logo
Digital Notes

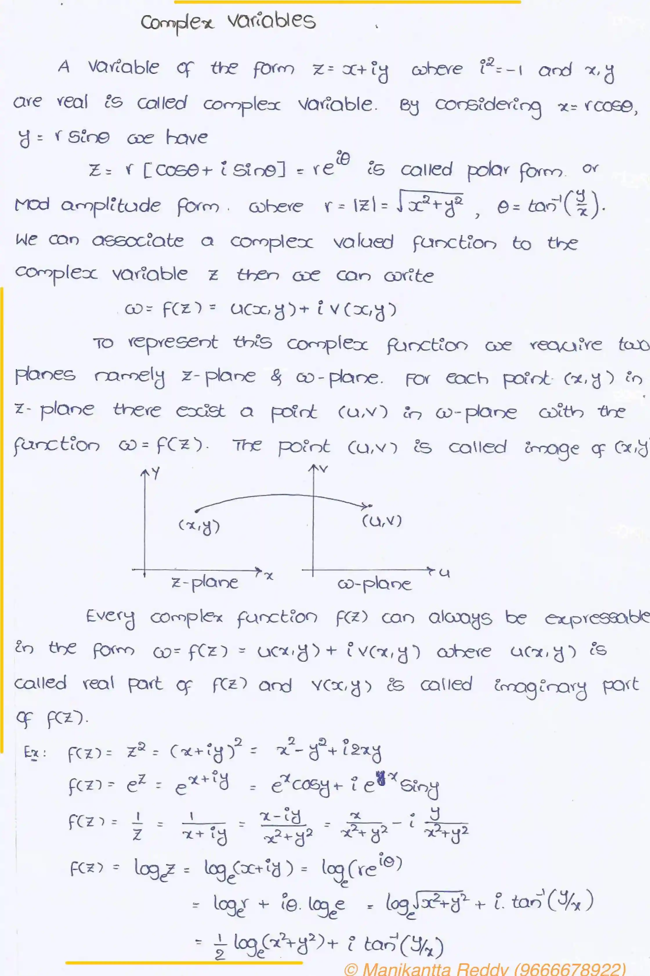
Complex Variables

ENGINEERING → Computers Science And Engineering → Engineering Mathematics → Maths Notes-3

Read handwritten PDF notes for Complex Variables. This chapter contains 24 pages of handwritten study materials.

24 Total Pages
PDF Format
100% Free Access
logo