logo
Digital Notes

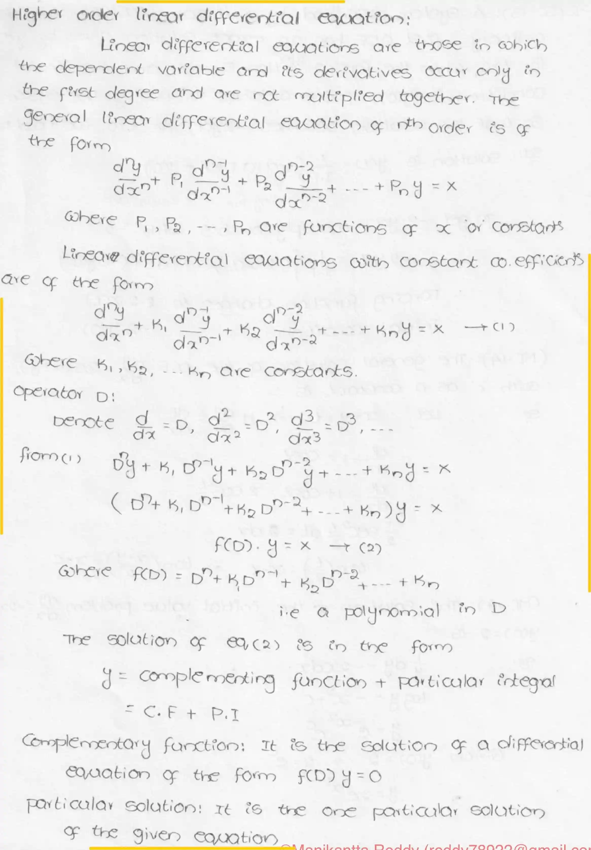
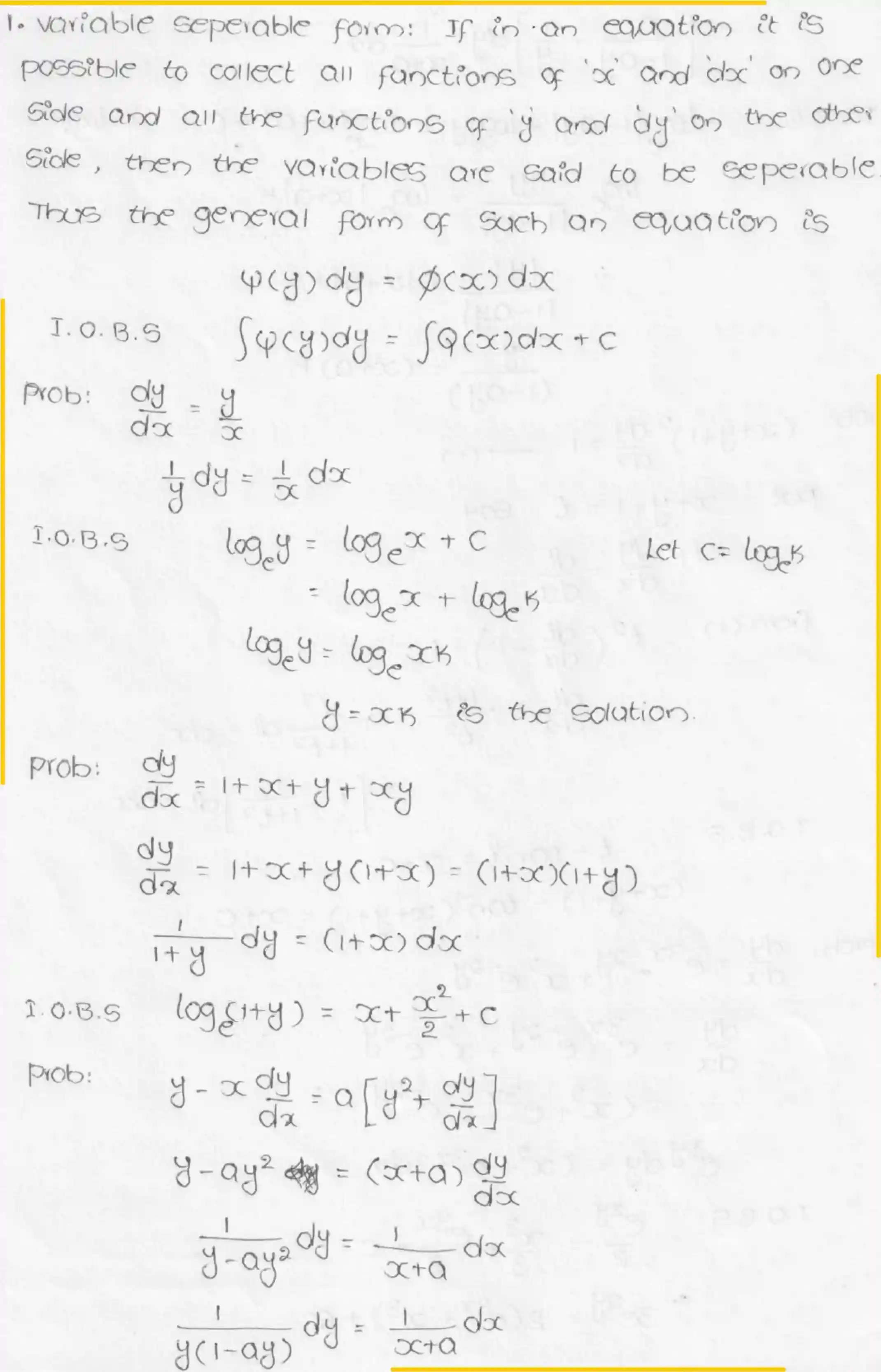
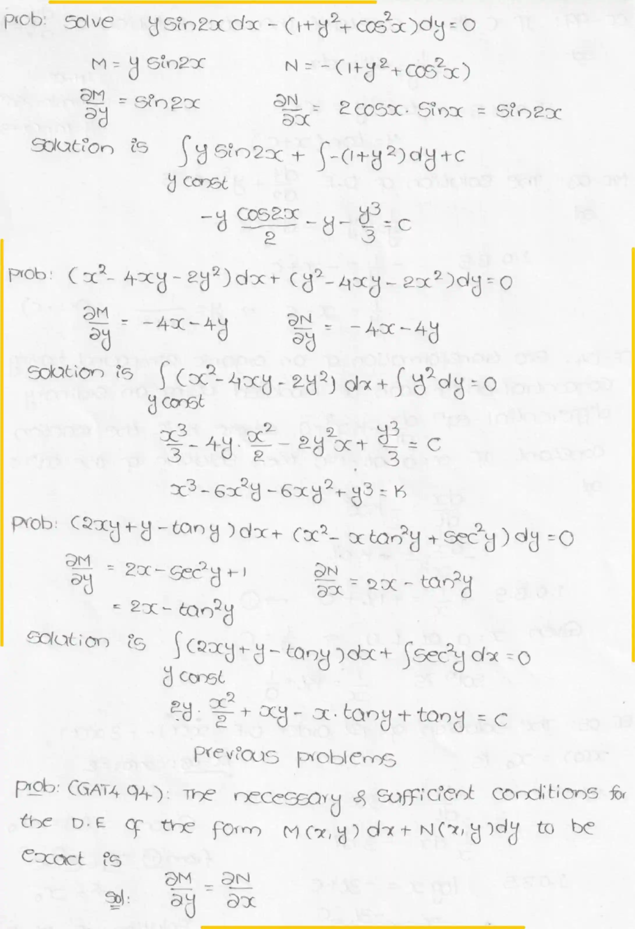
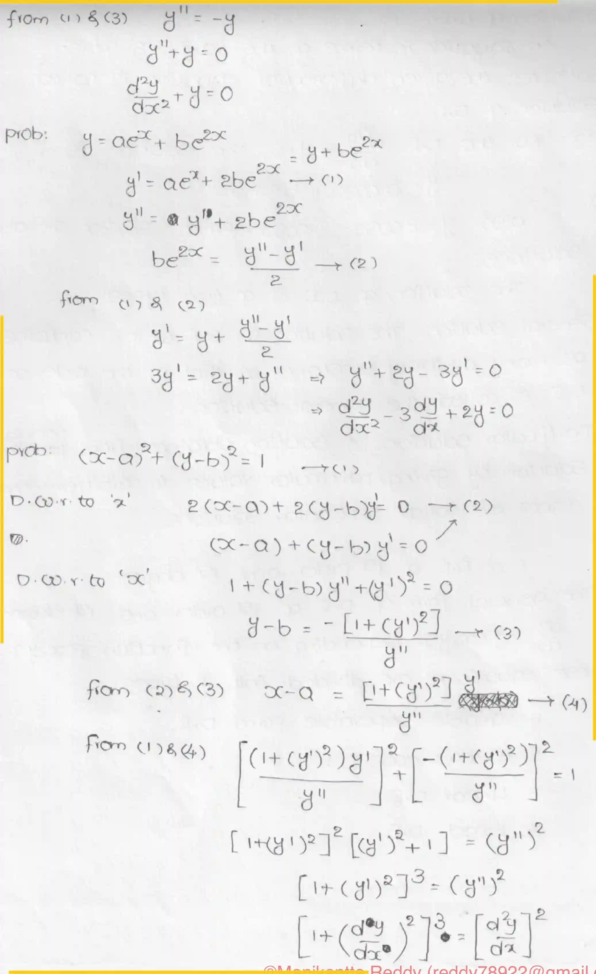
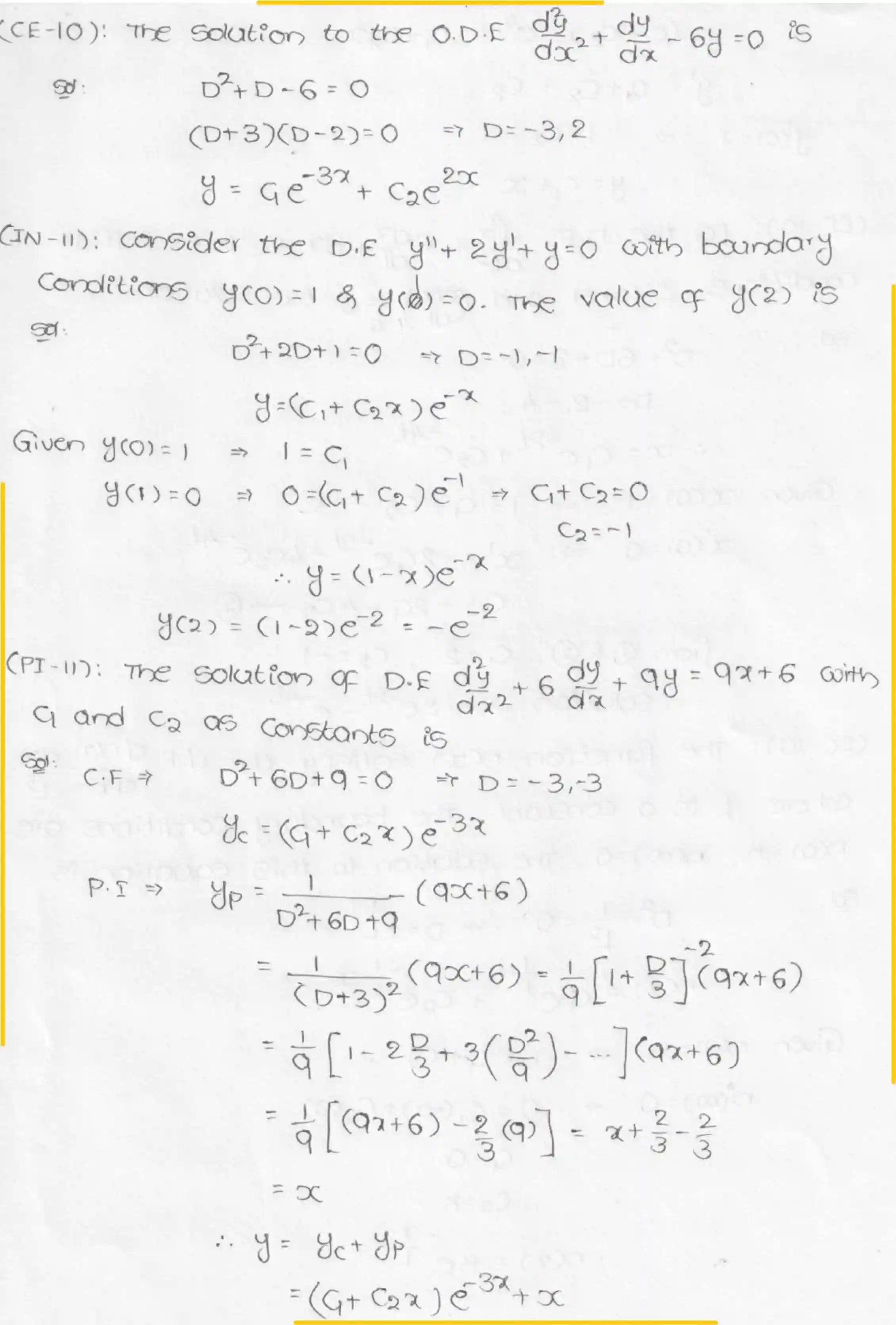
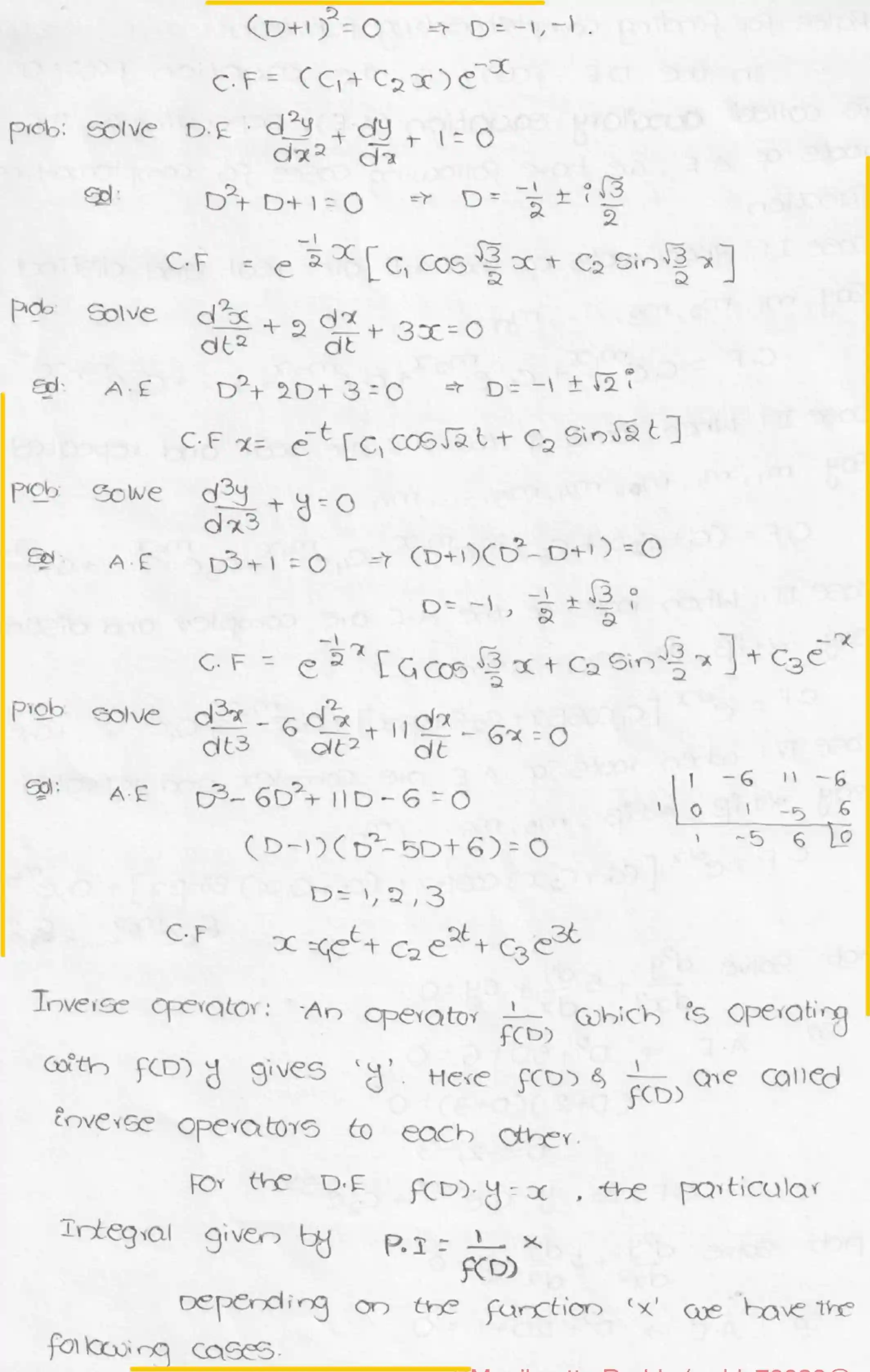
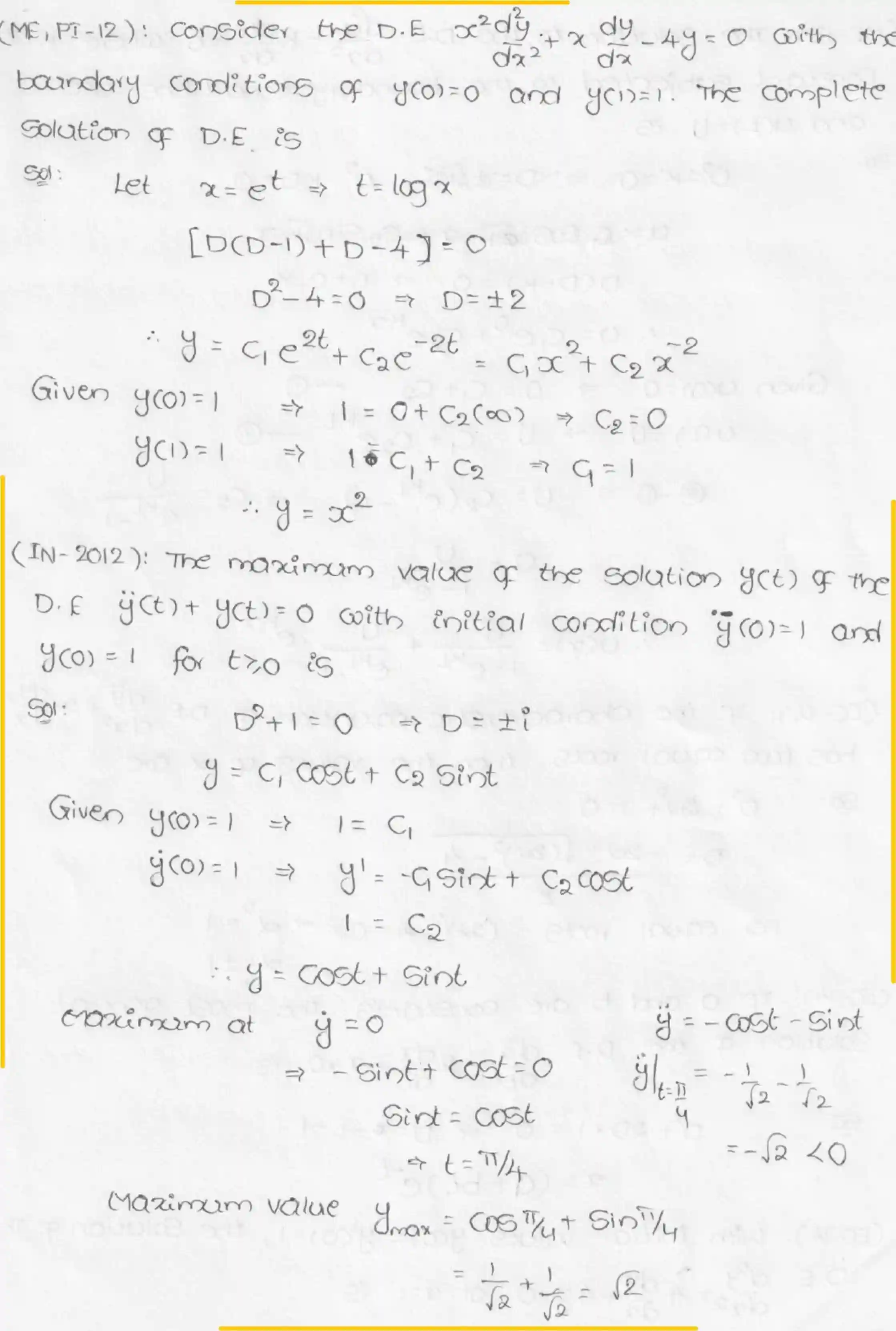
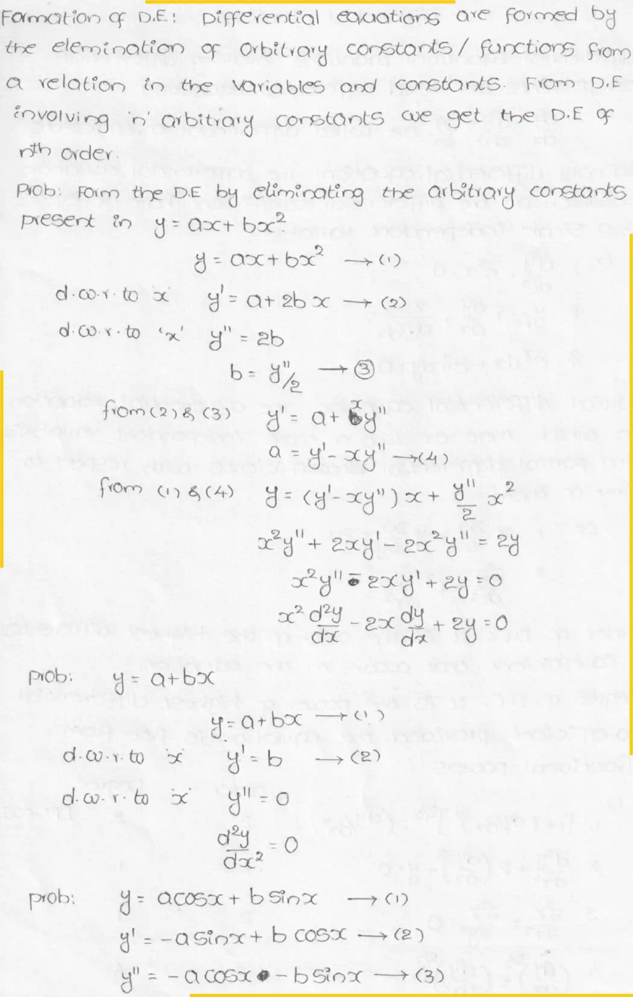
Differential Equations

ENGINEERING → Computers Science And Engineering → Engineering Mathematics → Maths Notes-3

Read handwritten PDF notes for Differential Equations. This chapter contains 45 pages of handwritten study materials.

45 Total Pages
PDF Format
100% Free Access
logo