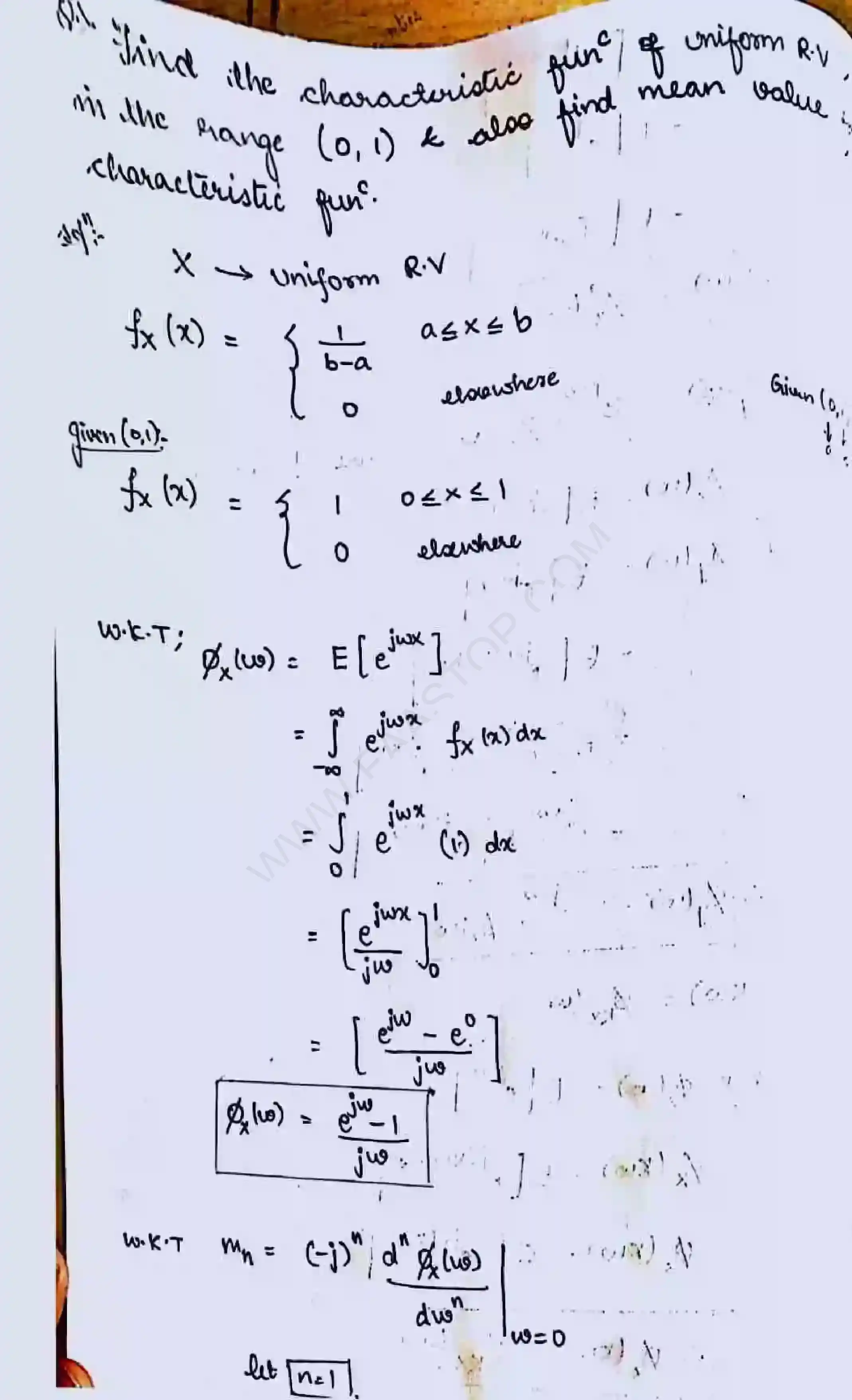
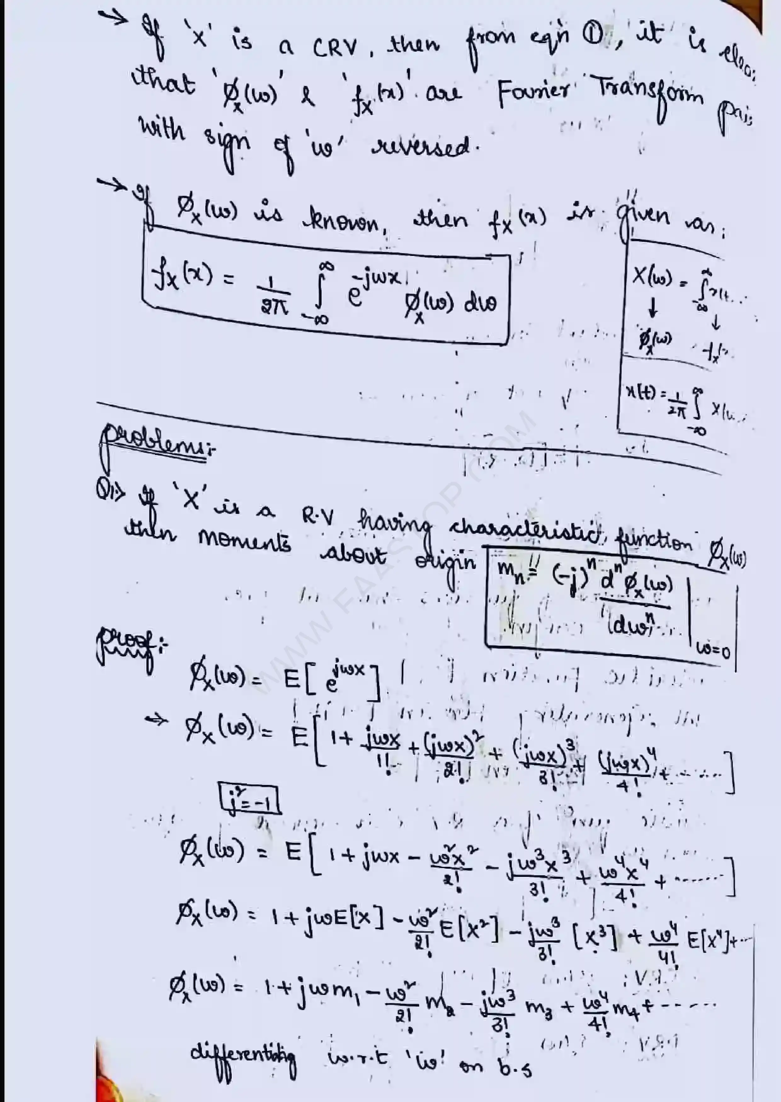
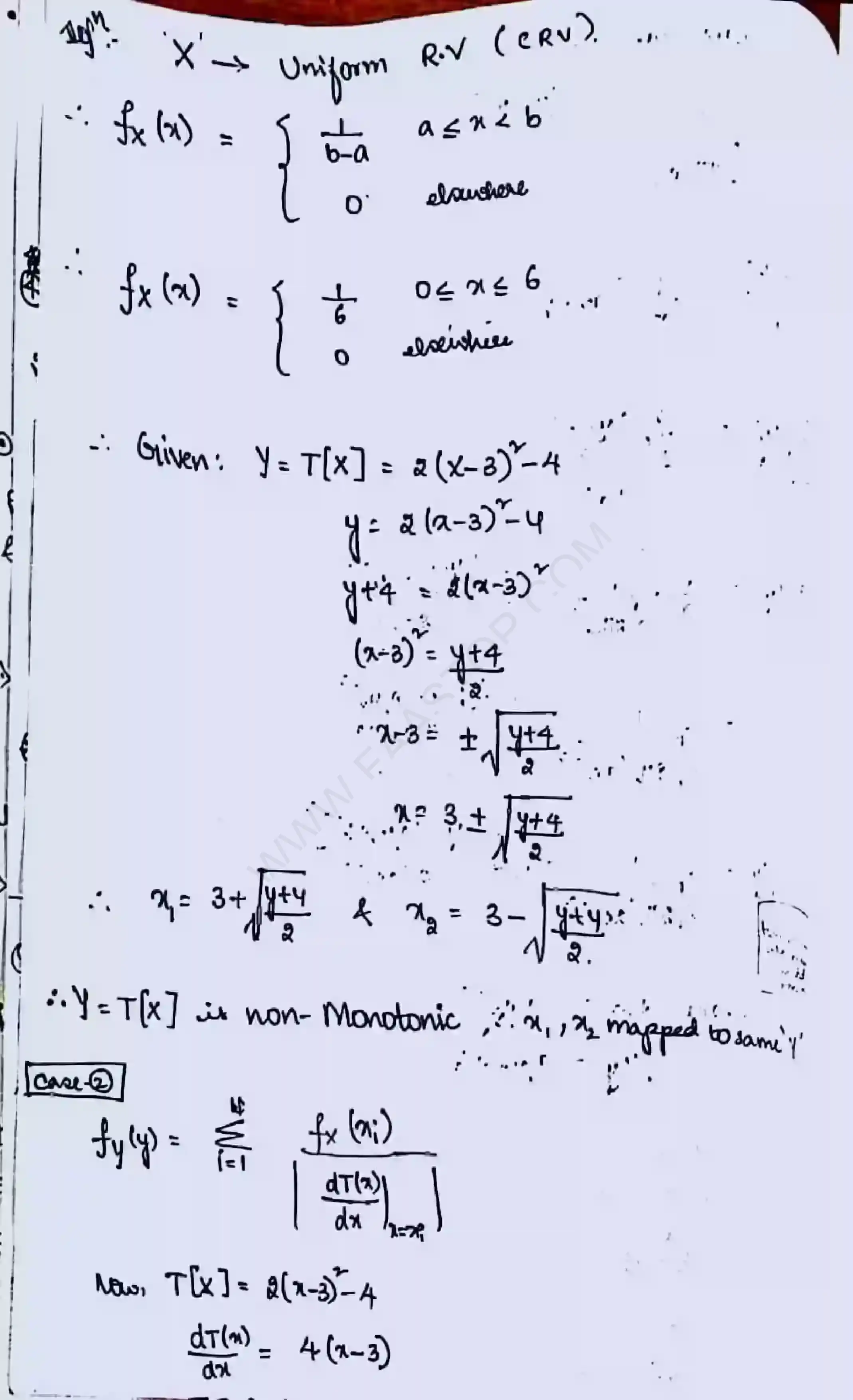
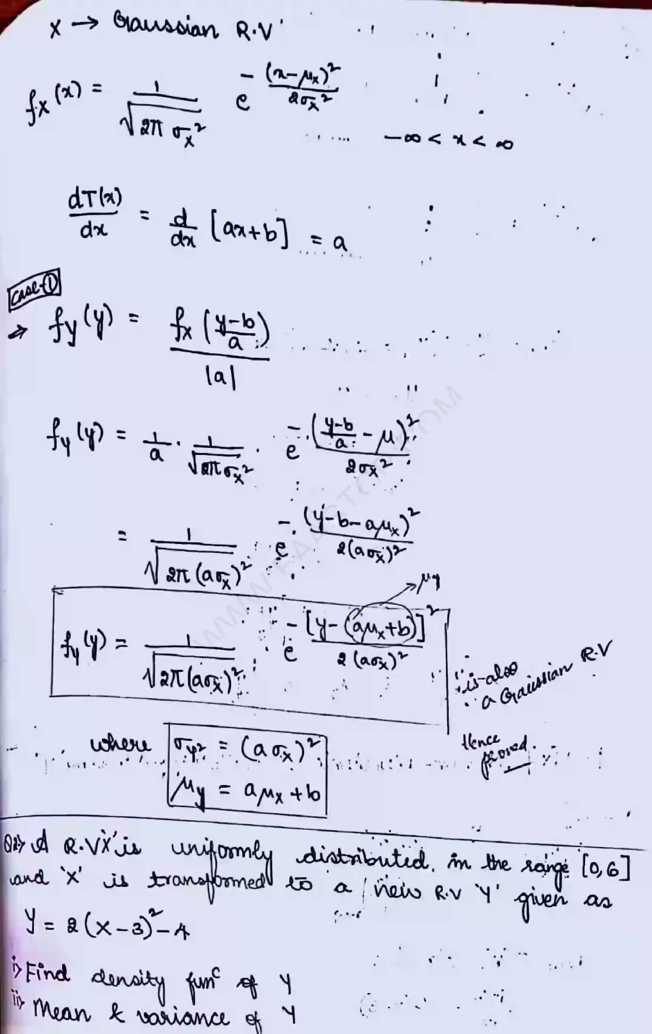
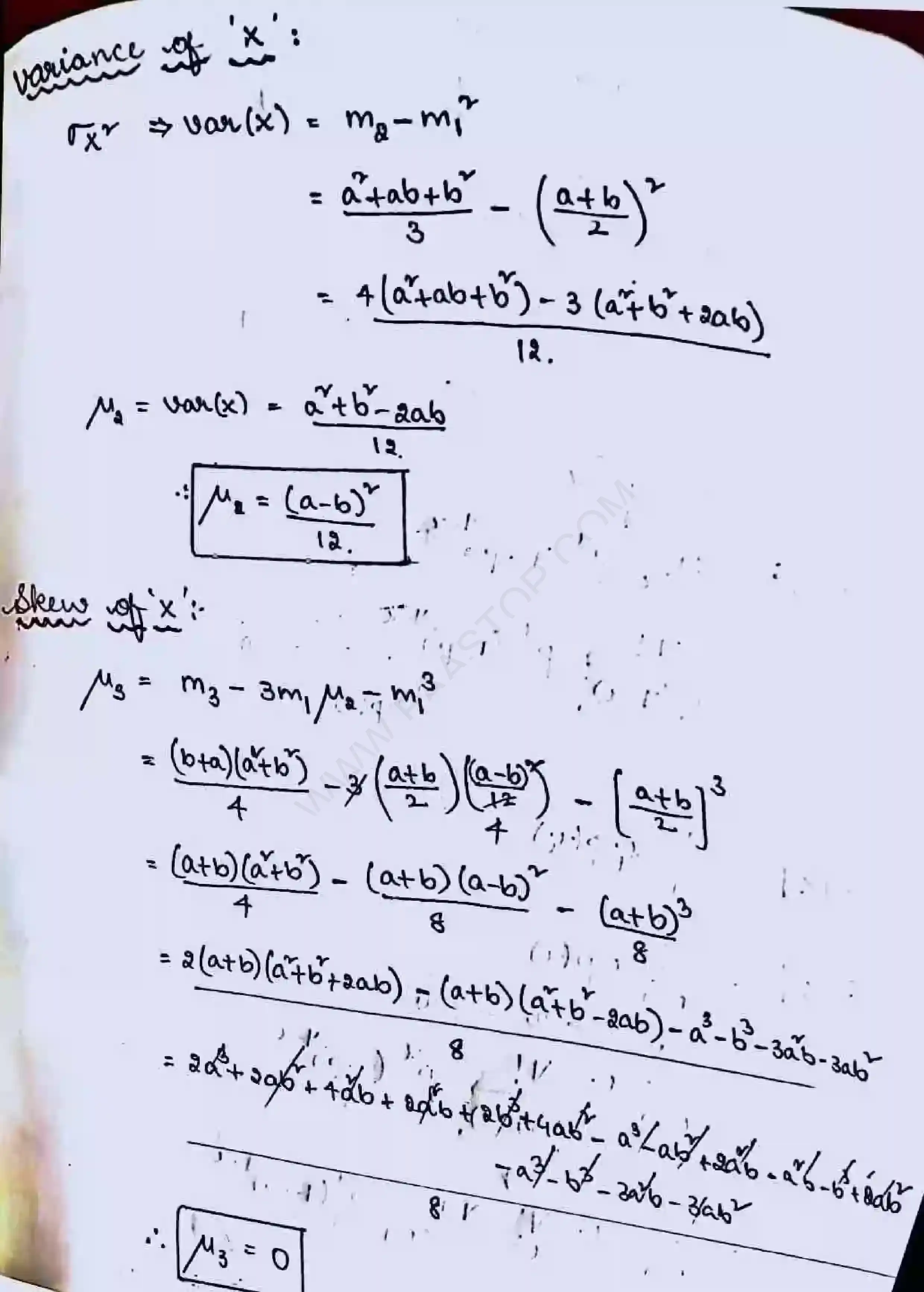
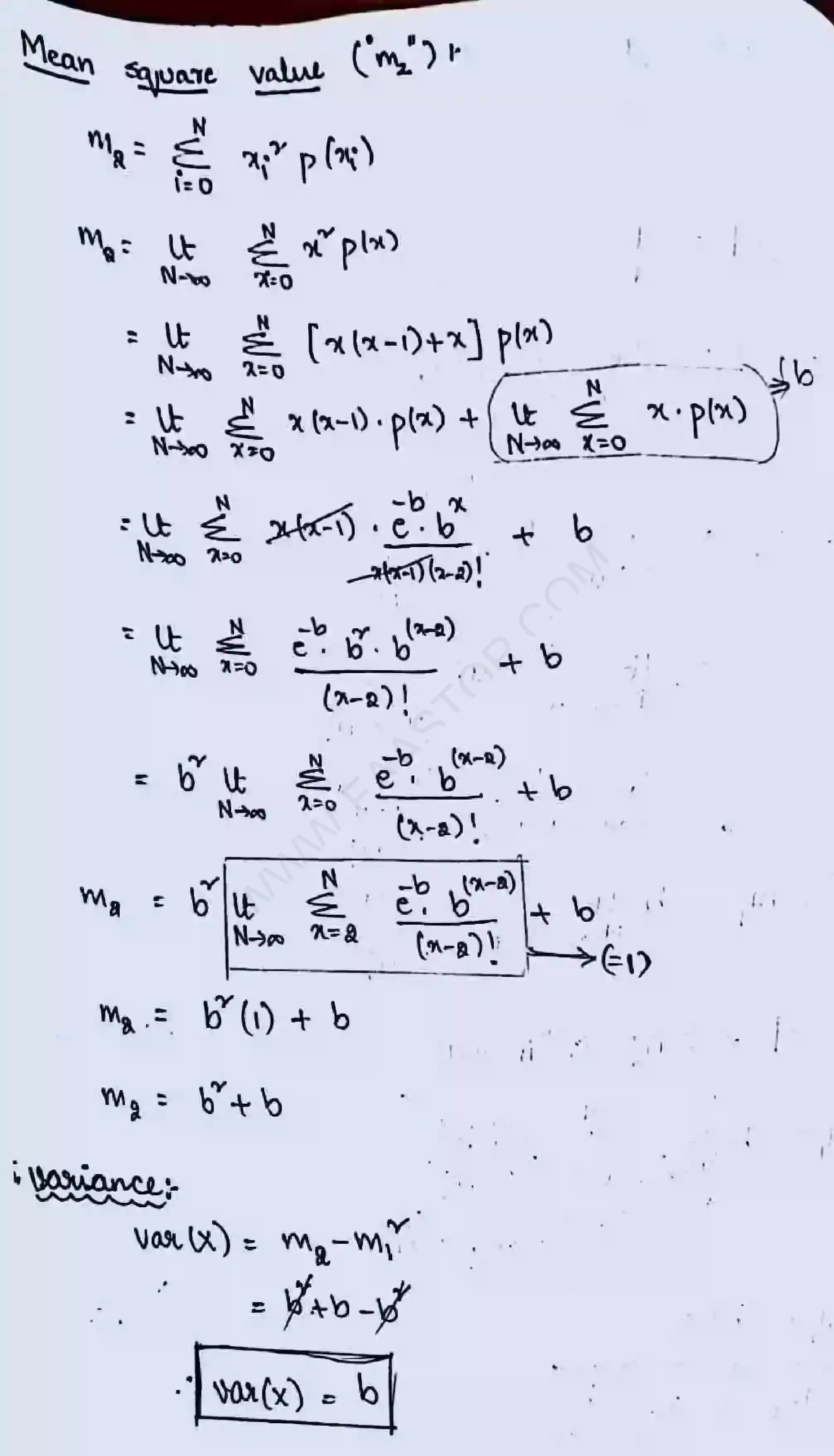
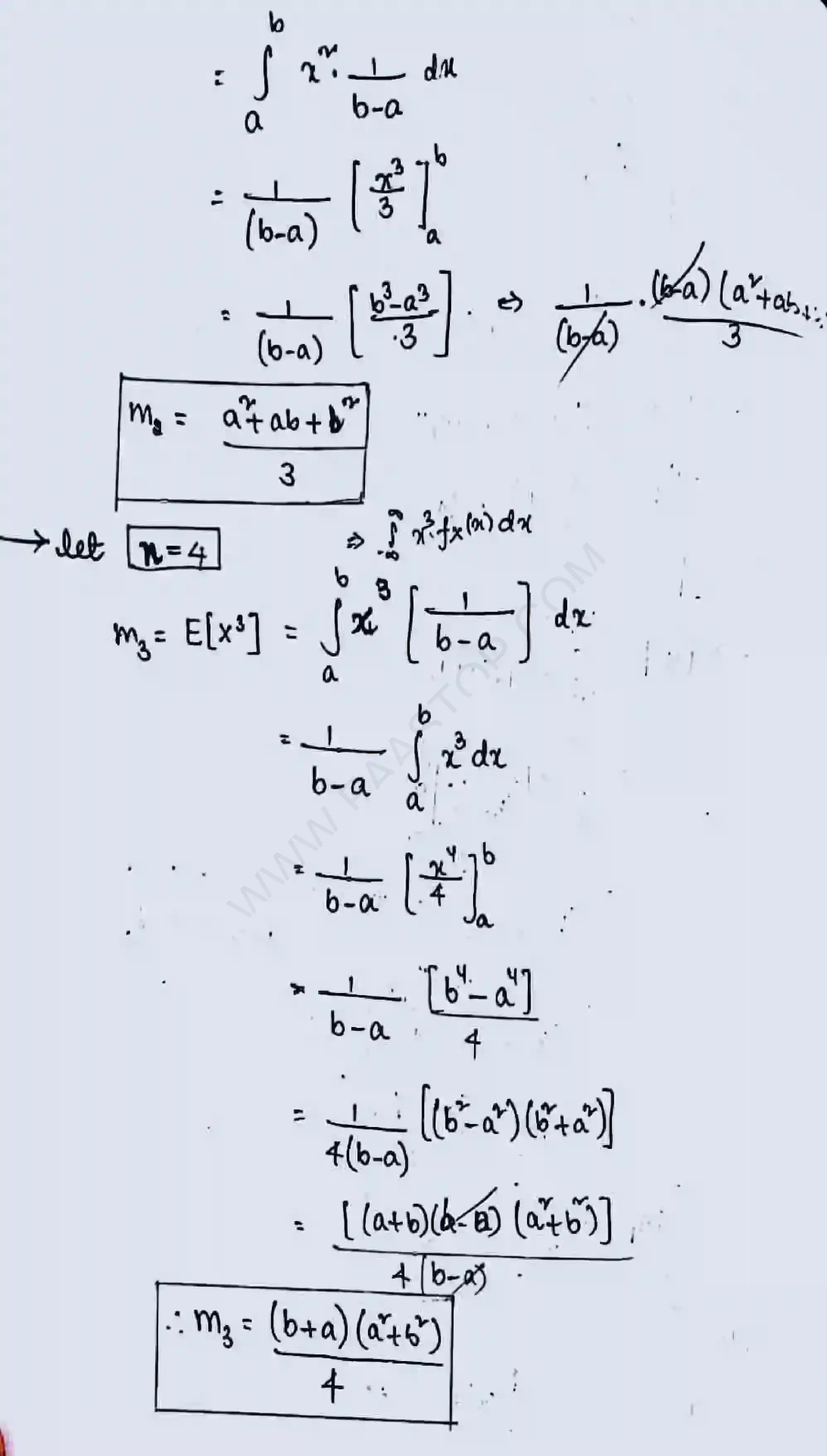
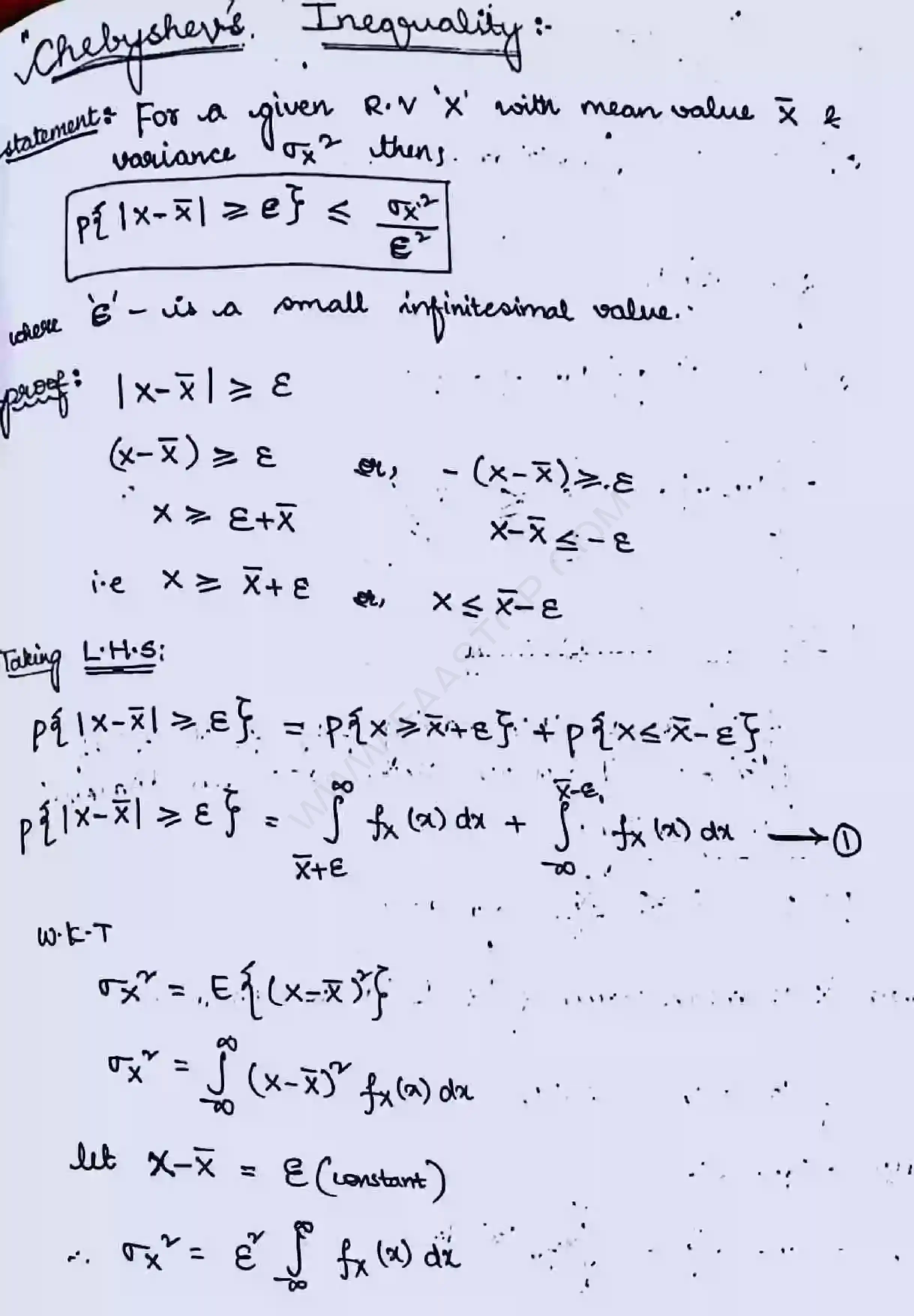
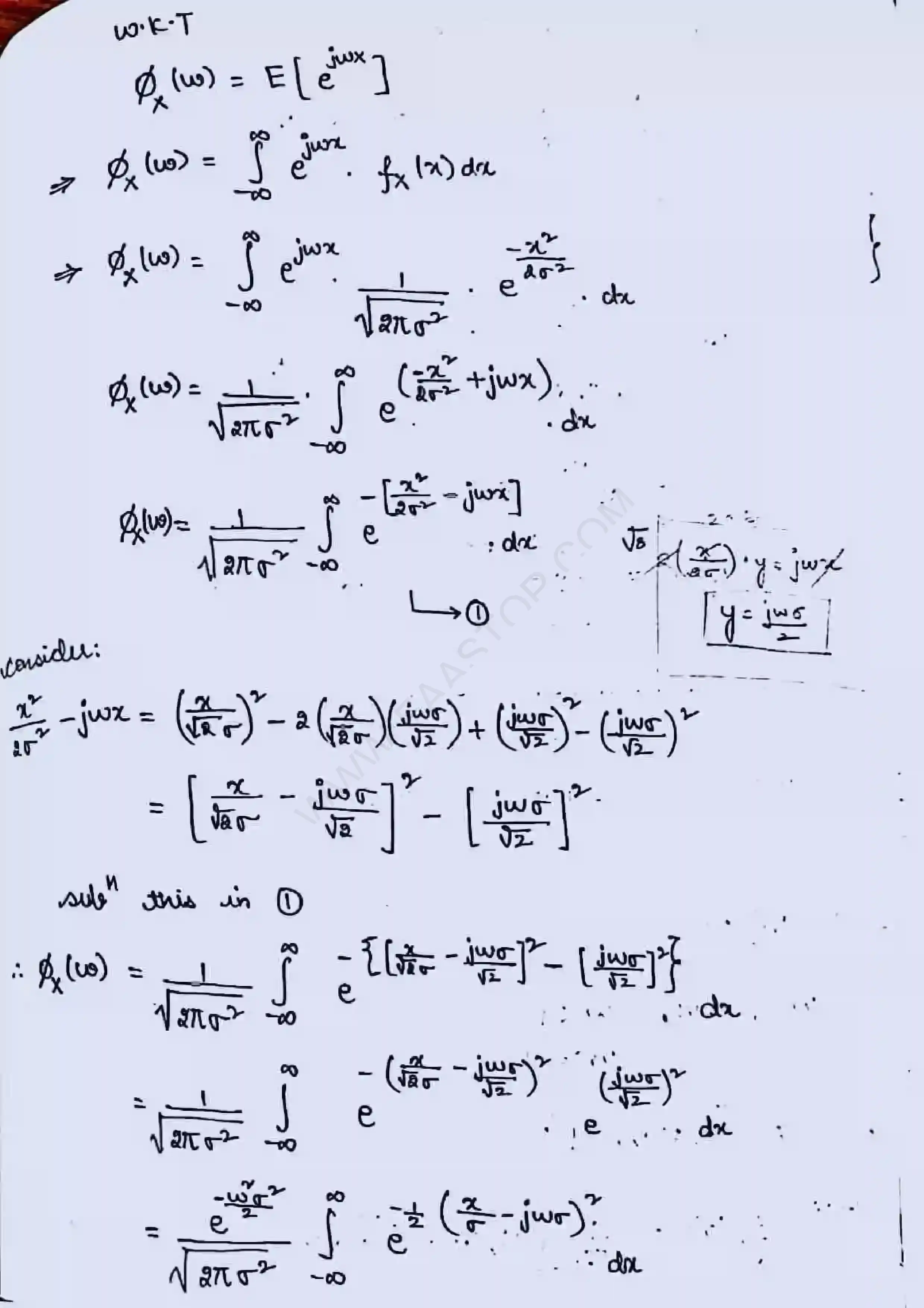
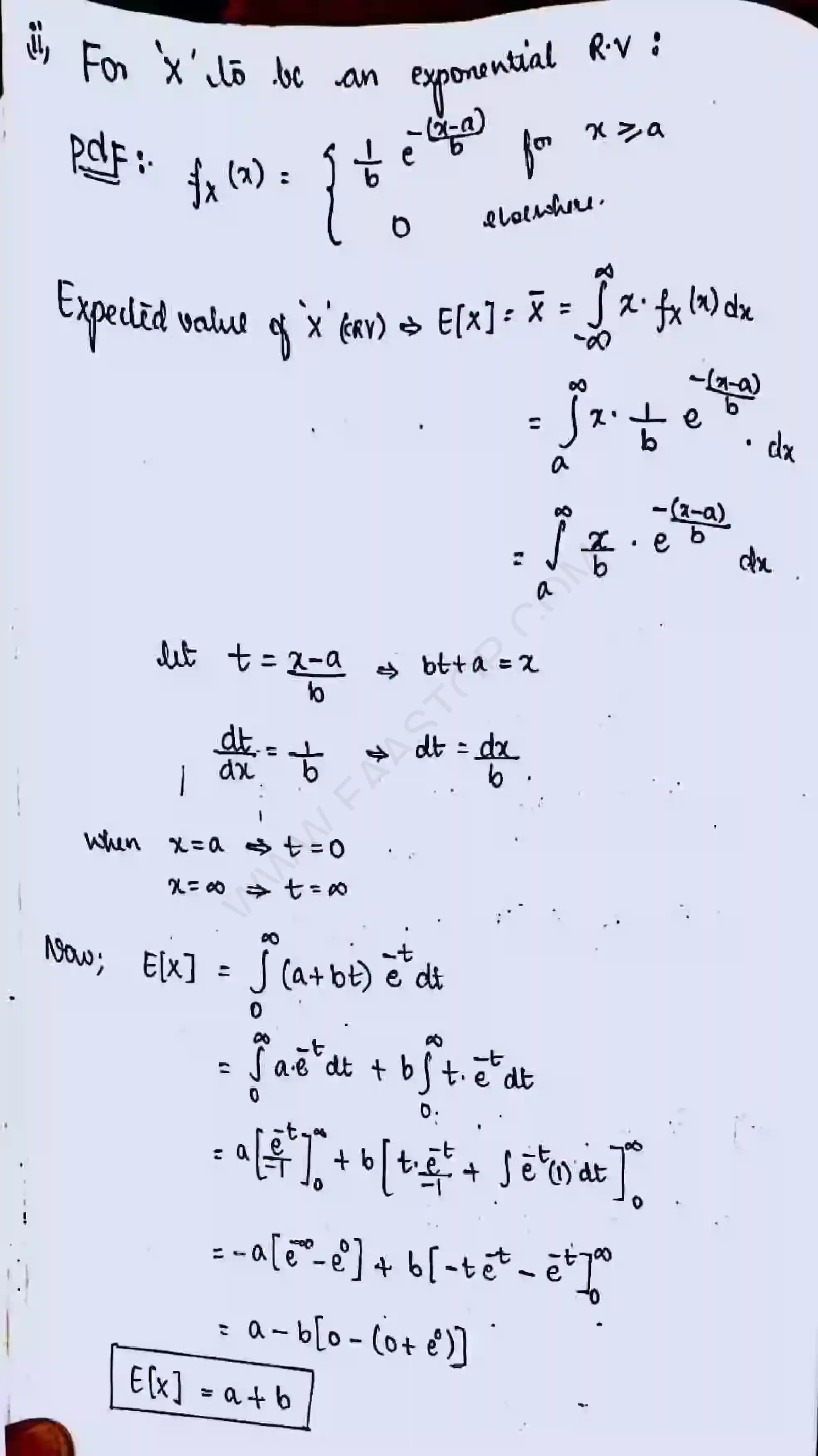
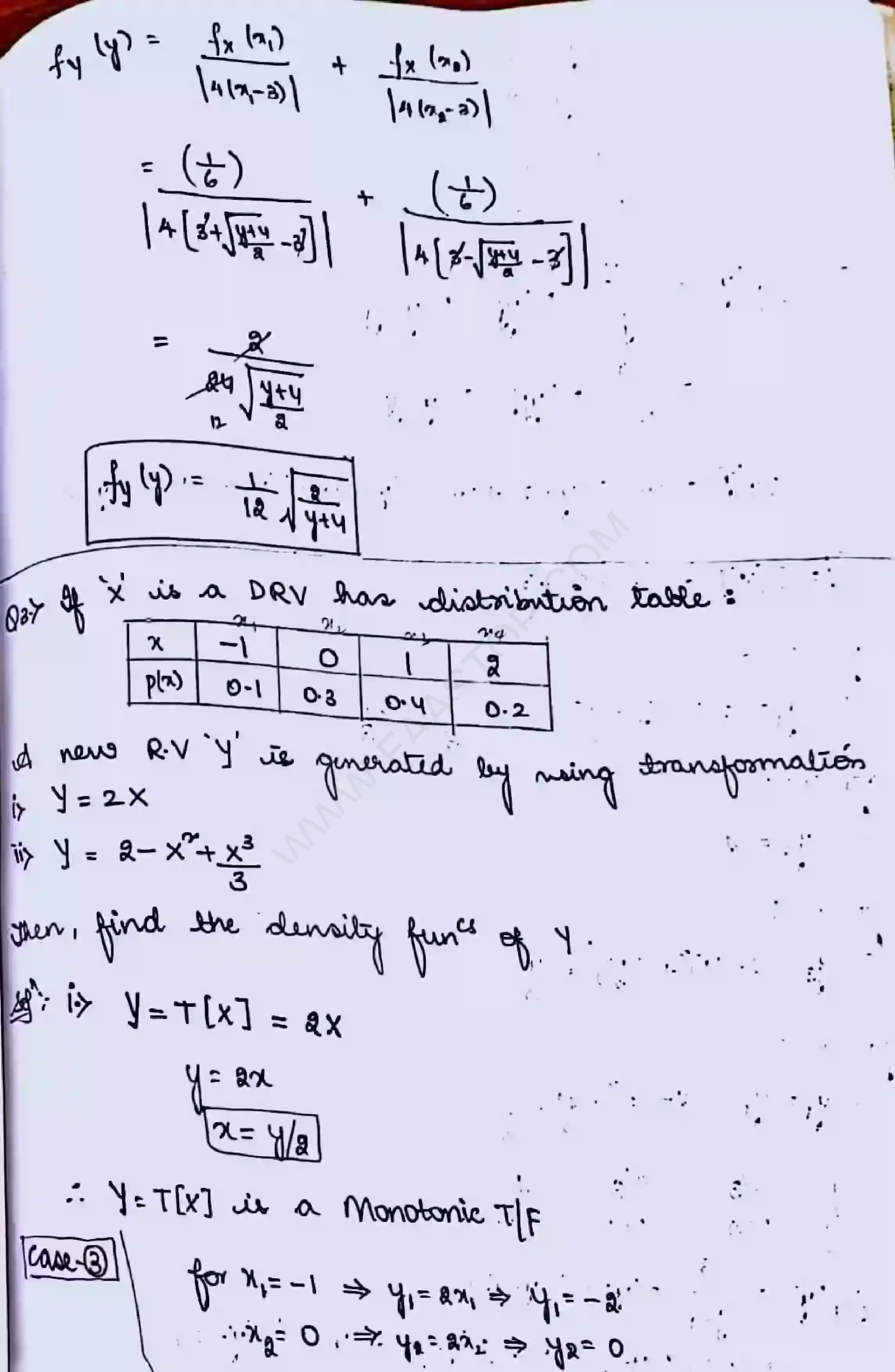
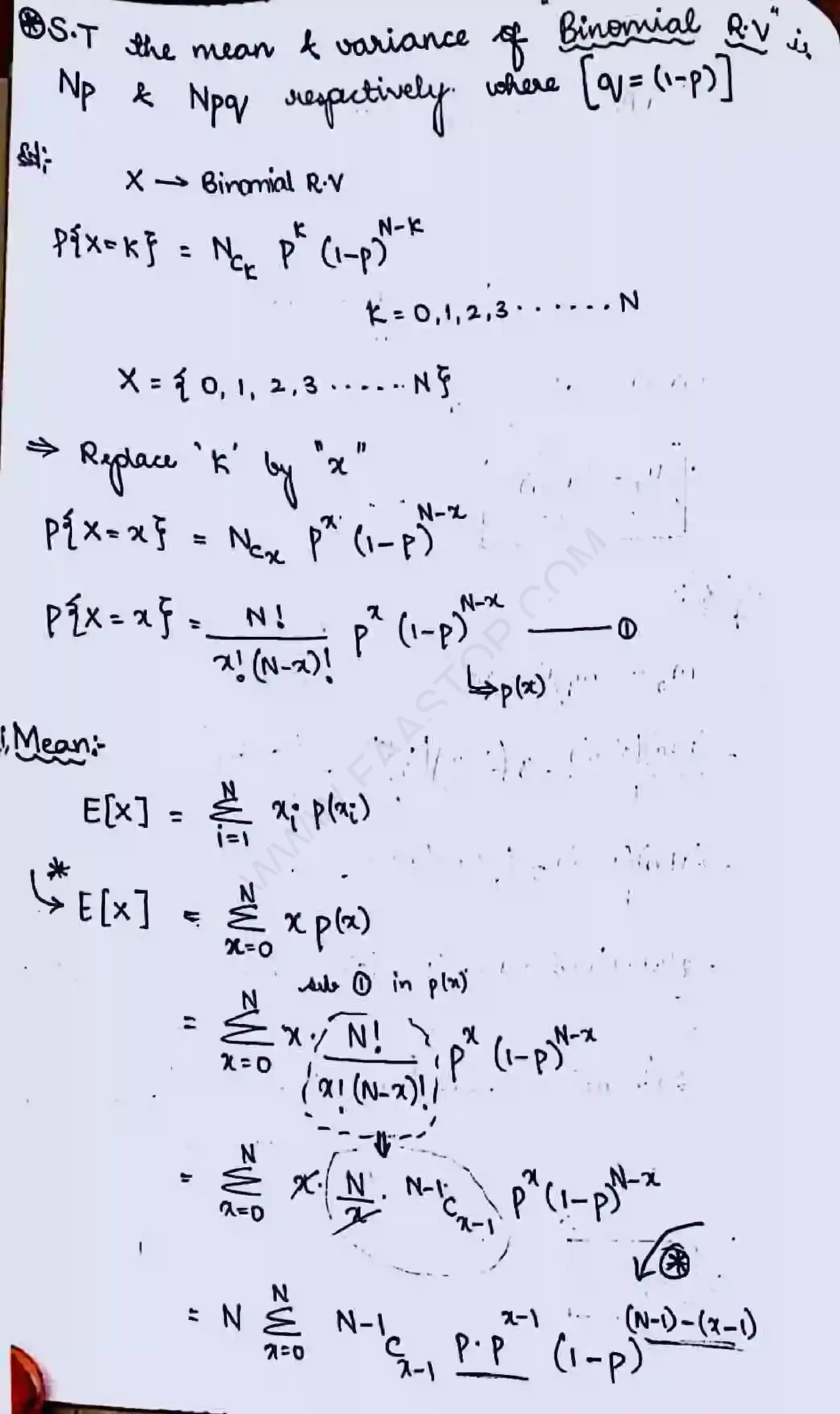
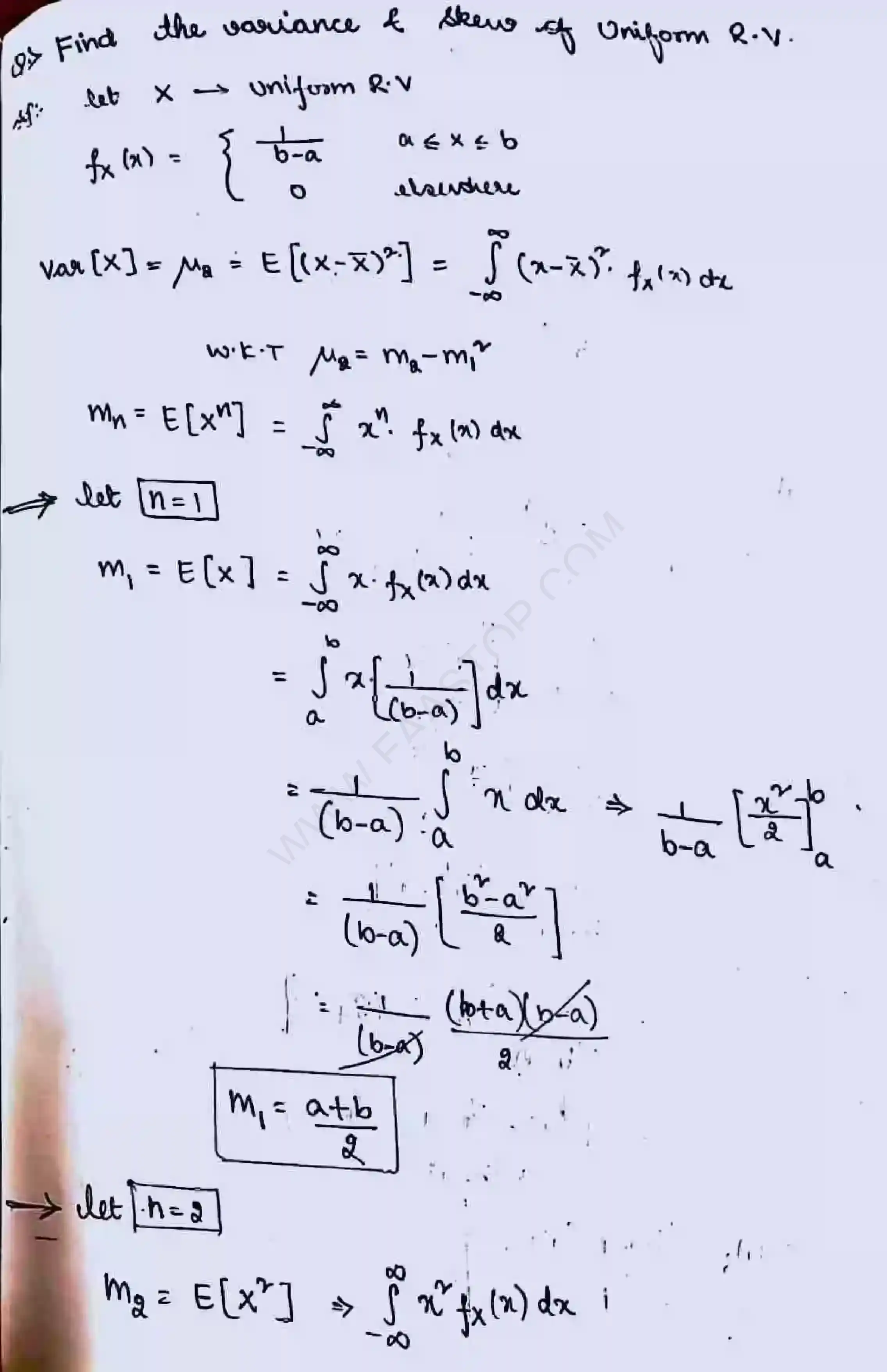
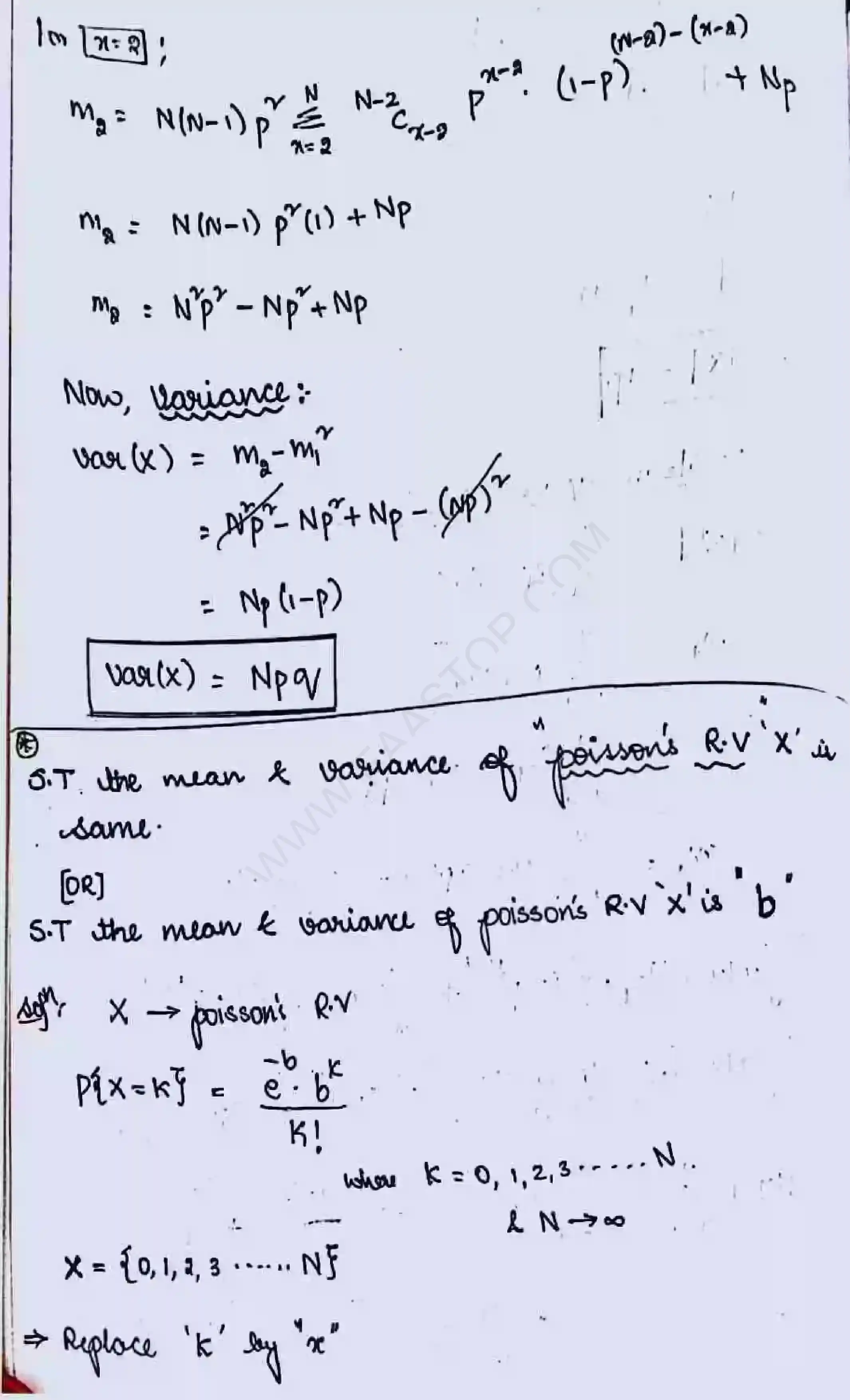
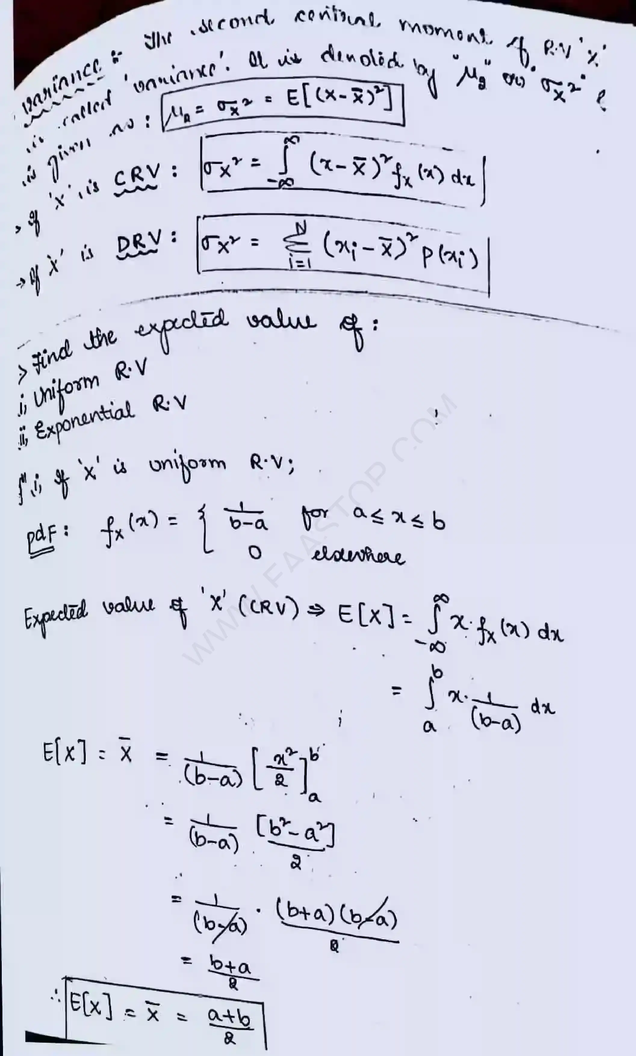
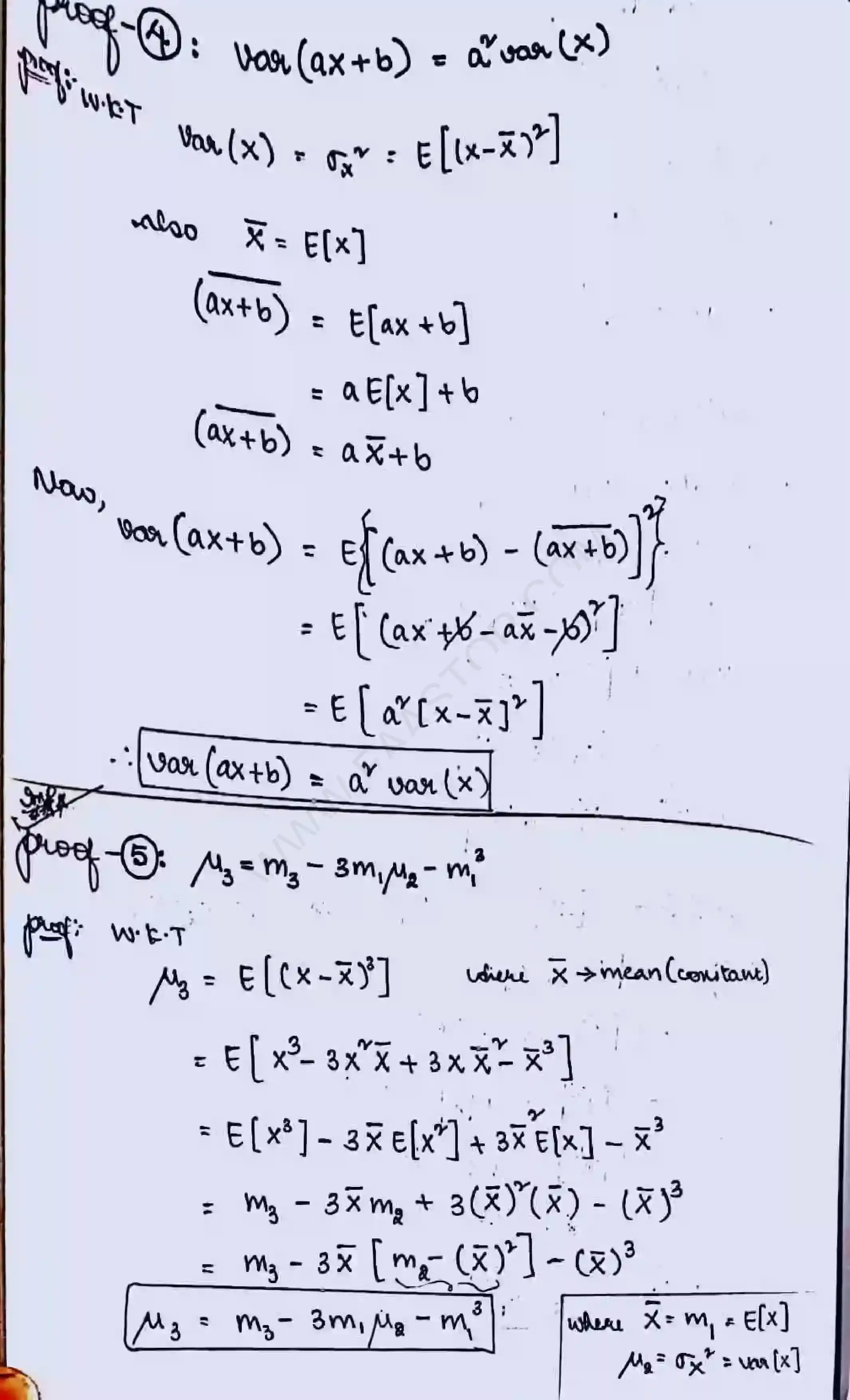
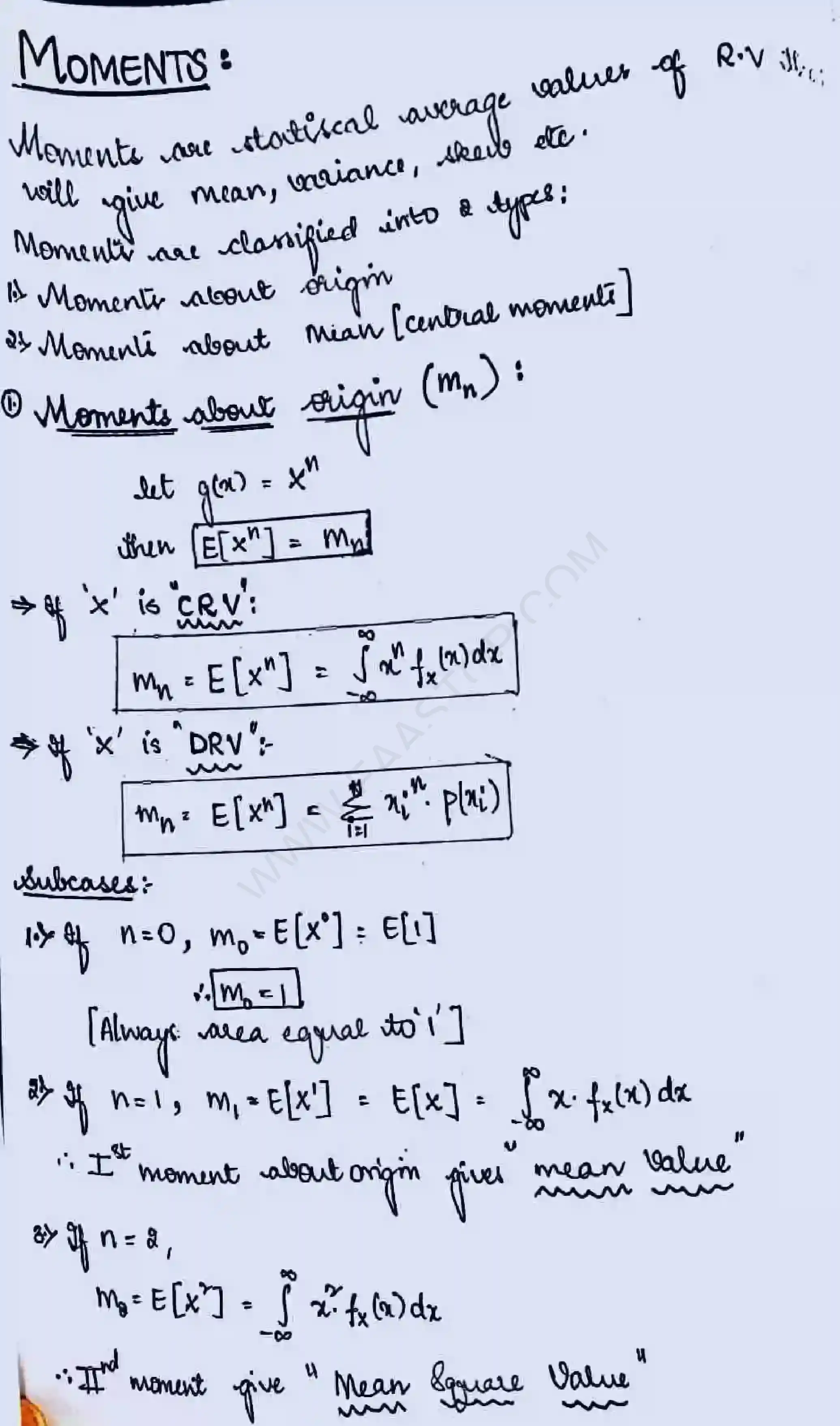
Operation On Single Random Variable

ENGINEERING → Electronics and Communication Engineering → Probability theory and stochastic process → PTSP Notes-1

Read handwritten PDF notes for Operation On Single Random Variable. This chapter contains 40 pages of handwritten study materials.

40 Total Pages
PDF Format
100% Free Access
logo