logo
Digital Notes

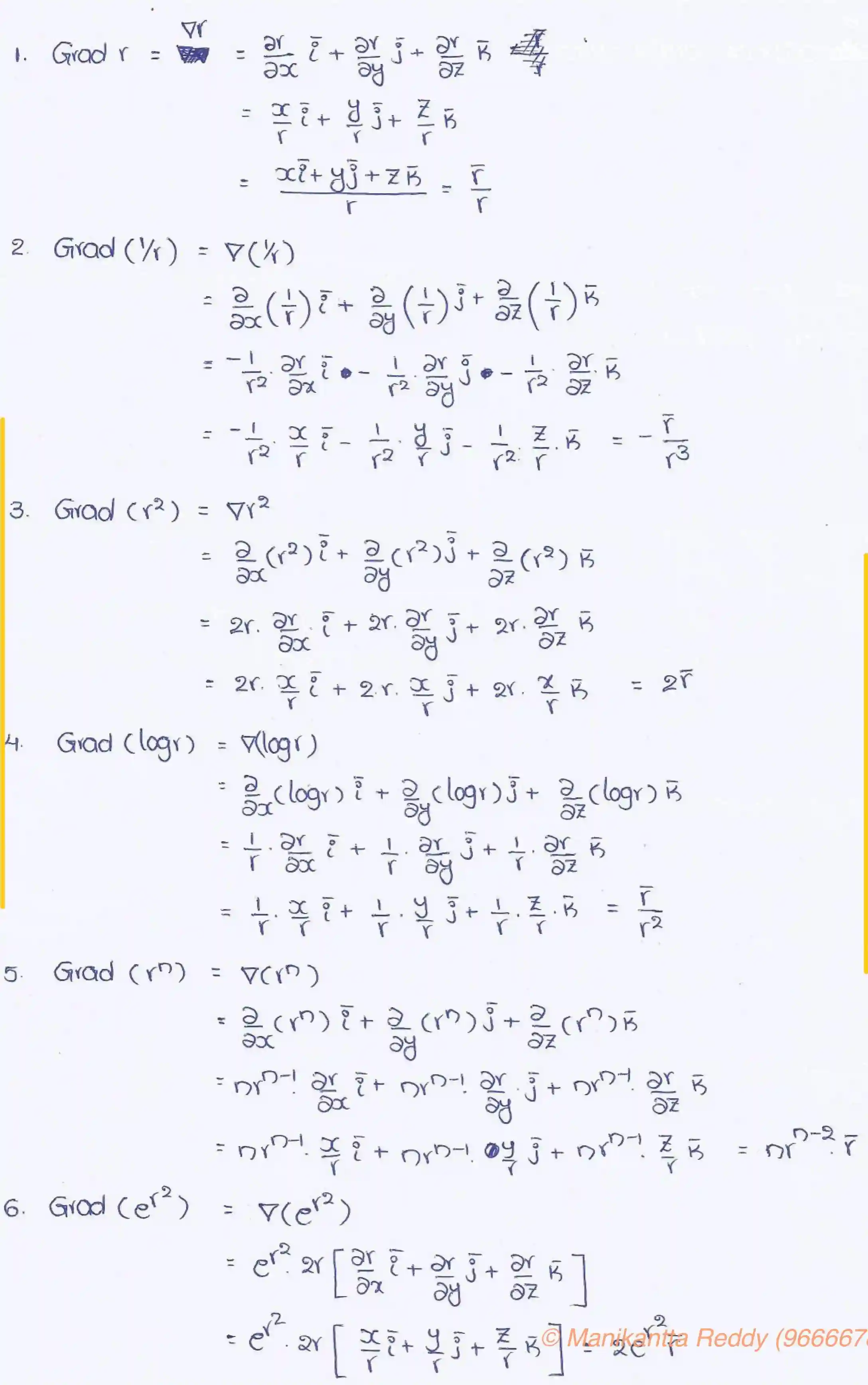
Vector Calculus

ENGINEERING → Computers Science And Engineering → Engineering Mathematics → Maths Notes-3

Read handwritten PDF notes for Vector Calculus. This chapter contains 21 pages of handwritten study materials.

21 Total Pages
PDF Format
100% Free Access
logo