Chapters
Notes
Subjects
Branches
Fields
Digital Notes
All Chapters
Calculua
Complex Variables
Definite Integrals
Differential Equations
Linear Alagebra
Multiple Integrals
Numerical Methods
Partial Differential Equations
Probability
Probability Distributions
Random Variable
Statistics
Vector Calculus
All Notes Sets
Maths Notes-2
Maths Notes-3
Notes-1
All Subjects
Basic Electrical Engineering
Engineering Physics
Probability And Statistics
C Programming
Electronic Devices and Circuits
Discrete Mathematics
Data Structure
Digital Electronics
JAVA Programming
Computer Organization and Architecture
Design and Analysis Of Algorithem
Theory Of Automata
Compiler Design
Electronic Sensors
Engineering Mathematics
All Branches
Civil Engineering
Computers Science And Engineering
Electrical And Electronics Engineering
Electronics and Communication Engineering
Mechanical Engineering
All Handwritten Notes Fields
ENGINEERING
Calculua
ENGINEERING →
Computers Science And Engineering →
Engineering Mathematics →
Maths Notes-3
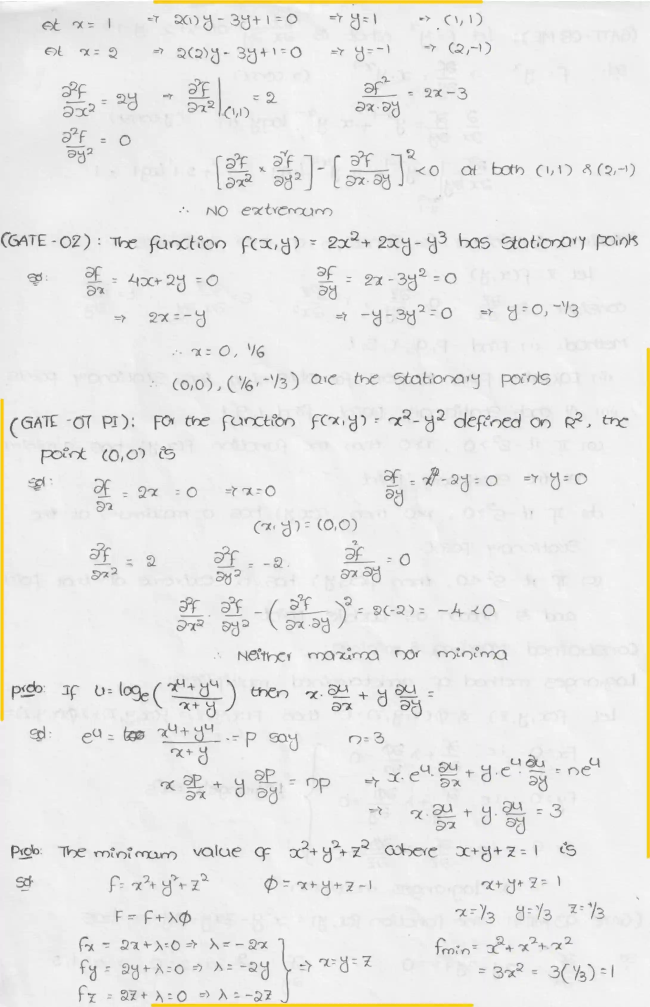
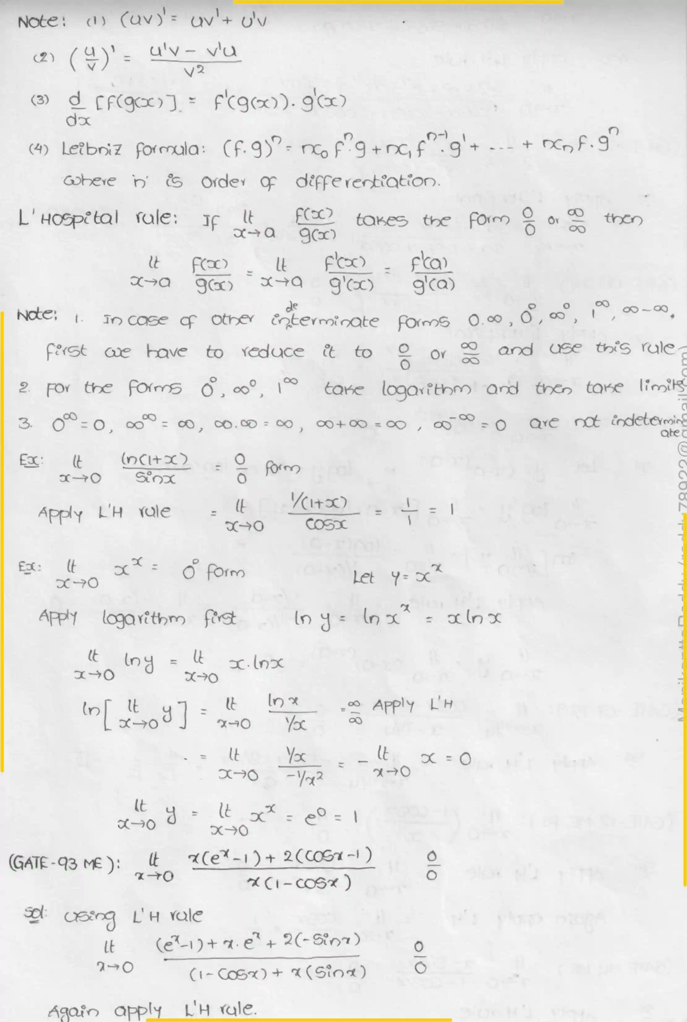
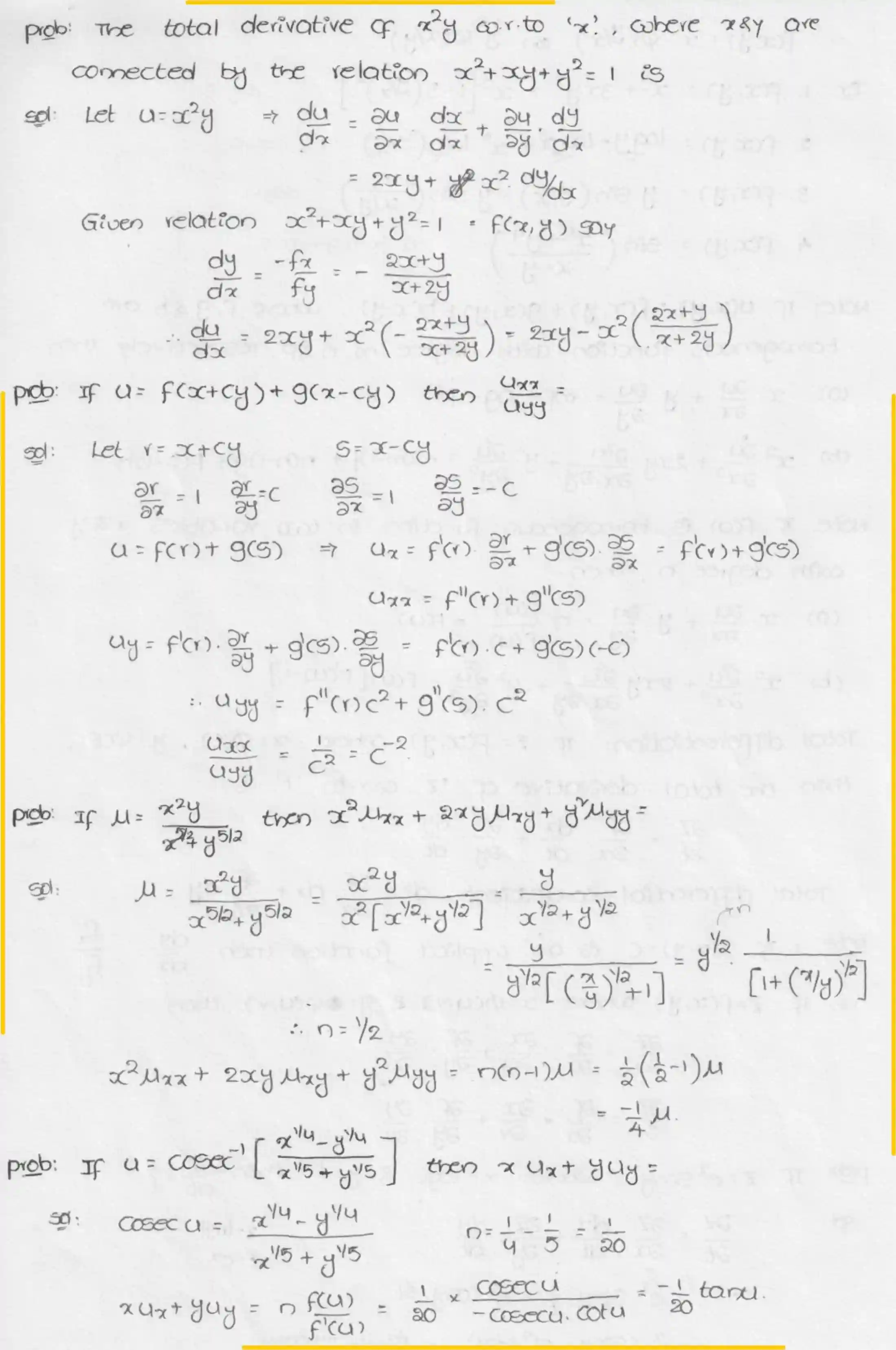
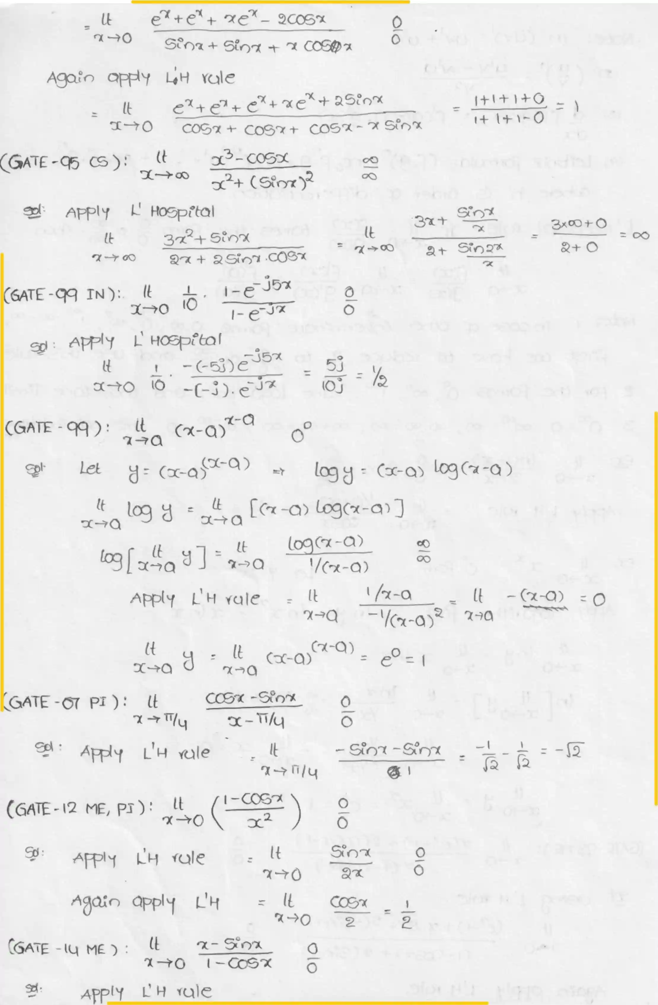
Read handwritten notes for Calculua. This chapter contains 27 pages of handwritten study materials.
27
Total Pages
100%
Free Access
← Previous Chapter
All Chapters List
Next Chapter →
← Previous Chapter
All Chapters List
Next Chapter →